楼主: 龙眠久子

桐城南河坂汪敦本堂  四修笃亲录目次(光绪三十年)

[复制链接]

143

主题

2387

回帖

5万

积分

天使

积分
51416
QQ
 楼主| 发表于 2008-7-12 23:28:01 | 显示全部楼层
桐城汪敦本堂卷首封面
IMG_0002.JPG
天生我才必有用

143

主题

2387

回帖

5万

积分

天使

积分
51416
QQ
 楼主| 发表于 2008-7-13 12:57:58 | 显示全部楼层
三修程序
IMG_0014.JPG
IMG_0015.JPG
IMG_0016.JPG
IMG_0017.JPG
天生我才必有用

143

主题

2387

回帖

5万

积分

天使

积分
51416
QQ
 楼主| 发表于 2008-7-13 13:01:11 | 显示全部楼层
重修方序
IMG_0018.JPG
IMG_0019.JPG
IMG_0020.JPG
IMG_0021.JPG
天生我才必有用

143

主题

2387

回帖

5万

积分

天使

积分
51416
QQ
 楼主| 发表于 2008-7-13 13:07:34 | 显示全部楼层
原修由敦序
IMG_0022.JPG
IMG_0023.JPG
IMG_0024.JPG
IMG_0025.JPG
天生我才必有用

143

主题

2387

回帖

5万

积分

天使

积分
51416
QQ
 楼主| 发表于 2008-7-13 13:10:02 | 显示全部楼层
原修由敦序续
IMG_0026.JPG
IMG_0027.JPG
天生我才必有用

143

主题

2387

回帖

5万

积分

天使

积分
51416
QQ
 楼主| 发表于 2008-7-13 13:15:34 | 显示全部楼层
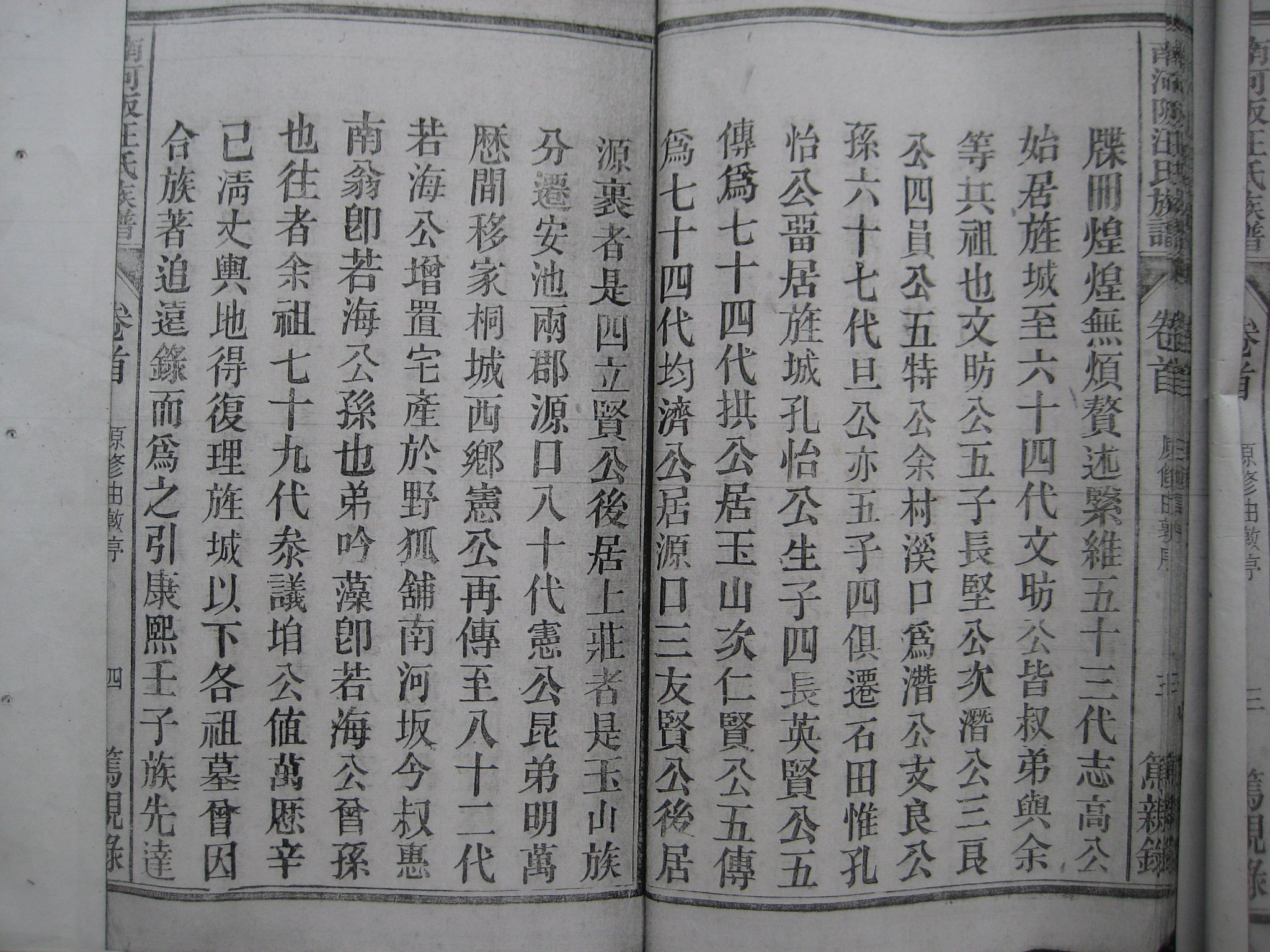
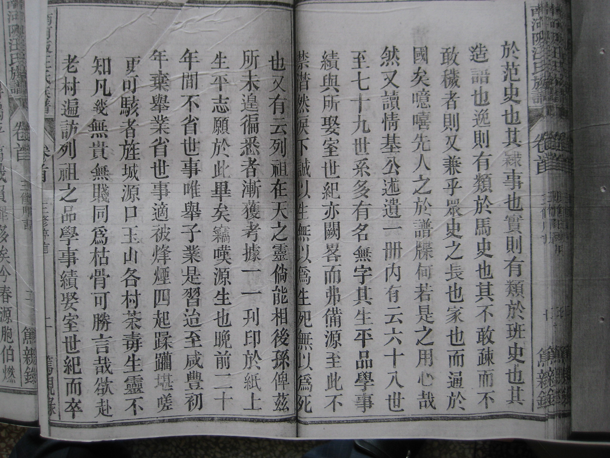
原修家琭序
IMG_0028.JPG
IMG_0029.JPG
IMG_0030.JPG
IMG_0031.JPG
天生我才必有用

