查看: 14734|回复: 10

乙未版汪氏通宗谱序

[复制链接]

58

主题

135

回帖

5641

积分

风云使者

积分
5641
发表于 2012-1-24 17:13:49 | 显示全部楼层 |阅读模式
本帖最后由 汪高山兵官 于 2015-10-15 14:20 编辑

乙未版汪氏通宗谱序

1.jpg

619

主题

5182

回帖

11万

积分

超级版主

积分
113127
发表于 2012-1-24 19:23:48 | 显示全部楼层
重修汪氏族谱序
汪达梧  提供

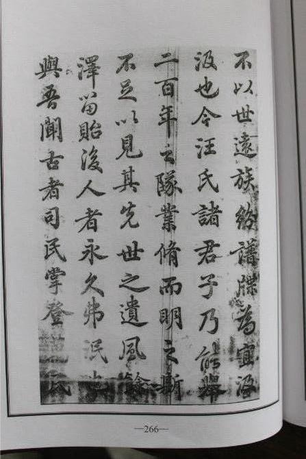
徽,吾故土也。其为州,僻在东南万山之陬。民俗敦慤,有邃古风。生其间者,系姓别生,各以其族庙之设、谱系之严,视他方为最。而有唐越国忠烈汪公之族, 子姓雲仍,散处一州,六邑之中及徙而之各郡者, 又视他姓为盛.。按汪氏世谱,其先盖别自東鲁,衍于龍骧,至越国而滋大。由越国至今,四十余世,如瓜斯瓞,如树斯條,名人钜公,项背相望,虽吳之陆顾,唐之崔盧,未有以比。说者谓当隋之季,土宇崩解,豪杰競争,于时割郡据州、盗袭名号者,未可胜记。而越国以一时之儁,当百姓之推,依乡井为保聚。卒与其弟开国,同归籍于唐。俾此州之人,靡金革死亡之伤,州家离破之苦,遗爱在民,垂庸于国。宜其后嗣繁昌,愈远弥炽,而不知其渊源于先世者,已光远而自他有耀也。贞观中,越国嘗其家状于朝,汪氏之谱由兹昉。越五季,宋元以逮故明,至春坊而纂其成;至南渠而集其统,所谓隆庆谱者是也。自时厥后,嗣音阒如。一百年来,文残献缺。今天子御宇之初,爰有流裔,开局吳中,增修旧牍,多失漏溢,未允众心,諊议嚣然,其业寻辍。合族之谋,以属之休宁孚远,州佐孚远老矣,力復竭蹶迟回。二十年前,乃命其四子玉衡,邀族人之讲宗盟者相与是,正譌谬以蒇厥亊,族大支繁,不妄增益,其人自厘定者,量为续入,余悉仍其旧刻。书成,请叙于余。呜呼,余家自迁江都六世矣。旧乡闾墓,岂不夙夜。曩以公亊,至州往还,未能久留。比荷制府高相国,奏攝府篆簿书之暇,稍稍得与族之父老子弟燕见,未嘗不以世远族纷,谱牒为宜汲汲也。今汪氏诸君子,乃能举二百年之墜业,修而明之,斯不足以见其先世之遗风余泽,留贻后人者,永久弗泯也与。吾闻古者司民,掌登万民之数,自生齿以上,皆书于版,司商为之协。其所赐之族,与所受之氏,而宗族系民,则其法著于太宰之九两。然则类族居方、教民敦睦,固守斯土者,所有亊也。乃不辞而为之序。   

                                                                                                             乾隆四十年岁次乙未孟冬月署知徽州府事  
                                                           加三级纪录十七次江恂顿首拜撰(蓋章)

