查看: 6026|回复: 2

黄冈【世泽堂】汪氏宗谱之卷“冕”

[复制链接]

17

主题

160

回帖

2633

积分

新手上路

鄂东黄冈世泽堂 汪(广)洋

积分
2633
QQ
发表于 2007-6-28 14:05:08 | 显示全部楼层 |阅读模式
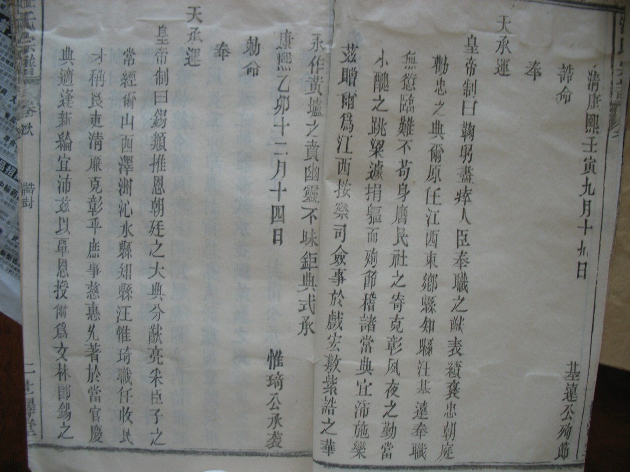
卷“冕”记录自兴一公迁黄冈后裔中著功名者。
如文渊公,基远公,汪竹千等人……
http://baconw.blog.sohu.com/#tp_38b1658792

17

主题

160

回帖

2633

积分

新手上路

鄂东黄冈世泽堂 汪(广)洋

积分
2633
QQ
 楼主| 发表于 2007-6-28 15:23:48 | 显示全部楼层
基远公
家谱 040.jpg
http://baconw.blog.sohu.com/#tp_38b1658792

40

主题

677

回帖

1万

积分

版主

宗亲万万年。

积分
10053
QQ
发表于 2007-6-28 22:28:51 | 显示全部楼层
谢谢广洋为我们提供了了解汪家先辈的资料!
......迁安徽黟县猪市街竹林嘴(又云我祖原籍系江南徽州府休宁县大竹林坡人氏)---元时(或宋末)登一公迁湖广黄冈府汪家集高河坎.....省一公迁湖广麻城县孝感乡洗脚河蒿枝坝大松树---明洪武辛亥兴德公入川至简西乾封镇(今四川简阳三岔坝月亮沟)---迁简阳猪窝沱---源经公迁简阳石盘铺檬茨沟(今简阳石桥镇赤水乡汪家沟)---我为入川18世(居四川成都)QQ:595545958.
您需要登录后才可以回帖 登录 | 立即注册

本版积分规则

QQ| Archiver|手机版|小黑屋| 汪氏宗亲网

Copyright © 2001-2013 Comsenz Inc.   All Rights Reserved.

Powered by Discuz! X3.5( 皖ICP备2025101776号-1 )

快速回复 返回顶部 返回列表

 34100202000237