查看: 15431|回复: 2

歙县慈川(又叫慈姑)支派的发展及迁移(转帖)

[复制链接]

174

主题

1214

回帖

3万

积分

超级版主

建公支下绩北坦头“世承堂”汪氏

积分
32646
发表于 2008-2-16 18:32:08 | 显示全部楼层 |阅读模式
•      

  
歙县慈川(又叫慈姑)支派的发展及迁移
                                                   汪道显
   
   一.歙县慈川支派又叫歙县支派。慈川在汪王墓北六里地,是汪华七子汪爽的后裔,自五十六世之后世掌汪王的词诰。
    登源汪村人口的膨胀,迫于生活的压力开始大量外迁,开始在徽州地区内流动,后发展到外迁至全国各地以及海外。
    汪华七子汪爽生有二子,长处礼,次处贵。
    处礼迁歙县慈川,无后。
    处贵迁宣之太平,生一子太元,后迁泾县。太元生二子,长子仁素、次子仁泰。仁素生有二子长凤思、次凤林又名汪伦(李白访汪伦者)后任泾县令。长子凤思任歙县令,重住慈川。四十九世凤思成歙县支派始祖,到五十五世师全公,生二子。长子道安公兵马镇骛源,举家迁骛源成为婺源始祖。次子道兴公留住不迁,掌汪王的词诰,道兴公本人镇开化其曾孙五十九世永固返慈川世守王墓。
    1.汪爽(7/9表弟兄九个,排行老七)到五十九世主要人物挂线图
45世汪爽(7/9)—46世处贵(2/2)—47太元(1/1)—48世仁素(1/2)—49凤思(1/2)—50文秀(1/4)—51行璩(2/2)—52说言(1/7)—53成(1/3)—54浚(1/3)—55师全(1/2)—56道兴(2/2)—57琏(1/1)—58记(?)—59永固(1/4)

    2.五十九世到八十四世男丁数及迁移情况
世数    59    60    61    62    63    64    65    66    67
男丁数    1    5    5    2    5    7    1    1    1
迁移情况              ①②                              
                                             
世数    68    69    70    71    72    73    75    76    77
男丁数    3    3    2    7    7    14    45    69    113
迁移情况                   ③              ④    ⑤    ⑥⑦⑧
                                             
世数    78    79    80    81    82    83    84         
男丁数    74    73    56    22    14    21    42         
迁移情况         ⑨         ⑩         jk    lm         
① 61世炎迁南乡琴川,从琴川又分迁出14支。
② 61世燧迁洛西。
③ 71世宗荣迁南乡遐阜川(显村),从显村又分出6支。
④ 75世兰迁贵池邑丁冲,从丁冲又分迁出6支。
⑤ 76世回宗迁泾邑中保里。
⑥ 77世荣享、荣华迁宣城大地,从大地又分支出2支。
⑦ 77世宗宁迁绩溪玉都石门,从石门又分支出1支。
⑧ 77世寿安迁胡乐镇。
⑨ 79世义德迁绩溪邑南培,从南培又分出3支。
⑩ 81世宗贵迁旌德邑乔亭东理村,从东理村又分迁出1支。
j 83世世淳迁杭州。
k 83世字云迁杭州。
l 84世起华、起骧迁南京。
m 84世起鼎迁开化。

二.七十一世宗荣公迁遐阜川(显村)后发展迁移情况
1.       七十一世到八十一世挂线图
71世    72     73    74    75    76    77    78    79
                                                   景明
宗荣  —月朗—天全—永太—正诰—福月—克发—武祥—{
              景寿  迁富阳
79世          80       81
            元恩——— 尚富——几代后迁歙南汪田山

              尚羲
元寿———{             }——显村汪氏元寿支(元寿公)
              尚滋
            
尚廉——显村汪尚廉支(廉公)
景明—{     元赐———{ 尚积——外迁
              尚友——显村汪氏尚友支(友公)

                          尚应
元伍———{             }——显村汪氏元伍支(元伍公)
              尚明

元禄———尚义——几代后消失

元相(早死)

2.各世男丁数
世数    71    72    73    74    75    76    77    78    79    80
男丁数    1    1    2    1    1    2    1    1    2    6
灵位册人数    1    1    2    1    1    2    1    1    3    7
世数    81    82    83    84    85    86    87    88    89     
男丁数    9    16    29    48    81    146    115    38         
灵位册人数    22    39    90    129    139    202    297    382         
注:1.“通宗世谱”出版于乾隆年间,87世及以后有的还没有上册。
    2.同一世中男丁数和灵位册上人数有的差别很大,主要原因有①天花、麻疹流行病造成大量幼儿死亡、没有上宗谱,但祠堂上灵位牌时登记了。②87世前后太平天国兵乱在徽州地区造成人员死亡。
    3.显村支派分迁情况
    ① 79世景寿迁富阳
    ② 81世尚积外迁(迁何处不知)
    ③ 85世大胜迁浙江分水邑
    ④ 87世士繁出继浙江常山邑岩口
    ⑤ 80世元恩后裔大部分分迁南乡汪田山,只有二户留下併入尚廉支
    ⑥ 81世尚廉后裔部分迁小川米坑

