查看: 19627|回复: 12

修谱六法、谱有六不书(长垅汪氏笃亲堂民国二十年版)

[复制链接]

215

主题

5523

回帖

13万

积分

天使

九华汪长富 佛国汪谱迷

积分
131271
发表于 2008-4-13 13:55:06 | 显示全部楼层 |阅读模式
因林烟网友急于索取,来不及整理撰编,只能拍照片发上。
又因像素太大,无法发出。摸索了两夜,终能编辑,调整规格后,始可发出。学习了。
自我感觉,效果还不错。

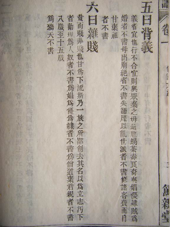
附修谱六法  (点击图面,可放全屏)

附修谱六法  (点击图面,可放全屏)

续前 /  谱有六不书 (图六“十”书是一错字,应为六“不”书)

续前 /  谱有六不书 (图六“十”书是一错字,应为六“不”书)

谱有六不书(续)

谱有六不书(续)

谱有六不书(续)

谱有六不书(续)

28

主题

215

回帖

4335

积分

认证会员

积分
4335
QQ
发表于 2008-4-13 14:39:15 | 显示全部楼层
六十书,图片好象是的.

215

主题

5523

回帖

13万

积分

天使

九华汪长富 佛国汪谱迷

积分
131271
 楼主| 发表于 2008-4-13 15:06:43 | 显示全部楼层
“六书”是错误,应更正为“六书”。

我也是后来才发现的,否则我就改好了再拍照。

184

主题

1854

回帖

4万

积分

新手上路

我给自己取字慈言,号白石山人。

积分
42615
QQ
发表于 2008-4-13 17:44:21 | 显示全部楼层
我说怎么看着有点反意呢

215

主题

5523

回帖

13万

积分

天使

九华汪长富 佛国汪谱迷

积分
131271
 楼主| 发表于 2008-4-13 19:22:58 | 显示全部楼层
引用第3楼汪胜忠于2008-04-13 17:44发表的  :
我说怎么看着有点反意呢

细读内容就不是反意了,是说凡“弃祖、反党、刑犯、败伦、背义、杂贱”,这六类坏人坏事不得写入宗谱,或解释为凡属这六类人都除消其入谱的资格。

标题的一字之错,纯属排版和校对之误,所有的内容都不错━━每段结尾都是“ X X X X 者不书”。

251

主题

3515

回帖

114751万

积分

超级版主

探究汪氏源流,学习汪氏文化。

积分
1147514344
发表于 2008-4-13 20:14:24 | 显示全部楼层
引用第3楼汪胜忠于2008-04-13 17:44发表的  :
我说怎么看着有点反意呢
理解有误吧。过去修谱有一个重要原则——“书善不书恶”,取正面教育后代的意思。
七律·喜看女孙 屯蒙辑别步尘阶,双眸晶明神度谐。
一气混元观世界,万般依赖就娘怀。
饥啼不解人间苦,梦笑惟呈弱体乖。
年老莫愁无乐趣,含饴笑弄女孙崽。

18

主题

77

回帖

1980

积分

认证会员

汪氏家族祭祖文化研究

积分
1980
QQ
发表于 2008-4-14 10:16:09 | 显示全部楼层
引用第6楼menp9999于2008-04-13 21:17发表的  :
六不书有点象剥夺政治权利终身,呵呵
还有,那个贴子删除不了,只有请班主帮忙了.
在一定程度上,传统家谱对于个人似乎意味着政治、经济、文化权利的全面控制,不同于现在的家谱多强调文化认同,而失去了政治、经济方面的控制权利。(个人见解,敬请指教)

184

主题

1854

回帖

4万

积分

新手上路

我给自己取字慈言,号白石山人。

积分
42615
QQ
发表于 2008-4-14 13:23:06 | 显示全部楼层
这些要么是规范,要么是警戒,是维护社会正常运行的条件。不管是封建社会,还是社会主义和谐社会,要能做到这些,那社会就真的和谐了。千年积淀的文化,对哦现在还是可以用的,这就是儒家文化的经典之处啊

10

主题

190

回帖

1万

积分

认证会员

我是祖籍婺源的桐城南乡会宫程宗

积分
12795
QQ
发表于 2008-7-7 14:54:29 | 显示全部楼层
关键是在于毛主席粉碎了族权。
没有了族权,新的家谱无法体现在经济、政治上对族人进行约束。
祖籍婺源 我在合肥

55

主题

886

回帖

2万

积分

版主

湖北红安县-汪仁华(92世)

积分
28455
发表于 2008-12-13 11:46:10 | 显示全部楼层
引用第7楼汪胜忠于2008-04-14 13:23发表的  :
这些要么是规范,要么是警戒,是维护社会正常运行的条件。不管是封建社会,还是社会主义和谐社会,要能做到这些,那社会就真的和谐了。千年积淀的文化,对哦现在还是可以用的,这就是儒家文化的经典之处啊
有道理!!!
爽-道安-濆-中元-如竹-元正-福金-- 汪仁华
您需要登录后才可以回帖 登录 | 立即注册

本版积分规则

QQ| Archiver|手机版|小黑屋| 汪氏宗亲网

Copyright © 2001-2013 Comsenz Inc.   All Rights Reserved.

Powered by Discuz! X3.5( 皖ICP备2025101776号-1 )

快速回复 返回顶部 返回列表

 34100202000237