查看: 25664|回复: 72

2005年湖北省黄冈地区英山、罗田、二县联修六修谱卷首[一]

[复制链接]

166

主题

4153

回帖

10万

积分

天使

九十三世金寨之汪

积分
104337
QQ
发表于 2008-12-13 23:58:35 | 显示全部楼层 |阅读模式

93世道升原名道生谱名

93世道升原名道生谱名
苏修版

1991年5修宗谱卷六在皖金寨县江店87世添琳公后裔胖子道生[93世]补修版用最原始石印药墨墨谱

1991年5修宗谱卷六在皖金寨县江店87世添琳公后裔胖子道生[93世]补修版用最原始石印药墨墨谱
金寨汪讳铁佛公后裔汪氏93世

166

主题

4153

回帖

10万

积分

天使

九十三世金寨之汪

积分
104337
QQ
 楼主| 发表于 2008-12-14 00:14:07 | 显示全部楼层
DSCN1605.JPG    DSCN1606.JPG    DSCN1607.JPG   

在大门廷科白大汪道龙[93世]三大门正月初一拜谱年决定:每年农历10月16日保存推选由三门同意下年那一家保存

在大门廷科白大汪道龙[93世]三大门正月初一拜谱年决定:每年农历10月16日保存推选由三门同意下年那一家保存
金寨汪讳铁佛公后裔汪氏93世

166

主题

4153

回帖

10万

积分

天使

九十三世金寨之汪

积分
104337
QQ
 楼主| 发表于 2008-12-14 00:16:56 | 显示全部楼层

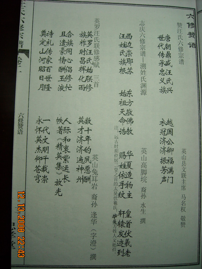
公元2005年乙酉忠孝堂卷首[一]

公元2005年乙酉忠孝堂卷首[一]
   DSCN1610.JPG    DSCN1611.JPG    DSCN1612.JPG
金寨汪讳铁佛公后裔汪氏93世

166

主题

4153

回帖

10万

积分

天使

九十三世金寨之汪

积分
104337
QQ
 楼主| 发表于 2008-12-14 00:18:02 | 显示全部楼层
DSCN1613.JPG    DSCN1614.JPG    DSCN1615.JPG    DSCN1616.JPG
金寨汪讳铁佛公后裔汪氏93世

166

主题

4153

回帖

10万

积分

天使

九十三世金寨之汪

积分
104337
QQ
 楼主| 发表于 2008-12-14 00:19:08 | 显示全部楼层
DSCN1617.JPG    DSCN1618.JPG    DSCN1619.JPG    DSCN1620.JPG
金寨汪讳铁佛公后裔汪氏93世

166

主题

4153

回帖

10万

积分

天使

九十三世金寨之汪

积分
104337
QQ
 楼主| 发表于 2008-12-14 00:20:09 | 显示全部楼层
DSCN1621.JPG    DSCN1622.JPG    DSCN1623.JPG    DSCN1624.JPG
金寨汪讳铁佛公后裔汪氏93世

166

主题

4153

回帖

10万

积分

天使

九十三世金寨之汪

积分
104337
QQ
 楼主| 发表于 2008-12-14 00:21:09 | 显示全部楼层
DSCN1625.JPG    DSCN1626.JPG    DSCN1627.JPG    DSCN1628.JPG
金寨汪讳铁佛公后裔汪氏93世

166

主题

4153

回帖

10万

积分

天使

九十三世金寨之汪

积分
104337
QQ
 楼主| 发表于 2008-12-14 00:22:25 | 显示全部楼层
DSCN1629.JPG    DSCN1630.JPG    DSCN1631.JPG    DSCN1632.JPG
金寨汪讳铁佛公后裔汪氏93世

166

主题

4153

回帖

10万

积分

天使

九十三世金寨之汪

积分
104337
QQ
 楼主| 发表于 2008-12-14 00:23:27 | 显示全部楼层
DSCN1633.JPG    DSCN1634.JPG    DSCN1635.JPG    DSCN1636.JPG
金寨汪讳铁佛公后裔汪氏93世

166

主题

4153

回帖

10万

积分

天使

九十三世金寨之汪

积分
104337
QQ
 楼主| 发表于 2008-12-14 00:24:32 | 显示全部楼层
DSCN1637.JPG    DSCN1638.JPG    DSCN1639.JPG    DSCN1640.JPG
金寨汪讳铁佛公后裔汪氏93世
您需要登录后才可以回帖 登录 | 立即注册

本版积分规则

QQ| Archiver|手机版|小黑屋| 汪氏宗亲网

Copyright © 2001-2013 Comsenz Inc.   All Rights Reserved.

Powered by Discuz! X3.5( 皖ICP备2025101776号-1 )

快速回复 返回顶部 返回列表

 34100202000237