查看: 41622|回复: 37

乐平汪氏朔源

[复制链接]

63

主题

226

回帖

8938

积分

版主

http://wanghylp.blog.163.com/

积分
8938
发表于 2011-9-1 20:53:30 | 显示全部楼层 |阅读模式
资料承上不分先后,先传先上。



以下资料如有错误,希望各位本家指证,在下多谢了!
云冰

63

主题

226

回帖

8938

积分

版主

http://wanghylp.blog.163.com/

积分
8938
 楼主| 发表于 2011-9-1 20:54:09 | 显示全部楼层
乐平里汪村:
唐封越国三千户  宋时平阳第一家埠村华公衍庆平阳郡 叔至迁移埂上村
    越国汪六十八世叔至公由婺西凤亭里始迁乐平三溪市埂上村(即今日乐港镇里汪村)。  
    历经30余代沧桑,繁衍至今已有700多年的历史,现已迁居乐平塘美、杨梅洲、高脚庙、冷水村、万年塘湖滩上、后社龙虎埂、波阳庙湾马埠村等。
    居住分东西两边,东边为富二公繁衍,含八房、贯公、十八家、新屋下、后股五房。西边为富三公繁衍,含前房、后房两房。以1958年大跃进时期,人民公社办的六个食堂规模划分,衍袭至今分为六个村民小组。
    始祖道安公长子源公支,始迁祖恩公,字天泽,一子新,新子罗,罗生四子----文赞,文焕,文海,文忠,文赞子继宁,宁生三子,仪凤,延岳,怀善,善生二子,沔,矩,沔生四子,叔夏,居凤砂,叔介.叔至[迁乐平里汪]叔衡,迁江头.

25_4_658fcd36c263b4a.jpg
资料全后,有待更新
云冰

63

主题

226

回帖

8938

积分

版主

http://wanghylp.blog.163.com/

积分
8938
 楼主| 发表于 2011-9-1 20:55:30 | 显示全部楼层
乐平儒林汪家:
北宋徽宗崇宁四年(公元1105年),原六十八世祖汪路从婺源石田出任乐平知县,此后历次修谱,以汪路公为始祖。
儒林汪氏在乐平已有900年的历史,经历了三十多世。


儒林汪家:婺源始祖道安公五世孙知古公后裔,世雄公生三子;知古,知及,十四,十四公无后,知古公官至押衙大夫,唐金吾将军,出入禁中,正三品,娶余氏,合葬五镇,生一子名仔公,与凤砂始祖恩公父为同胞兄弟!
[tr][td=1,1,3%]56世
57世
58世
59世
60世
                     生               平               考               略                  
道安    师全公长子,字元振,亦字成泰。生于唐文宗大和元年丁未(827),唐宣宗大中元年丁卯(847,公二十一),刺史于德海奏补充衙前兵马使,差充婺源镇都虞侯,总戎镇婺源。自歙县慈菰迁居婺源,为婺源始祖,续修宗谱。妣吴氏,生子三 ── 。懿宗咸通四年癸未(863)疾卒,享年三十七,葬婺源之北武口山下。婺民怀其保镇之恩,立庙于武口思溪,世称彭王庙,誉武口大王,永享年祭,有求即应。宋追封八字平阳王,后又追封威忠德仁圣英烈王。     道安公长子,字深叟,号愿公,随父总戎婺源,始居还珠里乌水源。妣X氏,生子四 ── ,公葬五镇大田寺畔。其后裔散徙于浮溪、宣城、弋阳、潜山、池州、庐江、凤阳、宁国、太平、休宁、绩溪等地。宋有翰林学士汪藻,元有礼部尚书汪泽民,明有参政凤翰林学士汪俊、国子祭酒汪伟、编修汪佃。簪缨世济皆其后裔。      源公四子,亦名士强,字健行,仕建昌府滤溪县左堂,享年八十二。生子三 ── 世雄、世杰、世度,其中次子世杰出祧二兄惠为嗣。公妣同葬绩溪大障山下。   世雄    強公长子,仕某衙副使,生子三 ── 知古知及、知殷。他项不详。    知古        世雄公长子,字彦博官至押衙大夫、金吾将军,出入禁中,正三品。娶余氏,合葬浯镇,生子四 ── 大功子大)、子功)、十四)、郁  十五)。 (大功支下67世有汪洋汪应辰子功支下68世有汪藻、74世有汪泽民、75世有汪广洋
资料全后,有待更新
云冰

