查看: 18390|回复: 21

请教本家!!

[复制链接]

20

主题

375

回帖

8827

积分

版主

汪氏家族,和谐为重;众志成城,

积分
8827
QQ
发表于 2012-2-9 21:09:30 | 显示全部楼层 |阅读模式
9AM}RHP4GCFHQG~XN`D_OP4.jpg   

H~AD9ZBE7V(T_UW%45O]X1O.jpg

2BTIXZY`RV{]S1596OI6.jpg
  我们这一支在肥西大墙,现在字辈是:立德为本 文章荣先 礼义广训  事业万年。民国戍子年的谱上始迁祖是汪传,合肥大部分都是爽公后裔,但是没有查到我们老祖的信息。我在国家图书馆重修汪氏家乘(明代  汪奎等编)上查到达公後73世有传公。我们家谱上堂号是:崇源堂。想请教各本家,有谁知道我们这一支的来历吗?谢谢了!!!
肥西大墙(堂号:崇源堂)字辈:立德为本  文章荣先 礼义广训 事业万年

20

主题

375

回帖

8827

积分

版主

汪氏家族,和谐为重;众志成城,

积分
8827
QQ
 楼主| 发表于 2012-2-9 21:11:46 | 显示全部楼层
达公在年轻时就到云南一带了,在安徽应该不会有后裔了。请教各位本家,这是怎么回事?
肥西大墙(堂号:崇源堂)字辈:立德为本  文章荣先 礼义广训 事业万年

46

主题

937

回帖

1万

积分

认证会员

找宗亲,汪金寿,字文枢,光绪12年

积分
18720
QQ
发表于 2012-2-10 08:33:24 | 显示全部楼层
应再上传家谱佘页.以资考证!

20

主题

375

回帖

8827

积分

版主

汪氏家族,和谐为重;众志成城,

积分
8827
QQ
 楼主| 发表于 2012-2-10 09:16:44 | 显示全部楼层
引用第2楼汪土亨于2012-02-10 08:33发表的 :
应再上传家谱佘页.以资考证!

谢谢
肥西大墙(堂号:崇源堂)字辈:立德为本  文章荣先 礼义广训 事业万年

74

主题

2592

回帖

7万

积分

版主

淮南洛河汪氏[潜口金紫分支]

积分
78819
QQ
发表于 2012-2-10 09:59:00 | 显示全部楼层
引用第1楼汪先武于2012-02-09 21:11发表的 :
达公在年轻时就到云南一带了,在安徽应该不会有后裔了。请教各位本家,这是怎么回事?

安徽达公的后裔还有很多,如六安,金寨,河南固始,江苏灌南都有.

58

主题

135

回帖

5641

积分

风云使者

积分
5641
发表于 2012-2-10 13:23:37 | 显示全部楼层
请将传公以上世系上传,以便考证。

20

主题

375

回帖

8827

积分

版主

汪氏家族,和谐为重;众志成城,

积分
8827
QQ
 楼主| 发表于 2012-2-10 15:23:22 | 显示全部楼层
引用第5楼汪达梧于2012-02-10 13:23发表的  :
请将传公以上世系上传,以便考证。

上面的谱在文革中给烧了,现在没有。我只是想问下,在华祖以后又多少名讳叫汪传的 ?只有通过这个来查查了,希望得到各位本家的帮助。 还有这个堂号,大家谁知道是什么情况?
肥西大墙(堂号:崇源堂)字辈:立德为本  文章荣先 礼义广训 事业万年

166

主题

1890

回帖

230万

积分

版主

灌河流域汪氏宗亲会创会秘书长,手机:15961332733

积分
2306618
QQ
发表于 2012-2-10 17:03:30 | 显示全部楼层

回 4楼(汪传海) 的帖子

灌南以及苏北没有达公后裔,只有华公长子建公后裔,七子爽公后裔,八子俊公后裔。

  灌南家谱一共十册,以建公后裔为主,一至七册是建公后裔,八和九册是爽公后裔,十册是铁佛公世系和俊公后裔。

20

主题

375

回帖

8827

积分

版主

汪氏家族,和谐为重;众志成城,

积分
8827
QQ
 楼主| 发表于 2012-2-11 20:55:55 | 显示全部楼层
盼知道的宗亲提供线索!!!!
肥西大墙(堂号:崇源堂)字辈:立德为本  文章荣先 礼义广训 事业万年