三.尚友公到九十世灶昌公发展挂线图
81世尚友(3/3)—82积浓(1/4)—83啟建(2/2)—84善性(1/2)—85大鹤(1/2)
86世文树(1/2)—87士修(2/2)—88有荣(1/6)—89心化(1/2)—90灶昌(1/4)
文树生二子,长子士象,后代是村头下五家
文树之次子士修,生六子长大成人五子,后代为村头上五家
有荣生二子,长大成人一子;心化生四子,长大成人二子,灶昌生三子:善魁、道章、道显;还有六女:菊花、荷花、善珍、善娣、银娣、善花,银娣五岁去世。

215

主题

5523

回帖

13万

积分

天使

九华汪长富 佛国汪谱迷

积分
131271
发表于 2008-2-16 20:50:09 | 显示全部楼层
不错,前部世系(45—57世)及记载经核对正确。裕凯本家辛苦了!

慈川,慈姑,我谱记慈菰,应该是一码手。

184

主题

1854

回帖

4万

积分

新手上路

我给自己取字慈言,号白石山人。

积分
42615
QQ
发表于 2008-10-10 12:02:41 | 显示全部楼层
我谱记载:

道兴公资料

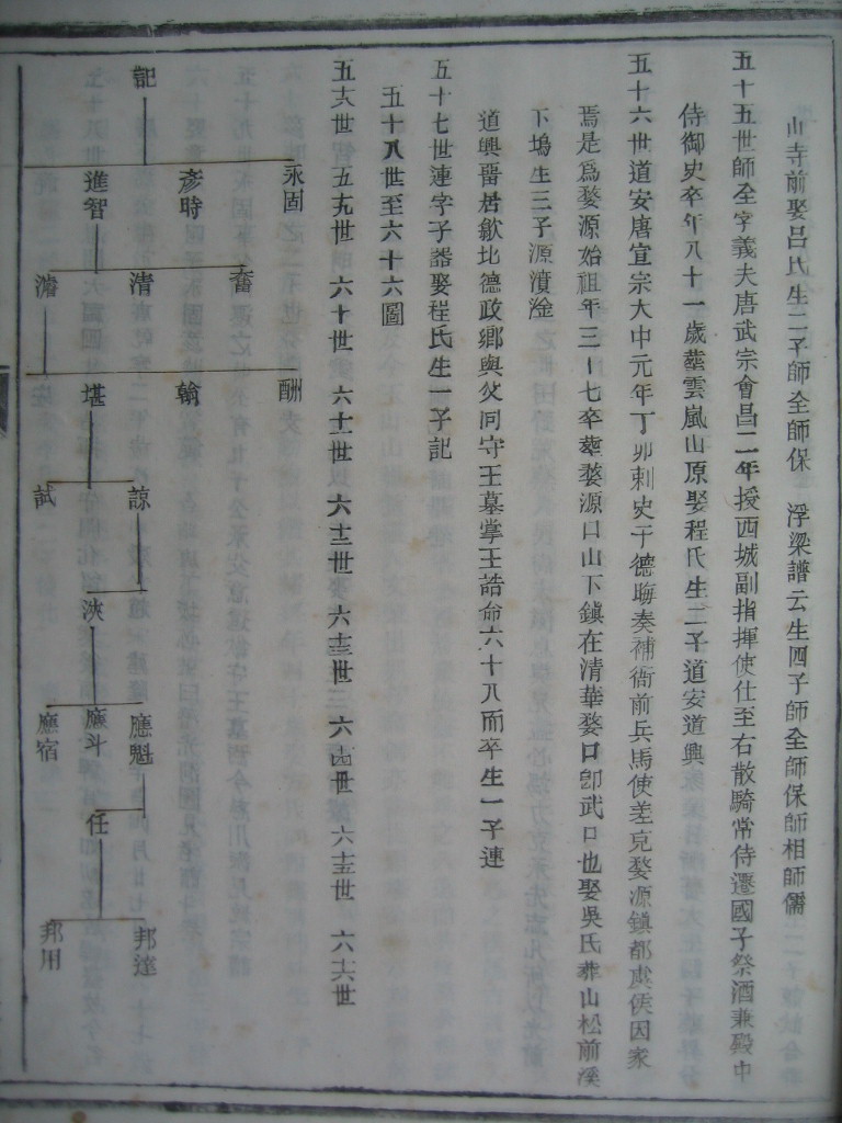
道兴公资料

永固公资料

永固公资料
您需要登录后才可以回帖 登录 | 立即注册

本版积分规则

QQ| Archiver|手机版|小黑屋| 汪氏宗亲网

Copyright © 2001-2013 Comsenz Inc.   All Rights Reserved.

Powered by Discuz! X3.5( 皖ICP备2025101776号-1 )

快速回复 返回顶部 返回列表

 34100202000237