查看: 6545|回复: 2

麻城中和里“文英堂”汪氏

[复制链接]

143

主题

2387

回帖

5万

积分

天使

积分
51416
QQ
发表于 2011-9-3 10:16:12 | 显示全部楼层 |阅读模式
麻城中和里“文英堂”汪氏,隆五公后裔。字辈:“东鲁开昌运,诗书继绪长,光辉承美大,谟烈绍周纲。”

清或民国《汪氏族谱》两种---同一宗族不同时期编修;
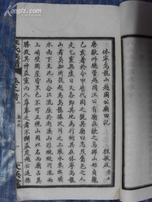
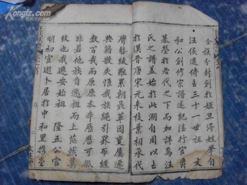
(一)活字木刻本两本---存卷首上:(序、祖贤像赞9幅、朱熹名人题赞、诰敕、传略等),卷首下:(传、祠庙宅墓图、一世祖至明初传70世派系等);
(二)《汪氏族谱》12本疑为石印本(较少见),存卷首2、卷首3、卷首4;世系卷3、卷5、卷7、卷7--14.
卷首2(序、徽州谱序、诰敕等文字谱,内容丰富),
卷首3(诰封、条约、祀田绩记、山田、宅墓图等),
卷首4(传、总系等)
该谱传世近百代均有记载,后世遍及徽州(安徽)、江西、湖北等地。
1.jpg
2.jpg
3.jpg
4.jpg
天生我才必有用

143

主题

2387

回帖

5万

积分

天使

积分
51416
QQ
 楼主| 发表于 2011-9-3 11:15:53 | 显示全部楼层
麻城中和里“文英堂”汪氏,隆五公后裔。字辈:“东鲁开昌运,诗书继绪长,光辉承美大,谟烈绍周纲。”
5.jpg
6.jpg
7.jpg
8.jpg
天生我才必有用

90

主题

319

回帖

1万

积分

光明使者

哪位本家是清初湖广填川时汪真树

积分
11440
发表于 2012-6-9 19:40:04 | 显示全部楼层
本家请继续
您需要登录后才可以回帖 登录 | 立即注册

本版积分规则

QQ| Archiver|手机版|小黑屋| 汪氏宗亲网

Copyright © 2001-2013 Comsenz Inc.   All Rights Reserved.

Powered by Discuz! X3.5( 皖ICP备2025101776号-1 )

快速回复 返回顶部 返回列表

 34100202000237