查看: 36166|回复: 26

汪兴德公下永茂房(入川一世至十七世)传派表---四川.简阳

[复制链接]

40

主题

677

回帖

1万

积分

版主

宗亲万万年。

积分
10053
QQ
发表于 2007-5-12 00:56:56 | 显示全部楼层 |阅读模式
(一)自鼻祖义通公于明初自江南入川至世字辈已历发九代,当年世发公只知道祖人的正派分支,别派都不了解,先祖的名字记下了,生殁年与墓葬之地不祥.清公最先修谱,传至今日已达百年,断简残篇早有缺略之叹,如不及早续修,恐将来子孙不但不识祖人的分支别派,生殁葬地,恐怕连祖人的正脉名号都不知道,本源沦亡,万万不可.
(二)金吉公以后"宗"字班现有改为"樊"字的."常"字班现有改为"儒"字的."心"字班有改为"钟"字.排序淆乱,已相当多见,这就必须在谱上更正,同归于一.否则将来同宗子孙可能前人班字不对,误以为同姓不宗这多不好.
(三)祖人定字排名,到维字辈为止,现在族人增多,总数约800---1000余,所居地点也不一州三县.要连接亲疏远近,必须立好排行班名,共同遵守.所以必须修好族谱,将排名载入典籍.
  清.汪泳公曾孙.庠生,汪应容(1776---1895)主持撰写.
......迁安徽黟县猪市街竹林嘴(又云我祖原籍系江南徽州府休宁县大竹林坡人氏)---元时(或宋末)登一公迁湖广黄冈府汪家集高河坎.....省一公迁湖广麻城县孝感乡洗脚河蒿枝坝大松树---明洪武辛亥兴德公入川至简西乾封镇(今四川简阳三岔坝月亮沟)---迁简阳猪窝沱---源经公迁简阳石盘铺檬茨沟(今简阳石桥镇赤水乡汪家沟)---我为入川18世(居四川成都)QQ:595545958.

40

主题

677

回帖

1万

积分

版主

宗亲万万年。

积分
10053
QQ
 楼主| 发表于 2007-5-12 01:03:43 | 显示全部楼层
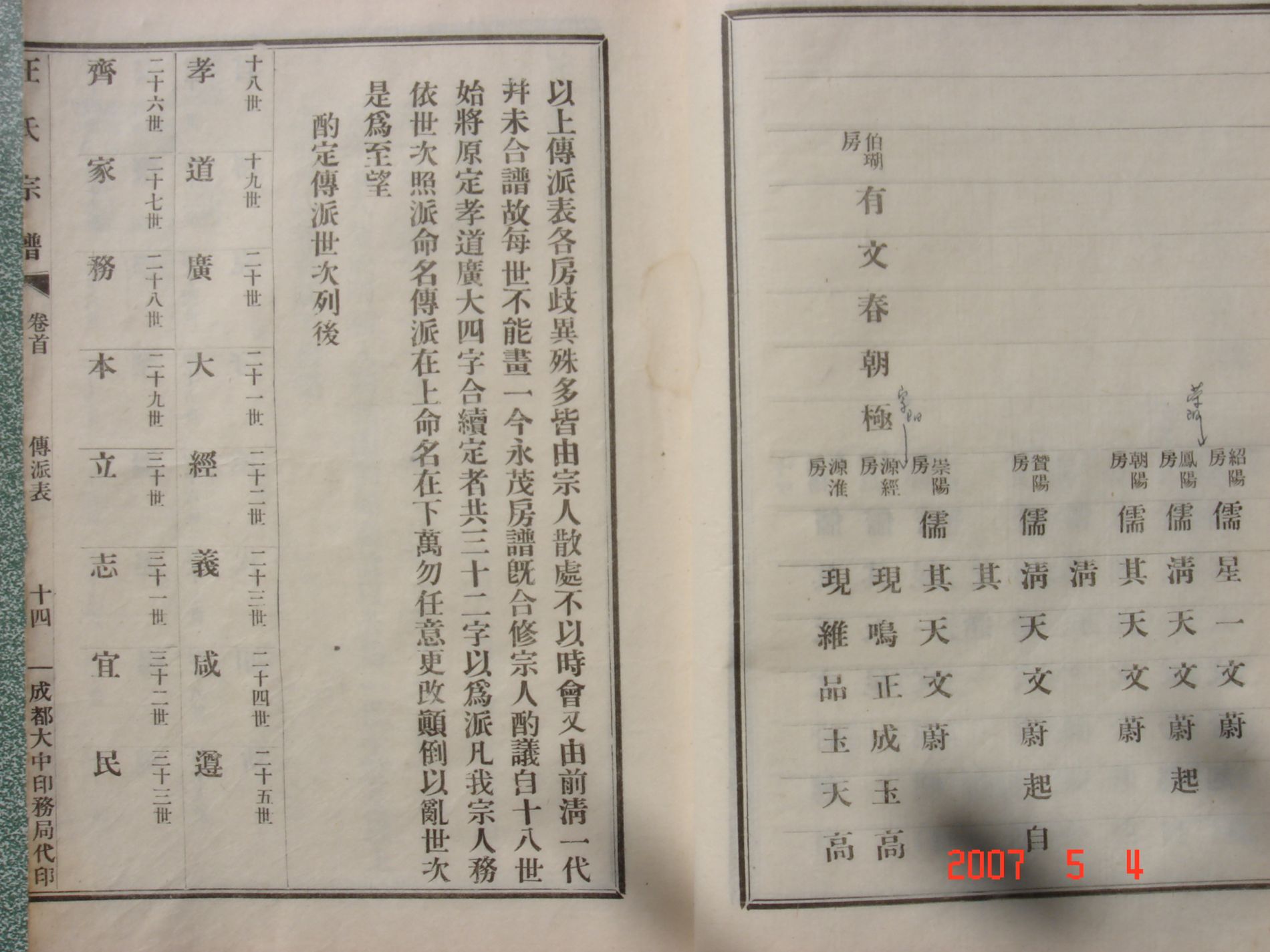
各支字派表
DSC02776.JPG

