查看: 9036|回复: 12

黄冈建公支系【世泽堂】汪氏宗谱简介

[复制链接]

17

主题

160

回帖

2633

积分

新手上路

鄂东黄冈世泽堂 汪(广)洋

积分
2633
QQ
发表于 2007-6-27 17:19:11 | 显示全部楼层 |阅读模式
黄冈建公支系【世泽堂】汪氏宗谱简介

(一)“黄冈”地名简介

       广义的“黄冈”指湖北东部的黄冈地区或黄冈市,包括现今的黄州、团风县、浠水县、罗田县、麻城市、红安县、英山县、黄梅县、蕲春县等。明朝之前大体属黄州府和蕲州府,明清以来共属黄州府,府治为今黄州。地理上东北为大别山系,南临长江,素有“吴头楚尾”和“湖北东大门”之称。
       狭义的“黄冈”主要指黄冈县,即现今的黄州和团风县辖地。1995年,撤黄冈县,建黄冈市(地级市),原黄冈县中的团风镇建县,原黄州设区。黄冈县东临巴河,西毗举水,北依大别山,南滨长江。分别与鄂州市、武汉市新州区、浠水县、罗田县、麻城市相邻。团风县城团风镇是一座临江历史名镇,古称乌林,历来为兵家必争之地(朱 元璋曾在这里战败了陈友谅)。
       因家谱修订于上世纪八十年代末,其中的一些地名与现今文献略有不同,兹简介如上。

(二)黄冈建公支系【世泽堂】简介

       据家谱记载,黄冈建公支系世泽堂汪氏支系情况如下:鲁成-世华公(44)-建公(45)-思立公(55)-仁高公(61)-延芳公(62)-淮公(64)-时杨公(66)-俞公(67)-恕公(即始迁祖兴一公)(79)。兴一公于明永乐末自歙迁黄州府黄冈县团风镇淋头畈,其弟兴二公迁崇阳,兴一公四传至洪公,生子七,为:儒、傑、?(繁体字)、倬、侨、佺、傧。黄冈建公支系世泽堂汪氏即为倬、侨、傧三公之后裔。
        黄冈世泽堂汪氏分布大体如下:黄州新河,团风镇临江、叶路、淋头畈、江宇庙汪家湾、马杨湾、石板冲,王家岭堵城,铁铺乡有蔡家嘴、门楼、殷家冲、竹林湾,方高坪镇岩河湾,另河南光山县白雀园八冲湾亦有分布。大体上,团风镇附近为倬公后裔,黄州附近为侨公后裔,傧公后裔居淋头畈等地(可参见荣真公笔记)。

(三)黄冈世泽堂汪氏宗谱简介

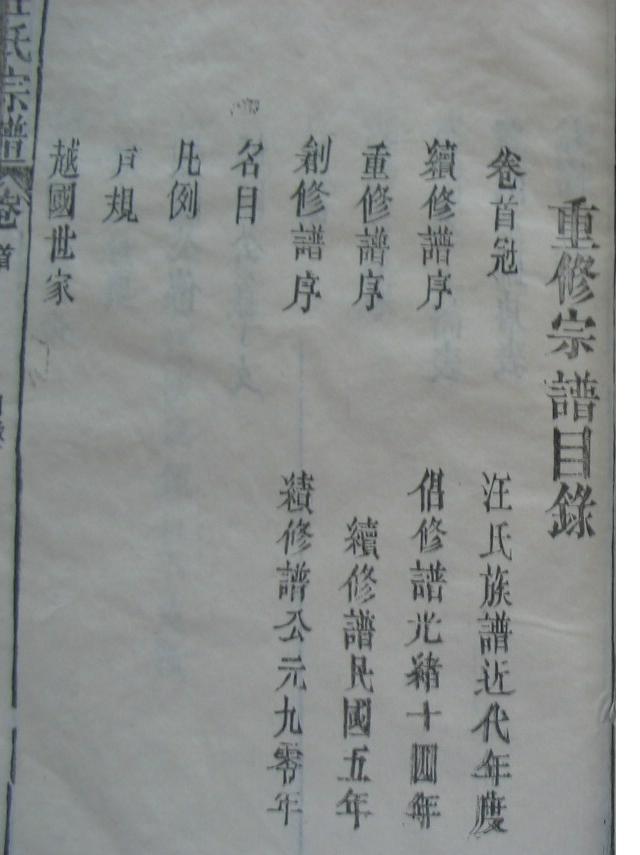
        家谱共十卷,依顺序分别题为“冠冕通南极,文章烈上臺”。其中卷“冠”记载图赞、谱序、字辈、户规、凡例、越国公传、越国世家等文献;卷“冕”记载兴一公支下知名人士的传记、序等;卷“通”记载自始祖颖川侯至始迁祖兴一公世系传承,分为传承图解,和先祖诸公简介(字、号、生卒年代、葬地及生平事迹);“南”“极”‘文”三卷记载始迁祖兴一公至洪公及倬公后裔;“章”“烈”“上”三卷记载侨公后裔;“臺”卷记载傧公后裔。
        家谱创修于光绪年间,民国五年续修,先后历经日寇侵华及文革十年等浩劫,历时三年,于公元1990年再次续修。家谱编排方式遵照老凡例,仅为体现男女平等,征得族人同意,男女可同上谱。