试对江恂写的序标点,其中看不清的字,用方框代之,烦请老先生据原文予以补齐,如有错点,亦请一并改正.谢谢.
夕阳无限好,七十古来稀

166

主题

4153

回帖

10万

积分

天使

九十三世金寨之汪

积分
104337
QQ
发表于 2012-1-25 05:22:16 | 显示全部楼层
本帖最后由 汪高山兵官 于 2015-10-15 14:20 编辑

n20.jpg    m1.jpg    m2.jpg    m3.jpg

金寨汪讳铁佛公后裔汪氏93世

166

主题

4153

回帖

10万

积分

天使

九十三世金寨之汪

积分
104337
QQ
发表于 2012-1-25 05:23:47 | 显示全部楼层
本帖最后由 汪高山兵官 于 2015-10-15 14:20 编辑

m4.jpg    m5.jpg    吧.jpg m7.jpg

金寨汪讳铁佛公后裔汪氏93世

166

主题

4153

回帖

10万

积分

天使

九十三世金寨之汪

积分
104337
QQ
发表于 2012-1-25 05:25:16 | 显示全部楼层
本帖最后由 汪高山兵官 于 2015-10-15 14:21 编辑

173_23553_f7822b4c3230913.jpg m8.jpg    m9.jpg    n2.jpg    n3.jpg

金寨汪讳铁佛公后裔汪氏93世

166

主题

4153

回帖

10万

积分

天使

九十三世金寨之汪

积分
104337
QQ
发表于 2012-1-25 05:27:16 | 显示全部楼层
本帖最后由 汪高山兵官 于 2015-10-15 14:21 编辑

n4.jpg    n5.jpg    n6.jpg    n7.jpg

金寨汪讳铁佛公后裔汪氏93世

166

主题

4153

回帖

10万

积分

天使

九十三世金寨之汪

积分
104337
QQ
发表于 2012-1-25 05:29:37 | 显示全部楼层
本帖最后由 汪高山兵官 于 2015-10-15 14:21 编辑

n10.jpg    n11.jpg    n12.jpg    n13.jpg    n14.jpg    n15.jpg

金寨汪讳铁佛公后裔汪氏93世

619

主题

5182

回帖

11万

积分

超级版主

积分
113127
发表于 2012-1-26 10:40:42 | 显示全部楼层
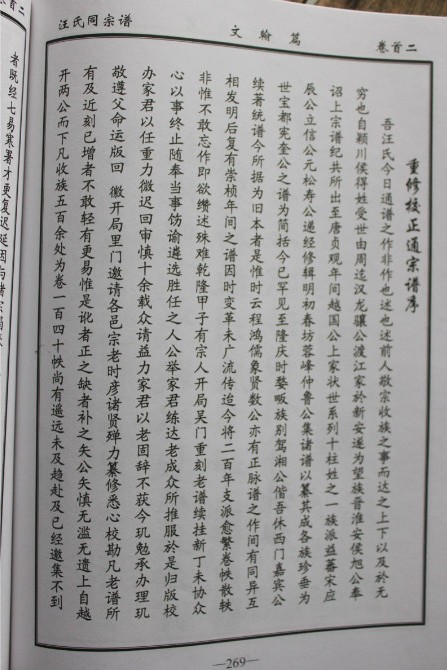
重修校正通宗谱序
                                                                                            汪达梧  提供  

