查看: 23596|回复: 25

黄梅县福荣公后裔字派及世系

[复制链接]

143

主题

2387

回帖

5万

积分

天使

积分
51416
QQ
发表于 2010-11-22 20:26:39 | 显示全部楼层 |阅读模式
黄梅县福荣公后裔字派,该支主要聚居地在下新镇、独山镇、十里铺、县城以及挪步园景区。
字派:
华光日章,克耀家邦;忠厚常兴,声名远扬。

  

第五十八世   
中元    字彦左吏部尚书,生于唐天复元年。
黄氏    生殁葬未详。
生子四  韶  石  京  敬逢

第五十九世   
敬逢    字处士,生于五代天成三年。
张氏    生于天成五年。
生子四  廷祚  廷贵  廷年  廷之

第六十世   
廷之    敬逢公四子,生于宋至道四年。
王氏    生于显德五年五月。
生子四  惟厚  惟瞻  惟庆  惟谨

第六十一世   
惟厚    廷公长子,生于宋祥符二年。
柳氏    生殁葬未详。
生子三  原凤  原瑞  汝平
六十二世   
原凤    惟厚公长子。
袁氏    生殁葬未详。
生子八  绍  绒  ?  缋  球  绰  纬  ?
六十三世
绒公    原凤公次子,生于宋元丰七年,博通春秋。
周氏    生殁葬未详。
生子三  敦礼  敦旦  敦诗
第六十四世  
敦诗    绒公三子字明德,生于宋宣和元年,为时处士。
花氏    生殁葬未详。
生子二  灿  向

第六十五世
  
向公    敦诗公次子,生殁葬未详。
马氏    生殁葬未详。
生子二  传  寿
第六十六世   
传公    字行九,向公长子。
尹氏    生殁葬未详。
生子三  范  怡  锋
第六十七世   
锋公    传公三子,生于宋嘉泰元年,迁江西广信府弋阳县。
吴氏    生殁葬未详。
生子一  太四
第六十八世   
太四    生于绍定五年,富过乡邑,复回婺源大坂。
马氏    生殁葬未详。
生子三  云四  云六  云十

第六十九世   
云十    太四公三子字升,生于景定六年,任旌德教授
高氏    生殁葬未详。
生子二  兴十  兴四
第七十世  
兴十    字寿仁,由婺源大坂迁江西湖口凤岭。
郑氏    殁同葬毛家凹。
梅氏    生于元中统四年,殁葬牛头山西。
生子二  成一  成二
第七十一世
成二    兴十公次子字德诚,生于元天历七年
郑氏    殁葬神塘凹。
生子四  美一  美二  美三  美四
董氏    殁葬十方岭。
美一迁坚山,美三居坝桥乌龟墩坚山,美四迁星子
第七十二世
美二    成二公次子字美仁。
付氏    与夫同葬凤山岭南月德山戌山辰向。
生子三  福禄   福荣  福山  

福三仍居湖口。福荣和福禄同由湖口凤山岭迁江北宿松县砍刀门,荣公子觉号铁笔居士,自宿松徙黄梅上沿镇汪家革,明进士兵部尚书,苏辽总督,静风公是其后也
天生我才必有用

143

主题

2387

回帖

5万

积分

天使

积分
51416
QQ
 楼主| 发表于 2010-11-22 20:29:04 | 显示全部楼层
黄梅名人:

汪可受(1559-1620)一名汪静峰,字以虚,号以峰。湖北黄梅独山汪革人。万历八明进士,初任淅江金华令,旋升礼部主事,后历任员外郎、郎中,江西吉安知府,山西提学副使,江西右参政,山东霸州兵备道,山东按察使,顺天府尹,大同巡抚,兵部侍郎等职。总督蓟、辽宁、保定等处。万历四十七年(1619)因病辞职告老还乡。万历四十八年(1620)冬在紫云山挪步园病逝,享年六十一岁。赠兵部尚书,旌表为“天下清廉第一”。葬于张林镇茅栗山。汪可受在任四十年以守操自律称闻。万历二十年(1592年)知吉安时,修白鹭州书院;万厉三十七年(1609年)任陕西布政使时,于宝庆寺高“联镳会讲”,诣会听讲者众,改寺东“小悉园”为关中书院;,万历三十八年(1610)祭拜恩师李贽,立《卓吾老子碑》树碑。并作墓碑记。后人为纪念汪可受于挪步园内建有可受祠。
天生我才必有用

143

主题

2387

回帖

5万

积分

天使

积分
51416
QQ
 楼主| 发表于 2010-11-22 20:33:36 | 显示全部楼层
现果随录
                  汪司马鱼顶金经镂板传世