63

主题

226

回帖

8938

积分

版主

http://wanghylp.blog.163.com/

积分
8938
 楼主| 发表于 2011-9-1 21:14:21 | 显示全部楼层
乐平港口村:

港口村: 港口村又名三溪村因村前乐安河中有大小两个河心洲将河水一分为三,故名三溪村清末民国初期因村前码头非常繁忙俨然一派港口形象故改名为港口村,村子东邻乐安河,南毗里汪村,北靠张家桥村,西袁家村,塔瑞村接壤。全村姓汪属越国公之后道塔,道冲公之后代,现有住户《不包含迁往黄伯畈的130户,迁往王家山的67户,迁汪湖北麻城的汪家村1145户和迁入乐平市区的435户等等,》698户,3421人其中男劳力825人女劳力675人。
云冰

63

主题

226

回帖

8938

积分

版主

http://wanghylp.blog.163.com/

积分
8938
 楼主| 发表于 2011-9-2 07:39:42 | 显示全部楼层
乐平湖塘村:
乐平市后港镇湖塘村:属婺西凤亭里恩公支..........




资料有待完善
云冰

63

主题

226

回帖

8938

积分

版主

http://wanghylp.blog.163.com/

积分
8938
 楼主| 发表于 2011-9-2 07:40:31 | 显示全部楼层
乐平庄泉村:
云冰

46

主题

937

回帖

1万

积分

认证会员

找宗亲,汪金寿,字文枢,光绪12年

积分
18720
QQ
发表于 2011-9-2 07:46:16 | 显示全部楼层
以前曾在网上纠正过[浙源凤亭里]之说;和云应改为[婺西凤亭里],今年二月,我婺西凤亭里[凤砂]即今黄砂编续宗镨会曾驱车去三溪埂上村,即里汪,并会见汪水欣宗亲,解决了2008年五人曾去安徽,婺源等处寻根问祖未果之惑,其实是;婺源始祖道安公五世孙知古,知及,古支迁乐平儒林汪,及迁浙源孝悌里,生三子,恩,思,息,恩迁婺西凤亭里[今黄砂附近]殁葬本里韩村,现遗冢尤在,4月乐平湖塘边老年协会会长也耒我凤砂,并赴始迁祖恩公葬地拜谒,思迁浮邑小游山,息迁景德镇昌江野狐桥汪村,鄱阳湖田支即息公后裔望诸宗亲改正!

46

主题

937

回帖

1万

积分

认证会员

找宗亲,汪金寿,字文枢,光绪12年

积分
18720
QQ
发表于 2011-9-2 08:00:11 | 显示全部楼层
叔夏迁凤砂,即今我黄砂[属婺西珍珠山乡]叔介迁板潭,今黄砂村边,离村约100米,叔至迁三溪,叔衡迁江头,即今黄砂村河对面约300米,离板潭约100米,后板潭叔介支茂四公迁弋阳,即汪东兴家乡,只因明代弋阳汪氏耒婺寻宗未果,后接道安公次子端公后,此谱上注明甚详!

63

主题

226

回帖

8938

积分

版主

http://wanghylp.blog.163.com/

积分
8938
 楼主| 发表于 2011-9-2 12:48:28 | 显示全部楼层
乐平接渡潘村
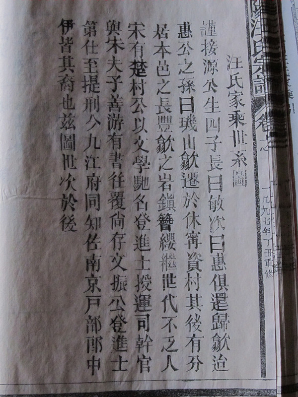
属道安公子源的次子惠的后代

世雄-知古-子公-景-高-济-宝-惟一-叔亮-道亨-璧十一-聪三-蔓五------
云冰

63

主题

226

回帖

8938

积分

版主

http://wanghylp.blog.163.com/

积分
8938
 楼主| 发表于 2012-4-22 20:46:53 | 显示全部楼层
乐平砺石汪家属道安公子源的次子惠的后代

img_1144_副本.jpg    img_1147_副本.jpg    img_1157_副本.jpg
云冰
您需要登录后才可以回帖 登录 | 立即注册

本版积分规则

QQ| Archiver|手机版|小黑屋| 汪氏宗亲网

Copyright © 2001-2013 Comsenz Inc.   All Rights Reserved.

Powered by Discuz! X3.5( 皖ICP备2025101776号-1 )

快速回复 返回顶部 返回列表

 34100202000237