       在申请汪氏宗亲网认证会员时,曾向大风本家承诺要提供黄冈汪氏宗谱,恰好结束二十载的求学生涯,回家探亲时顺便将家谱翻拍上传给诸位学者研究。也算是兑现我向大风的承诺。
       其中“通”卷已全部翻拍,“冠”“冕”两卷大部分内容也已拍摄,其他七卷仅拍摄关键章节,并已记录下兴一公自广洋(21)的世系情况。这些内容待整理后将陆续上传(昨天上传了,重发一次!)。
http://baconw.blog.sohu.com/#tp_38b1658792

17

主题

160

回帖

2633

积分

新手上路

鄂东黄冈世泽堂 汪(广)洋

积分
2633
QQ
 楼主| 发表于 2007-6-28 10:49:20 | 显示全部楼层
黄冈世泽堂汪氏宗谱
家谱10本0.jpg

兴一公自歙迁黄冈

兴一公自歙迁黄冈
http://baconw.blog.sohu.com/#tp_38b1658792

17

主题

160

回帖

2633

积分

新手上路

鄂东黄冈世泽堂 汪(广)洋

积分
2633
QQ
 楼主| 发表于 2007-6-28 13:15:58 | 显示全部楼层
黄冈建公支系【世泽堂】汪氏宗谱目录
未命名.JPG
家谱 103.jpg
目录.jpg
http://baconw.blog.sohu.com/#tp_38b1658792

619

主题

5182

回帖

11万

积分

超级版主

积分
113127
发表于 2007-6-28 14:52:13 | 显示全部楼层
<黄冈汪氏宗谱>是被公认的高水平族谱,曾被上海图书馆珍藏,今日初识其端,果然是高,脉络清楚,条理分明,是家谱中的上品.
感谢广洋本家!
夕阳无限好,七十古来稀

619

主题

5182

回帖

11万

积分

超级版主

积分
113127
发表于 2007-6-28 14:58:45 | 显示全部楼层
"79世祖兴一公,于明永乐末自歙迁黄州府黄冈县团风镇淋头畈,其弟兴二公迁崇阳....."

----听说汪氏为崇阳县大姓,据说也有族谱,不知可与此说吻合否?崇阳宗亲不妨留意查证之.
夕阳无限好,七十古来稀

17

主题

160

回帖

2633

积分

新手上路

鄂东黄冈世泽堂 汪(广)洋

积分
2633
QQ
 楼主| 发表于 2007-6-28 16:02:34 | 显示全部楼层
亮公,家族之事,乃份内之事,何足挂齿! [s:1]

希望早日看到崇阳汪氏宗谱。
http://baconw.blog.sohu.com/#tp_38b1658792

40

主题

677

回帖

1万

积分

版主

宗亲万万年。

积分
10053
QQ
发表于 2007-6-28 22:21:21 | 显示全部楼层
<黄冈汪氏宗谱>是被公认的高水平族谱,曾被上海图书馆珍藏,今日初识其端,果然是高,脉络清楚,条理分明,是家谱中的上品.
感谢广洋本家!
谢谢广洋!!! [s:4]
......迁安徽黟县猪市街竹林嘴(又云我祖原籍系江南徽州府休宁县大竹林坡人氏)---元时(或宋末)登一公迁湖广黄冈府汪家集高河坎.....省一公迁湖广麻城县孝感乡洗脚河蒿枝坝大松树---明洪武辛亥兴德公入川至简西乾封镇(今四川简阳三岔坝月亮沟)---迁简阳猪窝沱---源经公迁简阳石盘铺檬茨沟(今简阳石桥镇赤水乡汪家沟)---我为入川18世(居四川成都)QQ:595545958.

48

主题

270

回帖

3773

积分

新手上路

汪姓是一家,为宗亲事业做贡献!

积分
3773
发表于 2009-2-20 17:25:01 | 显示全部楼层
我也是黄冈建公后,于康熙年间入川.
QQ:24757995  电话:13627888436

17

主题

138

回帖

3660

积分

新手上路

义水汪氏务本堂

积分
3660
QQ
发表于 2010-5-14 12:51:17 | 显示全部楼层
黄冈罗田务本堂

166

主题

1890

回帖

230万

积分

版主

灌河流域汪氏宗亲会创会秘书长,手机:15961332733

积分
2306618
QQ
发表于 2012-6-2 09:20:18 | 显示全部楼层

回 楼主(baconwang) 的帖子

请本家提供建公的生卒时间,
您需要登录后才可以回帖 登录 | 立即注册

本版积分规则

QQ| Archiver|手机版|小黑屋| 汪氏宗亲网

Copyright © 2001-2013 Comsenz Inc.   All Rights Reserved.

Powered by Discuz! X3.5( 皖ICP备2025101776号-1 )

快速回复 返回顶部 返回列表

 34100202000237