查看: 14846|回复: 11

谁知道汪天睦堂.   灯笼字号为义门世家.

[复制链接]

3

主题

6

回帖

119

积分

认证会员

积分
119
发表于 2007-11-11 20:31:13 | 显示全部楼层 |阅读模式
谁知道汪天睦堂.    灯笼字号为义门世家.  清末民初曾在旌德境内有汪氏祠堂.  太平(黄山区)汪氏后裔在民国六年间在该祠堂发现有旌阳汪氏义门支派建生婚娶部西庄元简公支.应悦公支汪天睦堂的家谱, 字辈为"文明能秉祖,士期应时兴,大廷惟家庆,永世必昌隆"

251

主题

3515

回帖

114751万

积分

超级版主

探究汪氏源流,学习汪氏文化。

积分
1147514344
发表于 2007-11-11 20:55:12 | 显示全部楼层
应该是义门支系。与wangxw2003是一家。
七律·喜看女孙 屯蒙辑别步尘阶,双眸晶明神度谐。
一气混元观世界,万般依赖就娘怀。
饥啼不解人间苦,梦笑惟呈弱体乖。
年老莫愁无乐趣,含饴笑弄女孙崽。

5

主题

8

回帖

162

积分

认证会员

我是:卧牛穴祠堂的

积分
162
发表于 2007-11-21 22:35:17 | 显示全部楼层

Re:谁知道汪天睦堂.    灯笼字号为义门世家.

灯笼字号 是啥意思??

40

主题

669

回帖

1万

积分

光明使者

弘扬汪姓文化

积分
10744
发表于 2007-11-22 12:27:10 | 显示全部楼层

Re:谁知道汪天睦堂.    灯笼字号为义门世家.

”义门世家“字符应该是陈姓文化的代表字样!
45爽公-56-道安公76荣六公-80灌公

4

主题

68

回帖

1万

积分

光明使者

积分
11264
发表于 2007-11-25 19:12:40 | 显示全部楼层

Re:谁知道汪天睦堂.    灯笼字号为义门世家.

旌德县孙村新建汪氏,绝对没错!为“担来公”汪渐后裔。

902

主题

4154

回帖

8万

积分

管理员

积分
86429
QQ
发表于 2007-11-25 19:58:12 | 显示全部楼层

Re:谁知道汪天睦堂.    灯笼字号为义门世家.

河南-汪聚贵

23

主题

186

回帖

1万

积分

新手上路

汪华故乡——山川优美、民风古朴

积分
14043
发表于 2008-1-19 20:33:03 | 显示全部楼层

Re:谁知道汪天睦堂.    灯笼字号为义门世家.

引用楼主汪思训于2007-11-11 20:31发表的 谁知道汪天睦堂.    灯笼字号为义门世家. :
  谁知道汪天睦堂.    灯笼字号为义门世家.  清末民初曾在旌德境内有汪氏祠堂.  太平(黄山区)汪氏后裔在民国六年间在该祠堂发现有旌阳汪氏义门支派建生婚娶部西庄元简公支.应悦公支汪天睦堂的家谱, 字辈为"文明能秉祖,士期应时兴,大廷惟家庆,永世必昌隆"

和本家应属同门哦。应是“旌德县庙首乡.孙村.新建汪氏”。与江总的祖居地----江村  很近哦
45世俊公之后嗣,93世。QQ:414679244;手机:13359091897

23

主题

186

回帖

1万

积分

新手上路

汪华故乡——山川优美、民风古朴

积分
14043
发表于 2008-1-19 21:14:40 | 显示全部楼层

Re:谁知道汪天睦堂.    灯笼字号为义门世家.

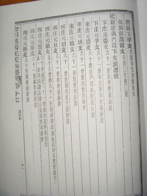
西庄元迁03.JPG 西庄元迁02.JPG 西庄元迁01.JPG
引用楼主汪思训于2007-11-11 20:31发表的 谁知道汪天睦堂.   灯笼字号为义门世家. :
谁知道汪天睦堂.   灯笼字号为义门世家. 清末民初曾在旌德境内有汪氏祠堂. 太平(黄山区)汪氏后裔在民国六年间在该祠堂发现有旌阳汪氏义门支派建生婚娶部西庄元简公支.应悦公支汪天睦堂的家谱, 字辈为"文明能秉祖,士期应时兴,大廷惟家庆,永世必昌隆"
45世俊公之后嗣,93世。QQ:414679244;手机:13359091897

0

主题

18

回帖

290

积分

侠客

积分
290
QQ
发表于 2009-4-25 18:05:27 | 显示全部楼层

Re:谁知道汪天睦堂.    灯笼字号为义门世家.

我家的宗谱上写的是墩睦堂  木字号
汪代林

0

主题

18

回帖

290

积分

侠客

积分
290
QQ
发表于 2009-4-25 18:05:47 | 显示全部楼层

Re:谁知道汪天睦堂.    灯笼字号为义门世家.

有没有谁和我是一家的
汪代林
您需要登录后才可以回帖 登录 | 立即注册

本版积分规则

QQ| Archiver|手机版|小黑屋| 汪氏宗亲网

Copyright © 2001-2013 Comsenz Inc.   All Rights Reserved.

Powered by Discuz! X3.5( 皖ICP备2025101776号-1 )

快速回复 返回顶部 返回列表

 34100202000237