楼主: 祝明

昨天在绩溪大庙汪村本家家里拍的族谱与大家共享

[复制链接]

251

主题

3515

回帖

114751万

积分

超级版主

探究汪氏源流,学习汪氏文化。

积分
1147514344
发表于 2006-7-27 22:26:07 | 显示全部楼层
这是在大庙汪村照复印本拍的,据说有六本,主人身边只有两本,土族可去找村书记联系一下,都是本家。
七律·喜看女孙 屯蒙辑别步尘阶,双眸晶明神度谐。
一气混元观世界,万般依赖就娘怀。
饥啼不解人间苦,梦笑惟呈弱体乖。
年老莫愁无乐趣,含饴笑弄女孙崽。

8

主题

81

回帖

1万

积分

认证会员

积分
11029
发表于 2006-8-2 09:57:47 | 显示全部楼层
这类资料对于研究汪氏的起源和发展有重要作用,也利于汪氏后人了解和学习先人,在阅历祖先治民管家的趣味轶事中受到启迪,或有所感悟,或有所崇敬,或有所心得......

0

主题

2

回帖

9820

积分

风云使者

积分
9820
发表于 2006-9-16 17:47:07 | 显示全部楼层
有人知道,绩溪杨溪的汪氏来源吗?

2

主题

122

回帖

1万

积分

认证会员

积分
11385
发表于 2006-11-8 21:27:37 | 显示全部楼层
非常感谢!

184

主题

1854

回帖

4万

积分

新手上路

我给自己取字慈言,号白石山人。

积分
42615
QQ
发表于 2007-4-12 22:10:11 | 显示全部楼层
大庙汪村是越国公出生地,道兴公守王墓会在那里留有后人吗?有看到过是九子献公后啊? [s:1]

174

主题

1214

回帖

3万

积分

超级版主

建公支下绩北坦头“世承堂”汪氏

积分
32646
发表于 2007-7-4 15:30:04 | 显示全部楼层
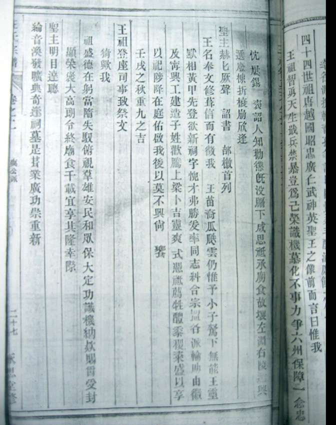
汪氏宗谱第二卷

这次浙江宗亲联谊会中,爽公-道谋公后94世裔孙汪在安先生提供的大概是宗谱的第二卷部份,如下:

这次浙江宗亲联谊会中,爽公-道谋公后94世裔孙汪在安先生提供的大概是宗谱的第二卷部份,如下:
照片 179.jpg
照片 188.jpg
照片 178.jpg

174

主题

1214

回帖

3万

积分

超级版主

建公支下绩北坦头“世承堂”汪氏

积分
32646
发表于 2007-7-4 15:36:50 | 显示全部楼层
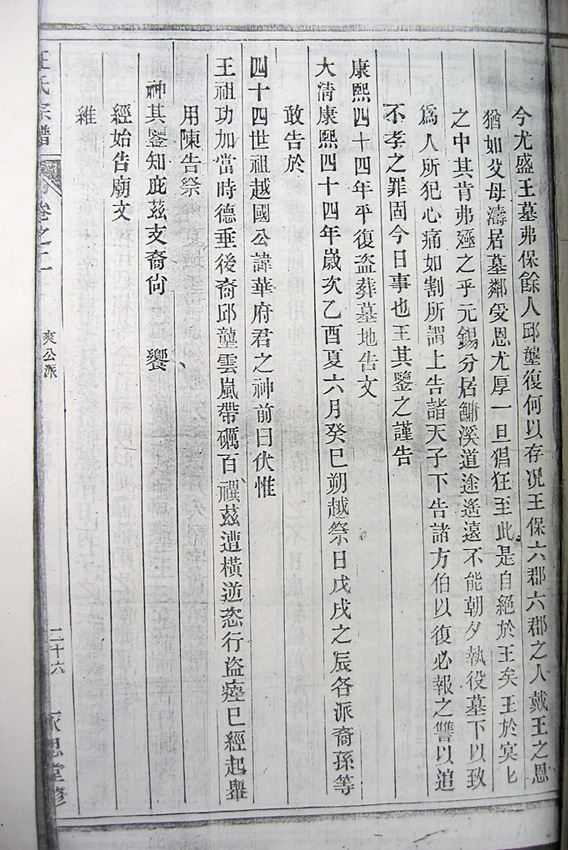
汪氏宗谱第二卷
照片 189.jpg
照片 190.jpg
照片 191.jpg
照片 192.jpg