此图右接上图左

此图右接上图左
DSC02773.JPG
......迁安徽黟县猪市街竹林嘴(又云我祖原籍系江南徽州府休宁县大竹林坡人氏)---元时(或宋末)登一公迁湖广黄冈府汪家集高河坎.....省一公迁湖广麻城县孝感乡洗脚河蒿枝坝大松树---明洪武辛亥兴德公入川至简西乾封镇(今四川简阳三岔坝月亮沟)---迁简阳猪窝沱---源经公迁简阳石盘铺檬茨沟(今简阳石桥镇赤水乡汪家沟)---我为入川18世(居四川成都)QQ:595545958.

40

主题

677

回帖

1万

积分

版主

宗亲万万年。

积分
10053
QQ
 楼主| 发表于 2007-5-12 01:10:35 | 显示全部楼层
各支传派表

此图右接上图左

此图右接上图左

此图右接上图左

此图右接上图左

此图右接上图左

此图右接上图左

此图右接上图左

此图右接上图左
......迁安徽黟县猪市街竹林嘴(又云我祖原籍系江南徽州府休宁县大竹林坡人氏)---元时(或宋末)登一公迁湖广黄冈府汪家集高河坎.....省一公迁湖广麻城县孝感乡洗脚河蒿枝坝大松树---明洪武辛亥兴德公入川至简西乾封镇(今四川简阳三岔坝月亮沟)---迁简阳猪窝沱---源经公迁简阳石盘铺檬茨沟(今简阳石桥镇赤水乡汪家沟)---我为入川18世(居四川成都)QQ:595545958.

40

主题

677

回帖

1万

积分

版主

宗亲万万年。

积分
10053
QQ
 楼主| 发表于 2007-5-12 01:13:28 | 显示全部楼层
各支传派表

此图右接上图左

此图右接上图左

此图右接上图左

此图右接上图左

此图右接上图左

此图右接上图左

此图右接上图左

此图右接上图左
......迁安徽黟县猪市街竹林嘴(又云我祖原籍系江南徽州府休宁县大竹林坡人氏)---元时(或宋末)登一公迁湖广黄冈府汪家集高河坎.....省一公迁湖广麻城县孝感乡洗脚河蒿枝坝大松树---明洪武辛亥兴德公入川至简西乾封镇(今四川简阳三岔坝月亮沟)---迁简阳猪窝沱---源经公迁简阳石盘铺檬茨沟(今简阳石桥镇赤水乡汪家沟)---我为入川18世(居四川成都)QQ:595545958.

