查看: 20490|回复: 13

汪道生邳州行之小憩花絮

[复制链接]

146

主题

3851

回帖

8万

积分

天使

你我是音符,相逢一首歌

积分
85373
发表于 2010-4-23 19:00:43 | 显示全部楼层 |阅读模式
  有一种一见如故的帮助叫宗亲

几天前接到道生在徐州打来的的电话,知道了道生和丛宏的父亲在徐州明立本家那里,在江苏道生也拜访了盐城的汪明,同时我们三方也有机会有了一次家谱上的亲切沟通。

谈到邳州解救之行,说的更多的是明立本家的接待和生活上的很多照顾,特别是明立给他们的解救行动带来人脉上的实际帮助,让道生和华贵本家对解救有了极大信心。
%E6%9C%AA%E5%91%BD%E5%90%8D1.jpg    24.jpg
   25.jpg    27.jpg

146

主题

3851

回帖

8万

积分

天使

你我是音符,相逢一首歌

积分
85373
 楼主| 发表于 2010-4-23 19:03:36 | 显示全部楼层
在徐州同时也参加了徐州丰沛周边的联谊会并和宗亲以及会长留影(见图)。同时也谈了一些徐州汪氏联谊会今后的发展远景,以及道生参加联谊会后的一些认识。
1.jpg    26.jpg    22.jpg    23.jpg
回到解救进展的事情上,道生说了很多被明立本家感动的细节,本家出钱出力让他们心里感觉很过意不去,道生本家是一位心直口快的豪爽人,办事也素来以风风火火中见谨慎,谈话中,他说如果此行不能解救成功,他们准备感谢支持他们的本家们后暂时回家乡。可以想见解救行动之难。

146

主题

3851

回帖

8万

积分

天使

你我是音符,相逢一首歌

积分
85373
 楼主| 发表于 2010-4-23 19:06:43 | 显示全部楼层
热情是最有力的行动工具

前天晚上,道生又联络到德平本家寻找达公支系的情况,随后在道生的搭桥下与本家谈了关于达公支系中家谱的很多带有争议的世袭情况,特别是陇西(巩昌)汪氏迁徙到六安的情况。
25_4_4a4a9d45553788d.jpg    204_64_7c486acf8b02889.jpg


随后我们又视频聊到解救的问题上来,这个时候正好通过视频看到邳州警方在网吧有个例行检查,道生也热情的提供自己身份证的情形,道生说,明天邳州警方应该在连日监控跟踪的基础上会收网并进行解救行动,谈到在邳州四处奔波寻找从宏的辛苦时,途中意外收获邳州达公一支系拍来的照片(下图)