         吾汪氏今日通谱之作,非作也,述也。述前人敬宗收族之亊,而达之上下,以至于无穷也。自颍川侯得姓受世,由周迄汉,龍骧公渡江家于新安,遂为旺族。晋淮安侯旭公,奉诏上宗譜,纪其所出。至唐贞观年间,越国公上家状世系,列十柱姓之一,族派益蕃。宋应辰公、立信公、元松寿公,递经修辑。明初,春坊蓉峰仲鲁公,集诸谱以纂其成,各族珍垂为世宝。都宪奎公之谱为简括,今已罕见。至隆庆时,婺畈族别驾湘公,偕吾休西门嘉宾公,续著统谱,今所据为旧本者是。惟时,云程、鸿儒、象贤数公,亦有正脉谱之作,间有同异,互相发明。后复有崇祯年间之谱,因时变革,未广流传。迄今將二百年,支派愈繁,卷帙散轶,非惟不敢妄作,即欲缵述殊难。乾隆甲子,有宗人开局吳门,重刻老谱,续挂新丁。未协众心,以亊终止。
        隨奉当事饬谕,遴选胜任之人。公推家君,练达老成,众所推服,于是归版校办。家君以任重力微,迟回审慎十余载。众请益力,家君以老固辞,不获,令玑勉承办理。玑敬遵父命,运版回徽,开局里门。邀请各邑宗老、时彦、诸贤,殚力纂修,悉心校勘,凡老谱所有,及新刻己增者,不敢轻有更易。惟是讹者正之,缺者补之,矢公矢慎,无滥无遗。自越开两公之下,凡收族五百余处,为卷一百四十帙,尚有遥远未及趋赴,及己经邀集不到者。既经七易寒暑,才更复迟延。因与诸宗竭蹶□办,刻期吿成。务以勉遵庭训,敬答众望而已。谱重世次,图系不敢絲毫错误,至于序记传赞等,制收载任投刻,不欲卷帙太繁,于其所不知,盖阙如也。
        玑窃念才谫力微,重以严君之命,谬为众族所许,勤勉从亊,不敢吿劳。今藉群策群力,得以循流溯源,因端竞委。不啻聚数百十世之祖孙父子于一堂,合数千百里之支派于一室,呼吸相连,笑语若接,使吾汪之代远而迹疏者,得是谱而按之,自不至相视于途人,为眉山氏所诃所云,孝悌之心可油然而兴者,戓示兹谱有小补焉,则佘今日区区文述亦何幸也。谱既成,谨略叙其颠末于简端云。
乾隆四十年岁次乙未孟冬月
                                                                                                                                                                                                                休邑、富昨   玑  拜撰
夕阳无限好,七十古来稀

619

主题

5182

回帖

11万

积分

超级版主

积分
113127
发表于 2012-1-26 17:44:42 | 显示全部楼层
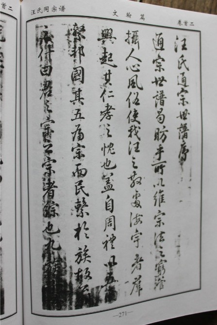
汪氏通宗世谱序
                                                                 汪达梧  提供

        通宗世谱曷昉乎?所以维宗法之穷瀯,摄人心风俗,使我汪之散处海宇者,群兴起其仁孝之忱也。盖自周礼以五、两系邦国,其五为宗,而民系于族。故公刘之什曰:“君之宗之。”宗者,综也, 九族十伦, 统于所尊,不至泛而无纪也。盖别子为祖,继别为宗。有百世不迁之宗、有五世则迁之宗,五世则迁之宗,小宗也。百世不迁之宗,继别之大宗也。文王之诗曰:“文王孙子,本支百世。”不与公刘之什相发明欤?自天下一统,封建不行,而宗子之法废。学士大夫虑心抉择,未免鱼目混珠。叙宗法,述祖功,使率意卤莽何容蠡见测海。况好亊多磨,业初剏,百流言兴,功垂成,而众口忌,古今来铄金销骨、妬功忌名者,大抵然也。所以南渠统宗、中山正脉而后,虽有惟时公修于万历时,士芳公修于崇祯时,要皆草草竣工,不克细校阅。今几二百载矣。无有继于其后者,豈非修之甚不易言哉?
        乾隆甲子,歙之宗人礼,倡首会宗,开局吳门。至己巳,邀予襄亊,予入局五载,适丁内艰,驰师奔丧。阅二载,绩溪邑孔灵与礼构讼,干办十有三载,中道而废。诸宗以休邑富昨孚远,才德兼优,公举重修。奉宪委谕垂□校正。翁命哲嗣、玉衡运版回徽,设局宗祠,复来请余,余辞之力,而彼之请愈力,不惮往返至再、至三,万不获已,承命入局。图稿按传,一托于余。余鉴苏局之失,惩汪礼之愆,立綱纪,考源流,别真伪,兢兢业业,矢公矢慎,仔细精详,洗心办理。七易寒暑,收会七百余族。虽昆山片玉,遗漏尚多,然各宗以苏局之废于半途也,爰是仁孝之忱,不敌优惧之意,而欲修族止者,正不少也。况时经七载,始之赴修者,望谱已久。爰于乙未仲冬,致系毀版昭告竣功,而通谱成焉。夫二百年之曠曲,一旦举之而不废,则人心以正,风俗以淳,□大宗小宗,萃呼吸于一堂,稽然如覩百代以上,若父若母真面目焉。
        盖谱者,补也。所以补后起之仁孝,以复厥生初也。故始之支分派别,散处海宇者,由一本而万殊,脉络分明,各正性命也。今之联群萃涣,裘首遅砌者,由万殊而一本,根本盛大而保合太和也。由父母而溯高曽,由高曾而溯越国,溯龙骧,溯颖川,无非一人之身,極宇内星罗基布,未曾谋面之人,犹是父母之子党乎?初开之天,初辟之地,仁孝之心不油油焉不能自已?所藉非然者,仁爱之心不存,虽日取家乘而阅之,称而道之,津津不罝而有谱之文、之谱之意,将文王之篇、公刘之什与周礼所称,尽属空文,而通谱之修,亦徒然矣。愿后嗣子孙,仁孝之意溢于谱书之表,不徒亊乎其文也。其于通谱之义殆庶几乎?
                                                                                                      乾隆四十年岁在乙未一阴月朔后二日
                                                                                                      古黟黄陂族八十六世孙嘉祺敬撰并书