        楚黄梅汪静峰居士。讳可受。官大司马。长斋事佛。偶舟次江浔。日色将晚。忽见万鱼顶一木匣浮水面。公命舟人捷起。置于船头。一夜蹴踏有声。似有天人朝谒。心甚异之。早起劈开木匣。乃一部篆文金刚经也。三十二分。每分各篆文一种。公立请书家汪公度摹勒刊板。自作序流通。以系龙宫物也。仍焚香顶礼奉还江流。至今刻本流传于世焉。
天生我才必有用

143

主题

2387

回帖

5万

积分

天使

积分
51416
QQ
 楼主| 发表于 2010-11-22 20:55:51 | 显示全部楼层
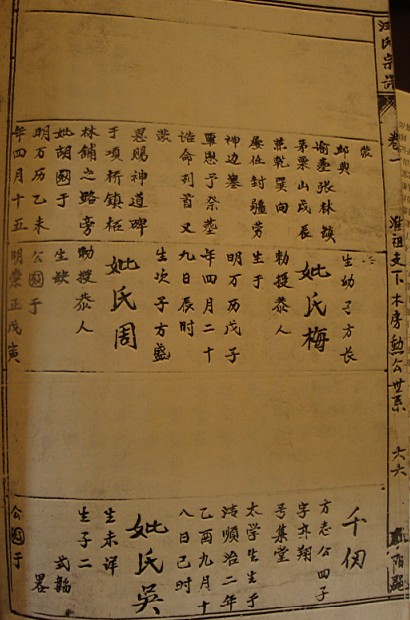
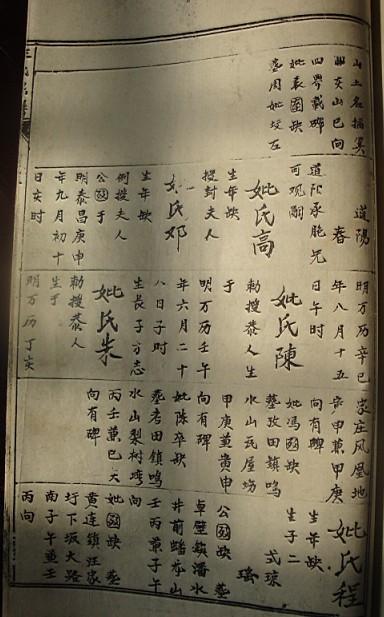
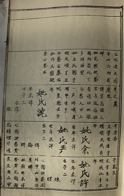
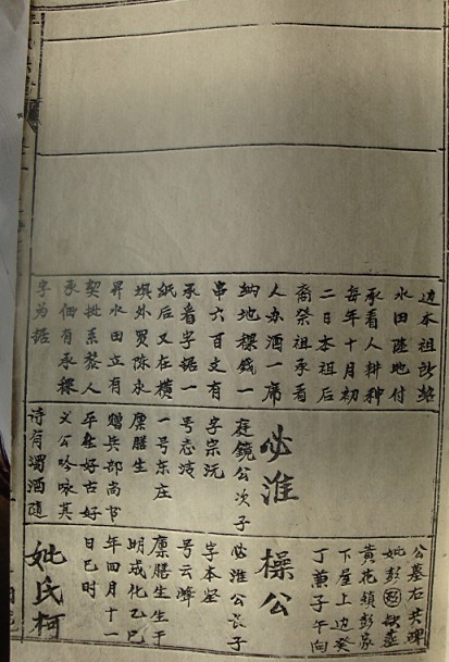
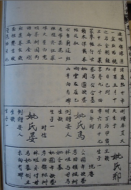
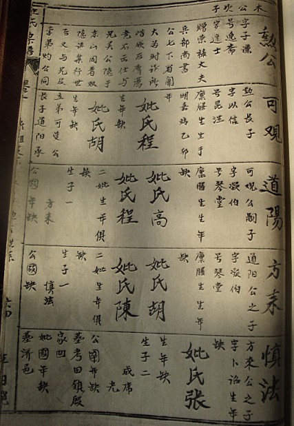
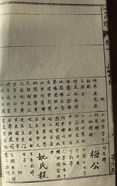
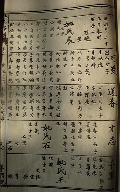
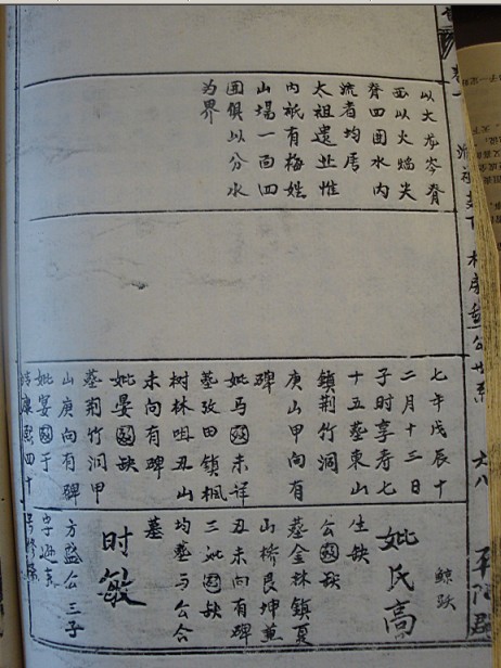
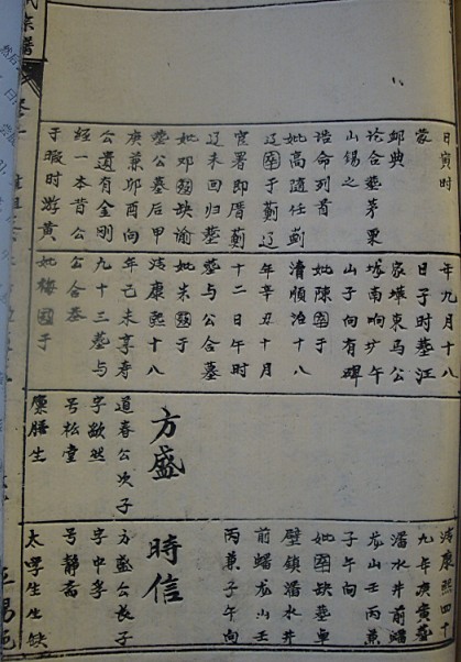
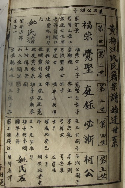
福荣公以下世系
1.jpg
2.jpg
3.jpg
4.jpg
天生我才必有用