40

主题

677

回帖

1万

积分

版主

宗亲万万年。

积分
10053
QQ
 楼主| 发表于 2007-5-12 03:05:58 | 显示全部楼层
我的家谱世系如下:
一  世:汪兴德  配赵氏。        子三:永矜,永常(出继罗姓),永茂。
二  世:汪永茂  配黄氏。        子一:浩阳。
三  世:汪浩阳  配孙氏。        子六:伯珠,伯友,伯润,伯堂,伯芝,伯瑚。
四  世:汪伯瑚  配胡氏。        子一:有贵。
五  世:汪有贵  配庞氏。        子一:文才。
六  世:汪文才  配朱氏。        子三:向春,长春,永春。
七  世:汪向春  配蔡氏。        子二:朝富,朝贵。
八  世:汪朝富  配廖氏。        子五:仲极,进极,玉极,述极,海极。
九  世:汪海极  配黄氏。        子一:源经。
十  世:汪源经  配鄢氏。        子五:琏,瑚,琮,珝,瑄。
十一世:汪  瑚  配傅氏,李氏。  子二:现溥,现和。(傅氏出)
十二世:汪现溥  配张氏。        子四:鸣仲,鸣陞,鸣惠,鸣芳。
十三世:汪鸣陞  配杨氏,陈氏。  子四:正洋,正泰,正拔,正玉。(未详所出)
十四世:汪正泰  配陈氏。         抚正洋之子成煜为嗣
十四世:汪正洋  配施氏。        子三:成鳌,成榜,成煜(出继正泰为后)。
十五世:汪成煜  配雷氏。        子一:玉银
十六世:汪玉银  配张氏。        子一:高会
十七世:汪高会  配鄢氏。        子五:孝龙,孝虎,孝荣,孝先,孝泉。
......迁安徽黟县猪市街竹林嘴(又云我祖原籍系江南徽州府休宁县大竹林坡人氏)---元时(或宋末)登一公迁湖广黄冈府汪家集高河坎.....省一公迁湖广麻城县孝感乡洗脚河蒿枝坝大松树---明洪武辛亥兴德公入川至简西乾封镇(今四川简阳三岔坝月亮沟)---迁简阳猪窝沱---源经公迁简阳石盘铺檬茨沟(今简阳石桥镇赤水乡汪家沟)---我为入川18世(居四川成都)QQ:595545958.

10

主题

1091

回帖

3万

积分

光明使者

积分
30911
发表于 2007-5-12 08:36:18 | 显示全部楼层
族谱资料珍贵,  但就是从明洪武二至四年入川起 到现在才发展至十七世,637年了 ,平均3---40岁才有一代,是否掉代

40

主题

677

回帖

1万

积分

版主

宗亲万万年。

积分
10053
QQ
 楼主| 发表于 2007-5-12 09:26:53 | 显示全部楼层
族谱资料珍贵,  但就是从明洪武二至四年入川起 到现在才发展至十七世,637年了 ,平均3---40岁才有一代,是否掉代
“龙吉”本家:4楼仅是整理我家入川以后,我以上之祖辈名讳。1930年修谱时永茂公一支已有“道”字辈(即入川19世),到目前为止永茂公一支已出现“经”字辈(即入川22世)-------入川后我们的世系名讳记录是准确,清晰的。
......迁安徽黟县猪市街竹林嘴(又云我祖原籍系江南徽州府休宁县大竹林坡人氏)---元时(或宋末)登一公迁湖广黄冈府汪家集高河坎.....省一公迁湖广麻城县孝感乡洗脚河蒿枝坝大松树---明洪武辛亥兴德公入川至简西乾封镇(今四川简阳三岔坝月亮沟)---迁简阳猪窝沱---源经公迁简阳石盘铺檬茨沟(今简阳石桥镇赤水乡汪家沟)---我为入川18世(居四川成都)QQ:595545958.

10

主题

1091

回帖

3万

积分

光明使者

积分
30911
发表于 2007-5-12 10:10:33 | 显示全部楼层
原来如此,那就对了 [s:1]

7

主题

785

回帖

4925

积分

版主

45爽公-46处贵-47太元-55师全-5

积分
4925
发表于 2007-5-12 20:17:29 | 显示全部楼层
哈哈, 好

1

主题

6

回帖

9925

积分

新手上路

积分
9925
发表于 2010-1-17 03:54:54 | 显示全部楼层
祖父就是解放前从简阳来成都的

我是 自 字辈的。。。。。。下一辈是什么呢???

点评

(入川17世) (入川18世) (入川19世) 广(入川20世) (入川21世)(   发表于 2014-9-16 11:47
您需要登录后才可以回帖 登录 | 立即注册

本版积分规则

QQ| Archiver|手机版|小黑屋| 汪氏宗亲网

Copyright © 2001-2013 Comsenz Inc.   All Rights Reserved.

Powered by Discuz! X3.5( 皖ICP备2025101776号-1 )

快速回复 返回顶部 返回列表

 34100202000237