215

主题

5523

回帖

13万

积分

天使

九华汪长富 佛国汪谱迷

积分
131271
发表于 2012-2-13 22:49:24 | 显示全部楼层
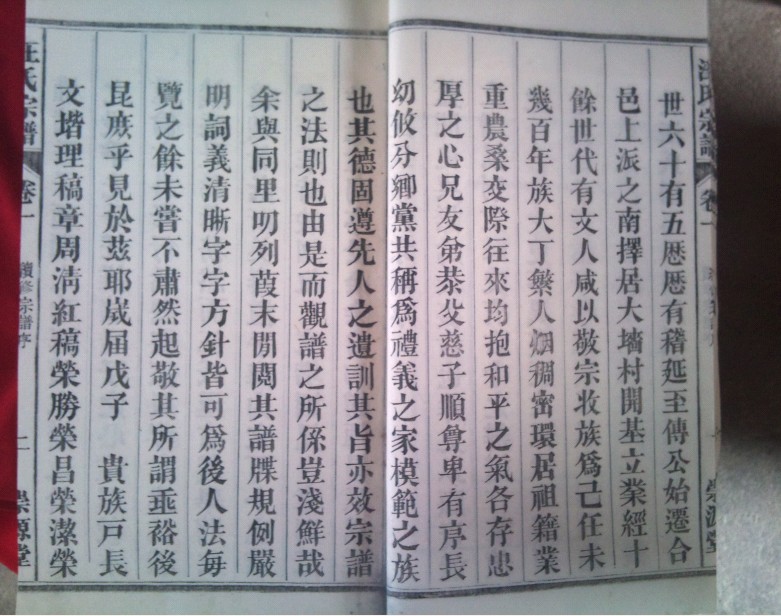
                           句读 主楼三图


(一)助人为快乐之本,学问为济世之本,有恒为成功之本。
  

(二)汪氏续修宗谱序

        益闻史与谱为表里者也,作史以显贤能,立谱以别支派。史有古今之辨,谱有纂续之分,古今之史不异褒贬文臣武职,纂续之谱总乎垂裕子孝孙贤。且以立谱而论何世之纂续者纷匕,讲明者寥匕,今乃观于汪氏则不然。如汪氏者自三代而下,系世六十有五,历历有稽,延至传公始迁合邑上派之南,择居大墙村开基立业,经十余世代有文人,咸以敬宗收族为己任。

        未几百年,族大丁繁,人烟稠密,环居祖籍,业重农桑,交际往来,均抱和平之气,各存惠厚之心。兄友弟恭,父慈子顺,尊卑有序,长幼攸分,乡党共称为礼义之家、模范之族也。其德固遵先人之遗训,其旨亦效宗谱之法则也。由是而观谱之所系,岂浅鲜哉。余与同里叨列,葭末闲阅共谱牒,规例严明,词义清晰,字字方针,皆可为后人法。每览之余,未尝不肃然起敬,其所谓垂裕后昆庶乎,见于兹耶,岁届戊子。  

        贵族户长文堦理稿,章周清红稿,荣胜、荣昌、荣洁、荣权诸君,子廼先功再续宗谱。致于编校之役争先分任,推诸君子之心,重彰敦本、重伦立身修行,为要典振兴、孝悌忠信、礼义廉耻为急务。然而,汪氏亟有义举,将来后炽于螽斯,美誉溢乎。海内定可卜也,兹当华乘待竣,姻叔文堦、姻兄章周,二位先生问序于余,余自知谫陋,曷敢以雕虫技不扬名,辱附书简,念诸却之不恭,又曷敢以不文固辞,谨将素所见闻略具无词、聊表献曝之微意云尔。

                                   ——   时    民国戊子(1948)年      天中书于客馆之南窗        戚末    胡鸿铨    量衡氏    拜撰
您需要登录后才可以回帖 登录 | 立即注册

本版积分规则

QQ| Archiver|手机版|小黑屋| 汪氏宗亲网

Copyright © 2001-2013 Comsenz Inc.   All Rights Reserved.

Powered by Discuz! X3.5( 皖ICP备2025101776号-1 )

快速回复 返回顶部 返回列表

 34100202000237