143

主题

2387

回帖

5万

积分

天使

积分
51416
QQ
 楼主| 发表于 2010-11-22 20:56:44 | 显示全部楼层
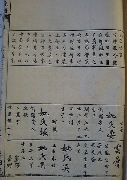
福荣公以下世系
5.jpg
6.jpg
7.jpg
8.jpg
天生我才必有用

143

主题

2387

回帖

5万

积分

天使

积分
51416
QQ
 楼主| 发表于 2010-11-22 20:57:53 | 显示全部楼层
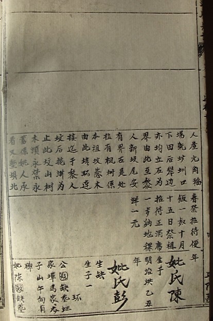
福荣公以下世系
9.jpg
10.jpg
11.jpg
12.jpg
天生我才必有用

143

主题

2387

回帖

5万

积分

天使

积分
51416
QQ
 楼主| 发表于 2010-11-22 20:58:41 | 显示全部楼层
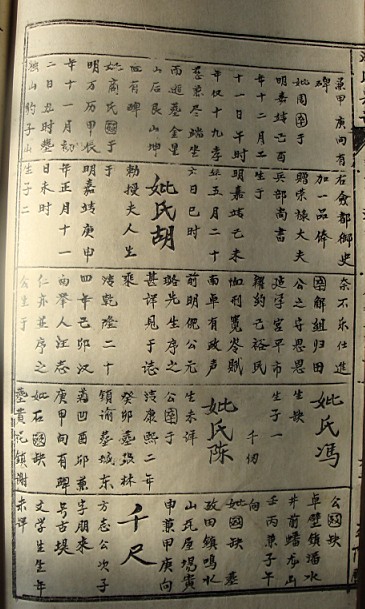
福荣公以下世系
13.jpg
14.jpg
15.jpg
16.jpg
天生我才必有用

143

主题

2387

回帖

5万

积分

天使

积分
51416
QQ
 楼主| 发表于 2010-11-22 20:59:30 | 显示全部楼层
福荣公以下世系
17.jpg
18.jpg
19.jpg
20.jpg
天生我才必有用

143

主题

2387

回帖

5万

积分

天使

积分
51416
QQ
 楼主| 发表于 2010-11-22 21:00:31 | 显示全部楼层
福荣公以下世系
21.jpg
22.jpg
23.jpg
24.jpg
天生我才必有用

143

主题

2387

回帖

5万

积分

天使

积分
51416
QQ
 楼主| 发表于 2010-11-22 21:01:51 | 显示全部楼层
福荣公以下世系
25.jpg
26.jpg
27.jpg
28.jpg
天生我才必有用
您需要登录后才可以回帖 登录 | 立即注册

本版积分规则

QQ| Archiver|手机版|小黑屋| 汪氏宗亲网

Copyright © 2001-2013 Comsenz Inc.   All Rights Reserved.

Powered by Discuz! X3.5( 皖ICP备2025101776号-1 )

快速回复 返回顶部 返回列表

 34100202000237