查看: 23894|回复: 18

浙江省宁波奉化市松岙镇上汪村 (族谱)

[复制链接]

1

主题

2

回帖

113

积分

侠客

积分
113
QQ
发表于 2010-9-16 08:09:54 | 显示全部楼层 |阅读模式
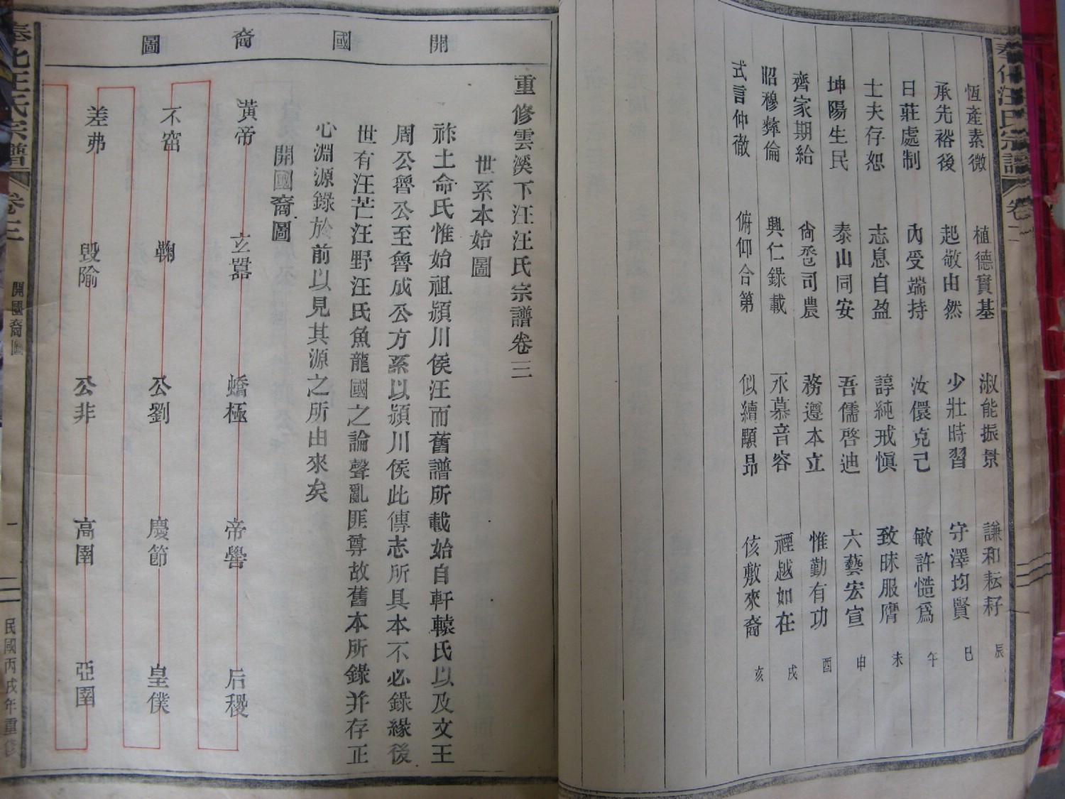
汪氏族谱在我手上,我祖汪成裕99年在上海逝世享年96岁;我父汪正章现年75岁,现居于河北省沧州市,沧州师院教授;我汪闻达现年38岁,沧州市委工作;我子汪玺岫(羞)12岁,小学。
我祖小时候移居上海,我祖还有一姐嫁与皇甫氏,居于奉化。我有三个叔叔现仍居于上海市。分别是 汪伟根 汪跃章  汪德章。只有我父这一支文革期间流落到沧州。现在族谱在我手上,其中还有两份地契。我联系电话18631760207  13483468341。我父电话是0317-2034594。
家谱是我从我祖手中得来,年限不详,我祖原是上汪村的族长。 我祖去世后就葬在浙江省奇山岙(音译)的地方。 距离上汪村10多里。去溪口的路上。
大风起兮尘飞扬

23

主题

402

回帖

1万

积分

光明使者

积分
11306
发表于 2010-9-16 20:24:38 | 显示全部楼层

回 楼主(汪闻达) 的帖子88

本帖最后由 汪建彬 于 2016-9-3 11:38 编辑

88

135

主题

611

回帖

2万

积分

版主

我在想為 何有汪姓群居的所在地

积分
22135
发表于 2010-9-16 21:18:36 | 显示全部楼层

回 楼主(汪闻达) 的帖子

調把族譜用相機分頁拍下,或用掃苗,形成相片擋,發到網上來,保存家譜是寶貴的。祝賀你。
改新版後,很多不方便,例如每次打開家網,就要重新登錄帳號,密碼一次,過去登錄的文章,相片,也很難找,過去家網 上很多朋友,也沒有出現,不知從何找起。我的QQ在手機上,好用得很,在家網上老是說,密碼錯.. ...

76

主题

1684

回帖

5万

积分

天使

天下汪氏一家亲

积分
53899
QQ
发表于 2010-9-16 21:31:02 | 显示全部楼层

回 楼主(汪闻达) 的帖子

能否将45世——75世发到网上
汪明才

24

主题

212

回帖

6908

积分

风云使者

积分
6908
发表于 2010-9-16 21:58:18 | 显示全部楼层
对,我也想知道四明行派究竟是爽公还是建公之后,你们松岙和萧王庙、大雷、大隐汪氏的关系

1

主题

2

回帖

113

积分

侠客

积分
113
QQ
 楼主| 发表于 2010-9-17 08:22:47 | 显示全部楼层
去年上汪村修族谱,我父把复印件寄回上汪村了。中秋节我把族谱用数码相机拍一下发到网上来。
大风起兮尘飞扬

24

主题

212

回帖

6908

积分

风云使者

积分
6908
发表于 2010-10-15 22:17:04 | 显示全部楼层

回 5楼(汪闻达) 的帖子

能放上来了吗?

20

主题

62

回帖

2381

积分

认证会员

我的好评度“-9点”不知从何而来

积分
2381
QQ
发表于 2010-10-25 11:17:06 | 显示全部楼层
IMG_0001.jpg    IMG_0027.jpg    IMG_0033.jpg    IMG_0036.jpg

20

主题

62

回帖

2381

积分

认证会员

我的好评度“-9点”不知从何而来

积分
2381
QQ
发表于 2010-10-25 11:22:58 | 显示全部楼层
IMG_0037.jpg    IMG_0038.jpg    IMG_0039.jpg   [upload=4]

20

主题

62

回帖

2381

积分

认证会员

我的好评度“-9点”不知从何而来

积分
2381
QQ
发表于 2010-10-25 11:24:01 | 显示全部楼层
[upload=1]  [upload=2]  [upload=3]  [upload=4]
您需要登录后才可以回帖 登录 | 立即注册

本版积分规则

QQ| Archiver|手机版|小黑屋| 汪氏宗亲网

Copyright © 2001-2013 Comsenz Inc.   All Rights Reserved.

Powered by Discuz! X3.5( 皖ICP备2025101776号-1 )

快速回复 返回顶部 返回列表

 34100202000237