174

主题

1214

回帖

3万

积分

超级版主

建公支下绩北坦头“世承堂”汪氏

积分
32646
发表于 2007-7-4 15:41:55 | 显示全部楼层
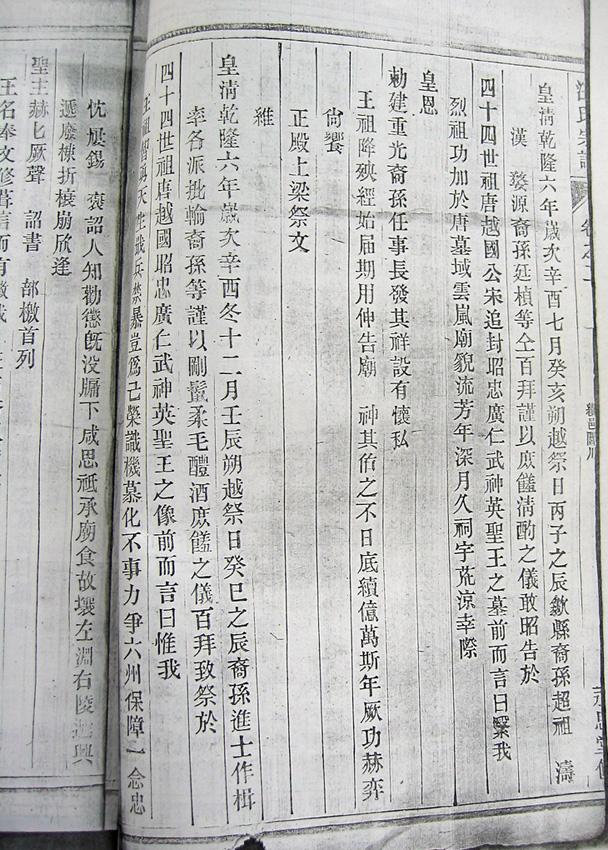
汪氏宗谱第二卷
照片 193.jpg
照片 194.jpg
照片 195.jpg
照片 196.jpg

174

主题

1214

回帖

3万

积分

超级版主

建公支下绩北坦头“世承堂”汪氏

积分
32646
发表于 2007-7-4 15:48:06 | 显示全部楼层
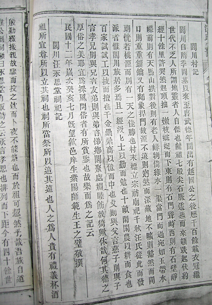
汪氏宗谱二卷部份
照片 197.jpg
照片 198.jpg
照片 199.jpg
照片 200.jpg

184

主题

1854

回帖

4万

积分

新手上路

我给自己取字慈言,号白石山人。

积分
42615
QQ
发表于 2007-7-4 21:57:29 | 显示全部楼层
绩溪大庙汪村宗谱上华公的像上曰:十字王像.
我们村的越国公像上写着是八字王像.十字王和八字王是什么意思?是追封的次数?是不是在画像的时候追封了八次叫八字王,画像时追封了十次就叫十字王啊?有哪位高人解释下!谢谢!
您需要登录后才可以回帖 登录 | 立即注册

本版积分规则

QQ| Archiver|手机版|小黑屋| 汪氏宗亲网

Copyright © 2001-2013 Comsenz Inc.   All Rights Reserved.

Powered by Discuz! X3.5( 皖ICP备2025101776号-1 )

快速回复 返回顶部 返回列表

 34100202000237