146

主题

3851

回帖

8万

积分

天使

你我是音符,相逢一首歌

积分
85373
 楼主| 发表于 2010-4-23 19:09:25 | 显示全部楼层
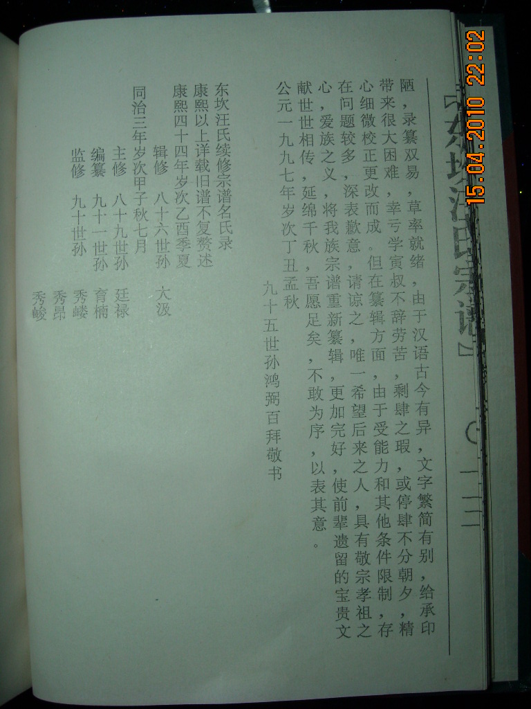
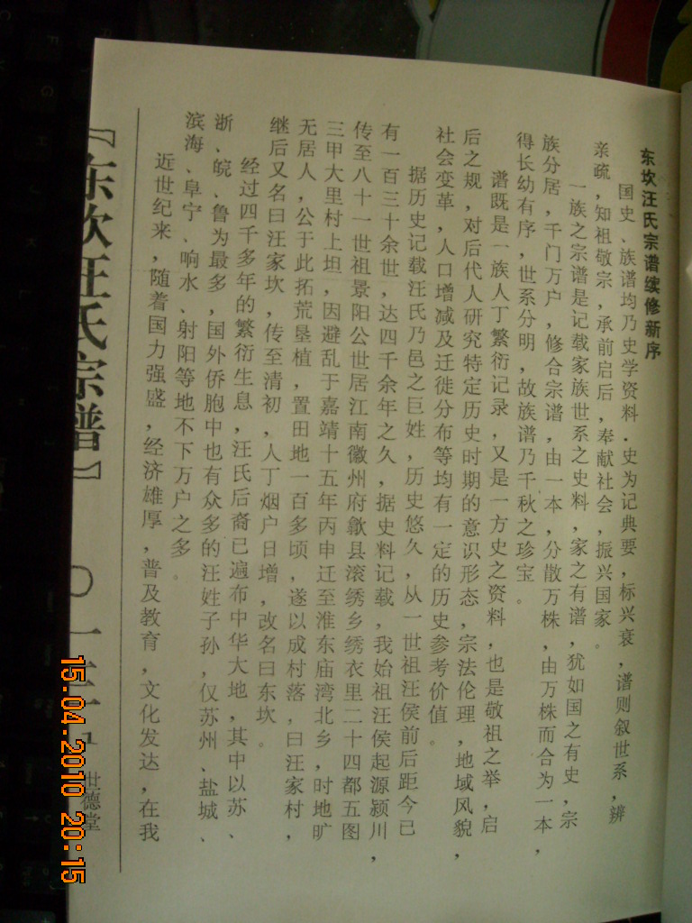
39.jpg    30.jpg
并指出其中的错误的地方与我探讨。也交流了三地家谱上的比对情况,看后觉得邳州本家的家谱整体上的世袭与我们的家谱还是很吻合的。
%E6%9C%AA%E5%91%BD%E5%90%8D1[1][3].jpg    40.jpg

146

主题

3851

回帖

8万

积分

天使

你我是音符,相逢一首歌

积分
85373
 楼主| 发表于 2010-4-23 19:11:48 | 显示全部楼层
其他照片 21.jpg    5.jpg    4.jpg    3.jpg

146

主题

3851

回帖

8万

积分

天使

你我是音符,相逢一首歌

积分
85373
 楼主| 发表于 2010-4-23 19:13:52 | 显示全部楼层
6.jpg    7.jpg    8.jpg    204_64_7c486acf8b02889.jpg

146

主题

3851

回帖

8万

积分

天使

你我是音符,相逢一首歌

积分
85373
 楼主| 发表于 2010-4-23 19:15:12 | 显示全部楼层
10.jpg    11.jpg    12.jpg    13.jpg

146

主题

3851

回帖

8万

积分

天使

你我是音符,相逢一首歌

积分
85373
 楼主| 发表于 2010-4-23 19:16:37 | 显示全部楼层
14.jpg    15.jpg    17.jpg    18.jpg

146

主题

3851

回帖

8万

积分

天使

你我是音符,相逢一首歌

积分
85373
 楼主| 发表于 2010-4-23 19:17:42 | 显示全部楼层
19.jpg    20.jpg    31.jpg    32.jpg

146

主题

3851

回帖

8万

积分

天使

你我是音符,相逢一首歌

积分
85373
 楼主| 发表于 2010-4-23 19:19:14 | 显示全部楼层
33.jpg    34.jpg    35.jpg    36.jpg
您需要登录后才可以回帖 登录 | 立即注册

本版积分规则

QQ| Archiver|手机版|小黑屋| 汪氏宗亲网

Copyright © 2001-2013 Comsenz Inc.   All Rights Reserved.

Powered by Discuz! X3.5( 皖ICP备2025101776号-1 )

快速回复 返回顶部 返回列表

 34100202000237