查看: 16873|回复: 14

绩溪余川支谱汪氏迁徙资料

[复制链接]

23

主题

186

回帖

1万

积分

新手上路

汪华故乡——山川优美、民风古朴

积分
14043
发表于 2011-5-30 09:42:05 | 显示全部楼层 |阅读模式
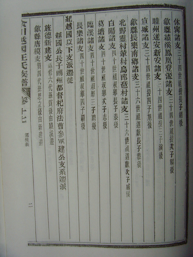
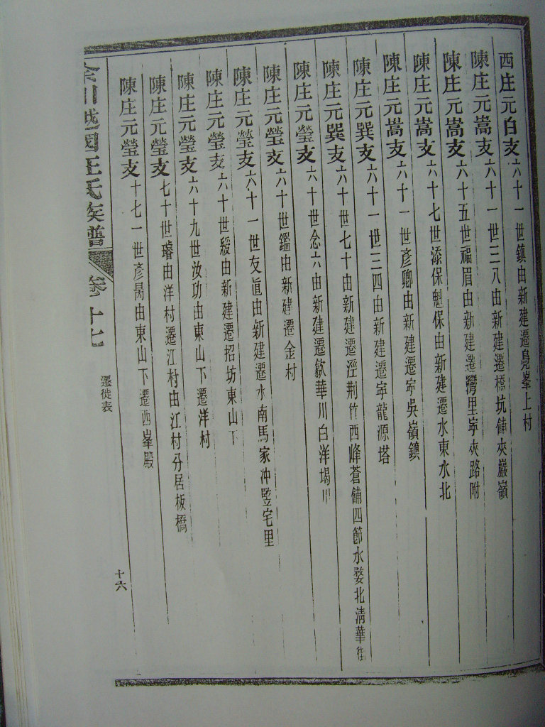