请楼主将文中的小方框据原文补齐, 那些都是在图片上看不淸的字,如发现错误 .请一并修正.谢谢老先生了. 祝老先生在新的一年里,大展身手,为汪氏谱牒的研究,作出更大贡献!
夕阳无限好,七十古来稀

58

主题

135

回帖

5641

积分

风云使者

积分
5641
 楼主| 发表于 2012-2-11 22:00:31 | 显示全部楼层
本帖最后由 汪高山兵官 于 2015-10-15 14:21 编辑

回8楼楼主
政亮先生:新年好。遵嘱利用春节返家,到宗祠查阅老谱,将所缺部分一一补齐,请补正。迟复为歉,望见谅。
一    江恂撰<重修汪氏族谱序>
1  子孙云仍,散处一州及徙而之各郡者。
2   一百年来,文残献缺。
3   爰有流裔,开局吴中,
4   力復竭蹶迟回,二十年所乃命其四子玉衡邀族人之讲宗盟者相与.....
5   旧乡闾墓豈不夙夜......
7  稍稍得与族之父老.......
8  自生齿以上,皆书於版......
二   嘉祺撰  <汪氏通宗世谱序>
1   盖自周礼。以五,两系邦国......
2   宗者,综也。九族十伦,统於所尊.....
3   盖别子为祖,继别为宗.....
4   功垂成而众口忌.....
5   中山正脉而后,虽有惟时公修于万历时.....
6    奉宪委谕秉公校正.....
7    爰是仁孝之忱,不敌忧惧之意....
8    而欲修族止者正不少也。
9    始之赴修者,望谱以久......
10  爰於乙未仲冬,致系毁版,昭告竣工....
11  夫二百年之旷典,一旦举止而不废,则人心以正,风俗以淳,概大宗小宗......
12  极宇内星罗基布,未经谋面之人....
13  犹是父母之子党乎,初开之天,初辟之地,仁孝之心不油油焉?不能自己,所藉非然者,....
14   而有谱之文,之谱之意.....
15   而通谱之修,亦徒然矣,愿后嗣子孙.......

您需要登录后才可以回帖 登录 | 立即注册

本版积分规则

QQ| Archiver|手机版|小黑屋| 汪氏宗亲网

Copyright © 2001-2013 Comsenz Inc.   All Rights Reserved.

Powered by Discuz! X3.5( 皖ICP备2025101776号-1 )

快速回复 返回顶部 返回列表

 34100202000237