查看: 13010|回复: 13

汪道生本家走访徐州汪氏宗亲

[复制链接]

25

主题

76

回帖

3240

积分

新手上路

为徐州汪氏宗祠广泛征集楹联,恳

积分
3240
QQ
发表于 2010-4-20 11:57:34 | 显示全部楼层 |阅读模式
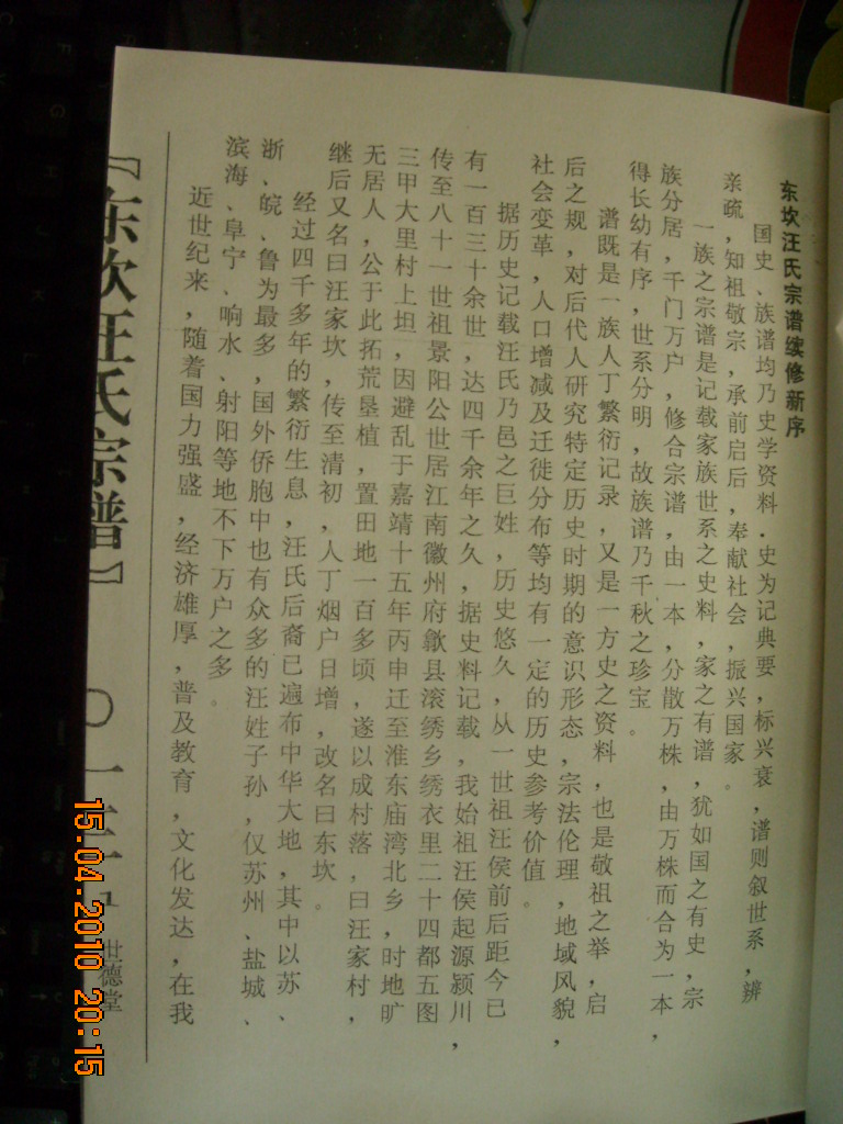
        汪道生本家于2010年4月18日来徐走访徐州汪氏宗亲 。在徐州期间与徐州汪氏宗亲联谊会的本家相互交流了汪氏文化,并到汪氏祠堂祭祖。有关图片与本家们共享!

166

主题

4153

回帖

10万

积分

天使

九十三世金寨之汪

积分
104337
QQ
发表于 2010-4-20 15:02:45 | 显示全部楼层
DSCN0999.JPG    DSCN1000.JPG    DSCN0971.JPG    DSCN0995.JPG
金寨汪讳铁佛公后裔汪氏93世

25

主题

76

回帖

3240

积分

新手上路

为徐州汪氏宗祠广泛征集楹联,恳

积分
3240
QQ
 楼主| 发表于 2010-4-20 15:41:58 | 显示全部楼层
DSCN1159.JPG

25

主题

76

回帖

3240

积分

新手上路

为徐州汪氏宗祠广泛征集楹联,恳

积分
3240
QQ
 楼主| 发表于 2010-4-20 15:44:41 | 显示全部楼层
DSCN1161.JPG    DSCN1162.JPG    DSCN1163.JPG

25

主题

76

回帖

3240

积分

新手上路

为徐州汪氏宗祠广泛征集楹联,恳

积分
3240
QQ
 楼主| 发表于 2010-4-20 15:46:34 | 显示全部楼层
DSCN0900.JPG    DSCN0910.JPG    DSCN0911.JPG    DSCN0912.JPG

25

主题

76

回帖

3240

积分

新手上路

为徐州汪氏宗祠广泛征集楹联,恳

积分
3240
QQ
 楼主| 发表于 2010-4-20 16:03:37 | 显示全部楼层
DSCN0951.JPG    DSCN0956.JPG    DSCN0961.JPG    DSCN0988.JPG

25

主题

76

回帖

3240

积分

新手上路

为徐州汪氏宗祠广泛征集楹联,恳

积分
3240
QQ
 楼主| 发表于 2010-4-20 16:05:01 | 显示全部楼层
DSCN0965.JPG    DSCN0969.JPG    DSCN0970.JPG

25

主题

76

回帖

3240

积分

新手上路

为徐州汪氏宗祠广泛征集楹联,恳

积分
3240
QQ
 楼主| 发表于 2010-4-20 16:06:56 | 显示全部楼层
DSCN0971.JPG    DSCN0973.JPG    DSCN0975.JPG    DSCN0976.JPG

25

主题

76

回帖

3240

积分

新手上路

为徐州汪氏宗祠广泛征集楹联,恳

积分
3240
QQ
 楼主| 发表于 2010-4-20 16:08:35 | 显示全部楼层
DSCN0979.JPG    DSCN0981.JPG    DSCN0984.JPG    DSCN0985.JPG

25

主题

76

回帖

3240

积分

新手上路

为徐州汪氏宗祠广泛征集楹联,恳

积分
3240
QQ
 楼主| 发表于 2010-4-20 16:10:10 | 显示全部楼层
DSCN0986.JPG    DSCN0990.JPG    DSCN0991.JPG    DSCN0992.JPG
您需要登录后才可以回帖 登录 | 立即注册

本版积分规则

QQ| Archiver|手机版|小黑屋| 汪氏宗亲网

Copyright © 2001-2013 Comsenz Inc.   All Rights Reserved.

Powered by Discuz! X3.5( 皖ICP备2025101776号-1 )

快速回复 返回顶部 返回列表

 34100202000237