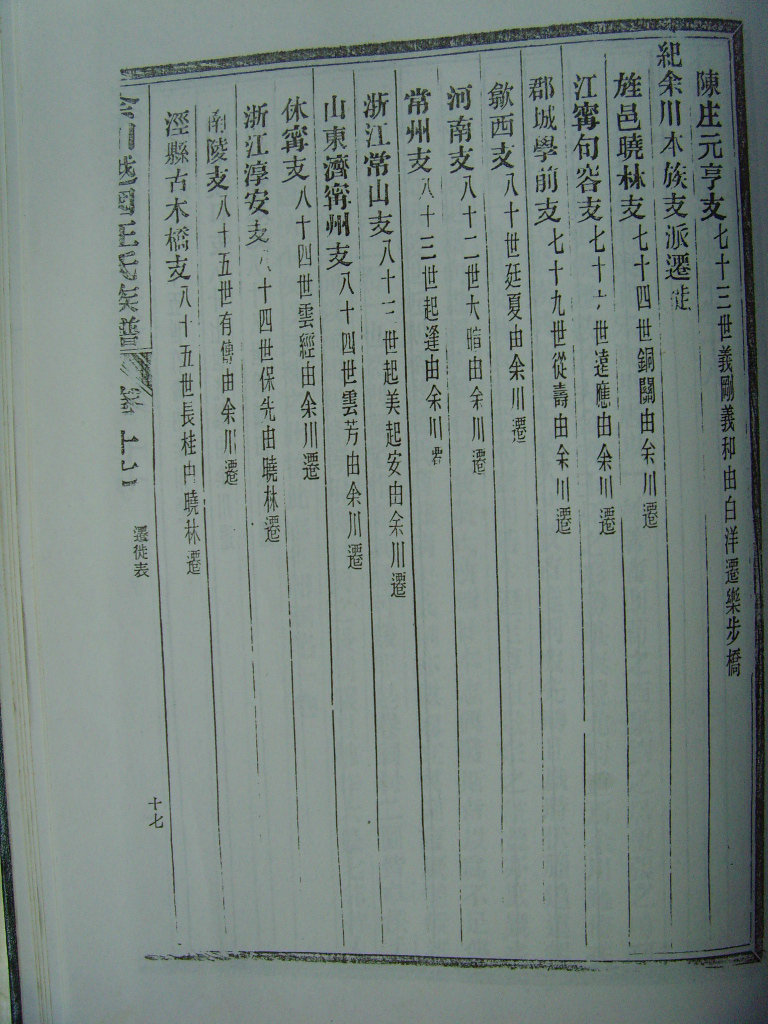
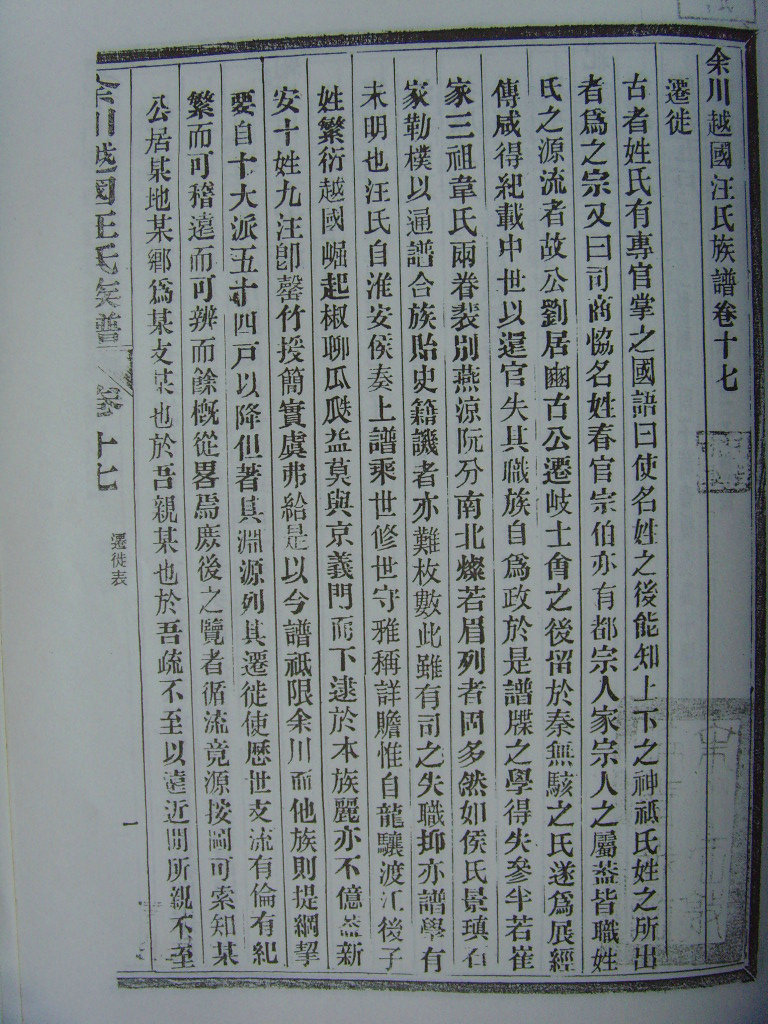
现将“绩溪八都余川支谱汪氏迁徙资料”发上网,供宗亲参考。
绩溪余川支谱汪氏迁徙资料1 .JPG
绩溪余川支谱汪氏迁徙资料1 (1).JPG
绩溪余川支谱汪氏迁徙资料1 (2).JPG
绩溪余川支谱汪氏迁徙资料1 (3).JPG
45世俊公之后嗣,93世。QQ:414679244;手机:13359091897