143

主题

2387

回帖

5万

积分

天使

积分
51416
QQ
 楼主| 发表于 2008-7-13 13:23:57 | 显示全部楼层
四修序言
IMG_0032.JPG
IMG_0033.JPG
天生我才必有用

143

主题

2387

回帖

5万

积分

天使

积分
51416
QQ
 楼主| 发表于 2008-7-13 13:28:58 | 显示全部楼层
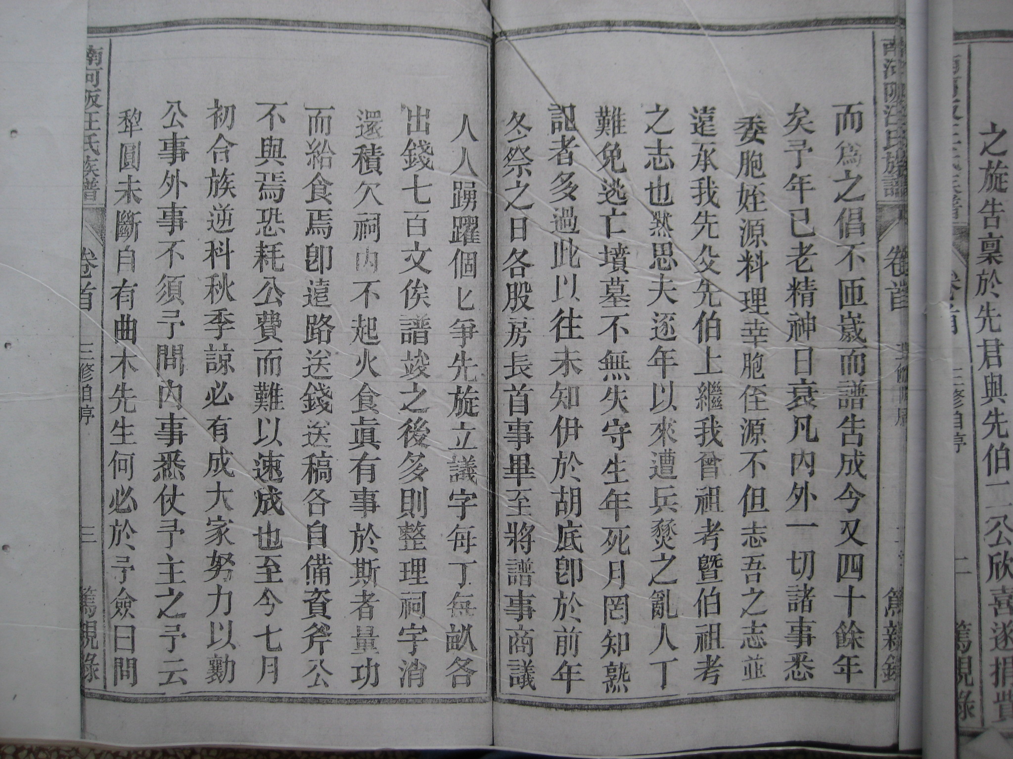
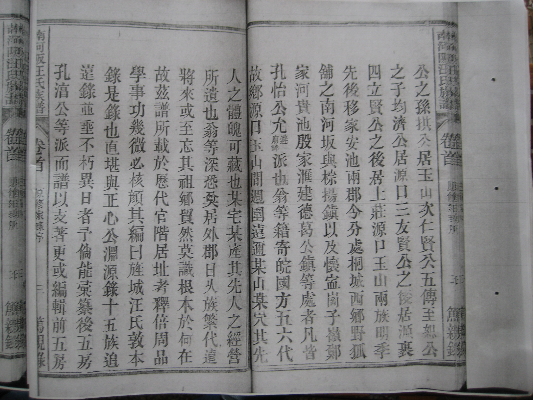
三修自序
IMG_0034.JPG
IMG_0035.JPG
IMG_0036.JPG
IMG_0037.JPG
天生我才必有用

143

主题

2387

回帖

5万

积分

天使

积分
51416
QQ
 楼主| 发表于 2008-7-13 13:30:22 | 显示全部楼层
三修自序续
IMG_0038.JPG
天生我才必有用

143

主题

2387

回帖

5万

积分

天使

积分
51416
QQ
 楼主| 发表于 2008-7-13 13:31:46 | 显示全部楼层
三修序言
IMG_0039.JPG
IMG_0040.JPG
天生我才必有用
您需要登录后才可以回帖 登录 | 立即注册

本版积分规则

QQ| Archiver|手机版|小黑屋| 汪氏宗亲网

Copyright © 2001-2013 Comsenz Inc.   All Rights Reserved.

Powered by Discuz! X3.5( 皖ICP备2025101776号-1 )

快速回复 返回顶部 返回列表

 34100202000237