查看: 30791|回复: 54

无为开城牛头嘴积善堂修谱

[复制链接]

25

主题

397

回帖

1万

积分

新手上路

汪有冬

积分
13378
QQ
发表于 2012-3-23 20:05:13 | 显示全部楼层 |阅读模式
安徽无为县开城牛头嘴的汪氏后人注意了,(积善堂)准备修谱了,
有意的请和:汪维兵联系:13865296419安徽 汪帮义(有字辈)15556528398
字辈是,
仕亻辛任庆廷,一应时光国,宏汝教守昌,维有德宗大,雍睦重人伦,盛礼传家本,懋官受禄升。
或者和我联系,13970286218
附无为一世祖图像
1未命名.jpg

25

主题

397

回帖

1万

积分

新手上路

汪有冬

积分
13378
QQ
 楼主| 发表于 2012-3-23 20:10:20 | 显示全部楼层
附字辈图
1331707869906.jpg
1331707960644.jpg

25

主题

397

回帖

1万

积分

新手上路

汪有冬

积分
13378
QQ
 楼主| 发表于 2012-3-23 20:19:06 | 显示全部楼层
本支传承(因谱还在整理中,62世以后还未完成,请谅解)
另:本支一世祖为61惟厚公以下10余世
46世处贵公(爽公次子)---
47太元公--
48仁素公-
49凤思公--
50文公--
51行璿公--
52说言公--
53咸公---
54浚公---
55师全公---
56道安公---
57濆公---
58中元公---
59敬蓬公---
60延之公---
61惟厚公--
62元凤公---
未命名2.jpg

215

主题

5523

回帖

13万

积分

天使

九华汪长富 佛国汪谱迷

积分
131271
发表于 2012-3-24 11:10:25 | 显示全部楼层
46世处贵公(爽公次子)---47太元公---48仁素公---49凤思公---50文公---51行
公---
   
. . . . . . 50 文秀----51 行璿。俩祖讳错误,修谱时请予改正。  

146

主题

3851

回帖

8万

积分

天使

你我是音符,相逢一首歌

积分
85373
发表于 2012-3-24 11:36:59 | 显示全部楼层
5_143959_7cec6d98712bfa0.jpg

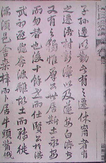
子孙迁明勤者有之,迁休宁者有之,迁浯村彭泽以及遂安白济者又有之,独惟厚公世居斯土永安勿替也,后十余世而仕贤公,于洪武初避乱奔波,离故土而转徙濡须邑,舍弃梓而卜居牛头嘴。

25

主题

397

回帖

1万

积分

新手上路

汪有冬

积分
13378
QQ
 楼主| 发表于 2012-3-24 20:26:22 | 显示全部楼层

回 3楼(九华星云) 的帖子

谢谢九华星云

25

主题

397

回帖

1万

积分

新手上路

汪有冬

积分
13378
QQ
 楼主| 发表于 2012-3-24 20:26:48 | 显示全部楼层

回 4楼(汪志林) 的帖子

谢谢汪志林

55

主题

3544

回帖

11万

积分

纪念会员

不管成功与否,曾参与了,就不至

积分
113034
发表于 2012-3-25 16:46:09 | 显示全部楼层
预祝  无为开城牛头嘴积善堂修谱  早日圆满成功!!!

25

主题

397

回帖

1万

积分

新手上路

汪有冬

积分
13378
QQ
 楼主| 发表于 2012-3-26 13:07:24 | 显示全部楼层
兴吾本家,你好,请你帮忙看看
1331704977039.jpg
1331704986249.jpg
1331704991286.jpg
1331705001969.jpg

25

主题

397

回帖

1万

积分

新手上路

汪有冬

积分
13378
QQ
 楼主| 发表于 2012-3-29 13:16:11 | 显示全部楼层
安徽无为县开城牛头嘴的汪氏后人注意了,(积善堂)准备修谱了,
有意的请和:汪维兵联系:13865296419安徽 汪帮义(有字辈)15556528398
字辈是,
仕亻辛任庆廷,一应时光国,宏汝教守昌,维有德宗大,雍睦重人伦,盛礼传家本,懋官受禄升。
或者和我联系,13970286218
您需要登录后才可以回帖 登录 | 立即注册

本版积分规则

QQ| Archiver|手机版|小黑屋| 汪氏宗亲网

Copyright © 2001-2013 Comsenz Inc.   All Rights Reserved.

Powered by Discuz! X3.5( 皖ICP备2025101776号-1 )

快速回复 返回顶部 返回列表

 34100202000237