23

主题

186

回帖

1万

积分

新手上路

汪华故乡——山川优美、民风古朴

积分
14043
 楼主| 发表于 2011-5-30 09:47:13 | 显示全部楼层
绩溪余川支谱汪氏迁徙资料
绩溪余川支谱汪氏迁徙资料1 (4).JPG
绩溪余川支谱汪氏迁徙资料1 (5).JPG
绩溪余川支谱汪氏迁徙资料1 (6).JPG
绩溪余川支谱汪氏迁徙资料1 (7).JPG
45世俊公之后嗣,93世。QQ:414679244;手机:13359091897

23

主题

186

回帖

1万

积分

新手上路

汪华故乡——山川优美、民风古朴

积分
14043
 楼主| 发表于 2011-5-30 09:48:55 | 显示全部楼层
绩溪余川支谱汪氏迁徙资料
绩溪余川支谱汪氏迁徙资料1 (8).JPG
绩溪余川支谱汪氏迁徙资料1 (9).JPG
绩溪余川支谱汪氏迁徙资料1 (10).JPG
绩溪余川支谱汪氏迁徙资料1 (11).JPG
45世俊公之后嗣,93世。QQ:414679244;手机:13359091897

23

主题

186

回帖

1万

积分

新手上路

汪华故乡——山川优美、民风古朴

积分
14043
 楼主| 发表于 2011-5-30 09:50:17 | 显示全部楼层
绩溪余川支谱汪氏迁徙资料
绩溪余川支谱汪氏迁徙资料1 (12).JPG
绩溪余川支谱汪氏迁徙资料1 (13).JPG
绩溪余川支谱汪氏迁徙资料1 (14).JPG
绩溪余川支谱汪氏迁徙资料1 (15).JPG
45世俊公之后嗣,93世。QQ:414679244;手机:13359091897

23

主题

186

回帖

1万

积分

新手上路

汪华故乡——山川优美、民风古朴

积分
14043
 楼主| 发表于 2011-5-30 09:52:17 | 显示全部楼层
绩溪余川支谱汪氏迁徙资料
绩溪余川支谱汪氏迁徙资料1 (16).JPG
绩溪余川支谱汪氏迁徙资料1 (17).JPG
绩溪余川支谱汪氏迁徙资料1 (18).JPG
绩溪余川支谱汪氏迁徙资料2.JPG
45世俊公之后嗣,93世。QQ:414679244;手机:13359091897

23

主题

186

回帖

1万

积分

新手上路

汪华故乡——山川优美、民风古朴

积分
14043
 楼主| 发表于 2011-5-30 09:53:33 | 显示全部楼层
绩溪余川支谱汪氏迁徙资料
绩溪余川支谱汪氏迁徙资料2 (1).JPG
绩溪余川支谱汪氏迁徙资料2 (2).JPG
绩溪余川支谱汪氏迁徙资料2 (3).JPG
绩溪余川支谱汪氏迁徙资料2 (4).JPG
45世俊公之后嗣,93世。QQ:414679244;手机:13359091897

23

主题

186

回帖

1万

积分

新手上路

汪华故乡——山川优美、民风古朴

积分
14043
 楼主| 发表于 2011-5-30 09:54:44 | 显示全部楼层
绩溪余川支谱汪氏迁徙资料
绩溪余川支谱汪氏迁徙资料2 (5).JPG
绩溪余川支谱汪氏迁徙资料2 (6).JPG
绩溪余川支谱汪氏迁徙资料2 (7).JPG
绩溪余川支谱汪氏迁徙资料2 (8).JPG
45世俊公之后嗣,93世。QQ:414679244;手机:13359091897

23

主题

186

回帖

1万

积分

新手上路

汪华故乡——山川优美、民风古朴

积分
14043
 楼主| 发表于 2011-5-30 09:55:54 | 显示全部楼层
绩溪余川支谱汪氏迁徙资料
绩溪余川支谱汪氏迁徙资料2 (9).JPG
绩溪余川支谱汪氏迁徙资料2 (10).JPG
绩溪余川支谱汪氏迁徙资料2 (11).JPG
绩溪余川支谱汪氏迁徙资料2 (12).JPG
45世俊公之后嗣,93世。QQ:414679244;手机:13359091897

23

主题

186

回帖

1万

积分

新手上路

汪华故乡——山川优美、民风古朴

积分
14043
 楼主| 发表于 2011-5-30 09:56:40 | 显示全部楼层
绩溪余川支谱汪氏迁徙资料
绩溪余川支谱汪氏迁徙资料2 (13).JPG
绩溪余川支谱汪氏迁徙资料2 (14).JPG
45世俊公之后嗣,93世。QQ:414679244;手机:13359091897

364

主题

4334

回帖

14万

积分

天使

齐鲁_达成(来自汪氏发详地一山

积分
144710
QQ
发表于 2011-6-1 18:04:53 | 显示全部楼层
珍贵史料,对寻根问祖、研究迁徙很有价值。学习了。
您需要登录后才可以回帖 登录 | 立即注册

本版积分规则

QQ| Archiver|手机版|小黑屋| 汪氏宗亲网

Copyright © 2001-2013 Comsenz Inc.   All Rights Reserved.

Powered by Discuz! X3.5( 皖ICP备2025101776号-1 )

快速回复 返回顶部 返回列表

 34100202000237