查看: 9867|回复: 0

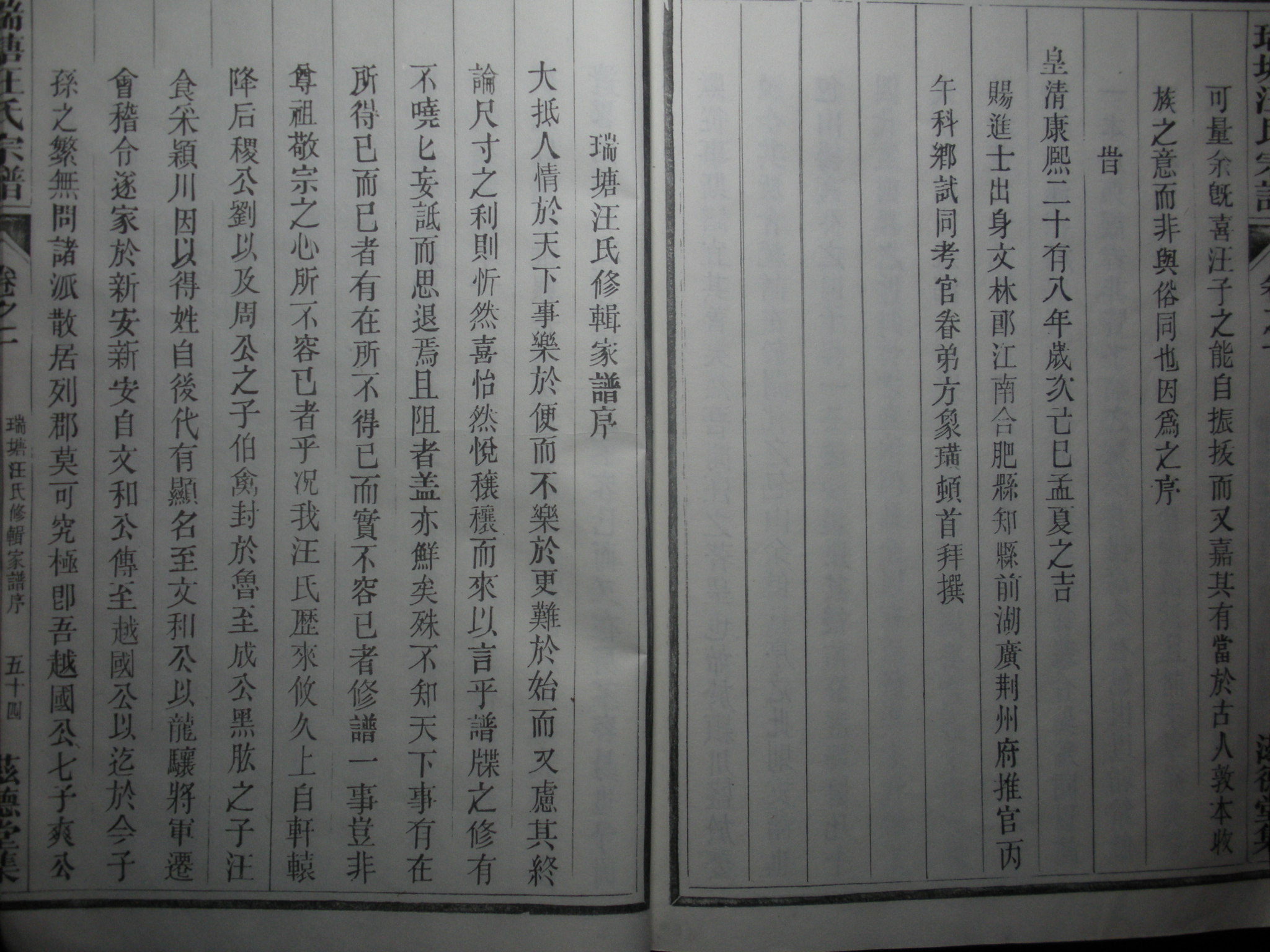
这是赐进士出身文林郎江南合肥县知县前湖广荆州府推官丙午科乡试同考官方象璜为沙堤

[复制链接]

33

主题

200

回帖

7561

积分

风云使者

越国公——爽公——濆公——杨高

积分
7561
QQ
发表于 2012-3-7 12:37:54 | 显示全部楼层 |阅读模式
沙堤瑞塘汪氏支谱序
DSCN2383.JPG
DSCN2384.JPG
DSCN2385.JPG
越国流芳德业诗书昭世泽 公峰继美衣冠文物振家声
您需要登录后才可以回帖 登录 | 立即注册

本版积分规则

QQ| Archiver|手机版|小黑屋| 汪氏宗亲网

Copyright © 2001-2013 Comsenz Inc.   All Rights Reserved.

Powered by Discuz! X3.5( 皖ICP备2025101776号-1 )

快速回复 返回顶部 返回列表

 34100202000237