查看: 10691|回复: 1

乐平砺石汪家家谱

[复制链接]

63

主题

226

回帖

8938

积分

版主

http://wanghylp.blog.163.com/

积分
8938
发表于 2012-4-22 20:11:13 | 显示全部楼层 |阅读模式
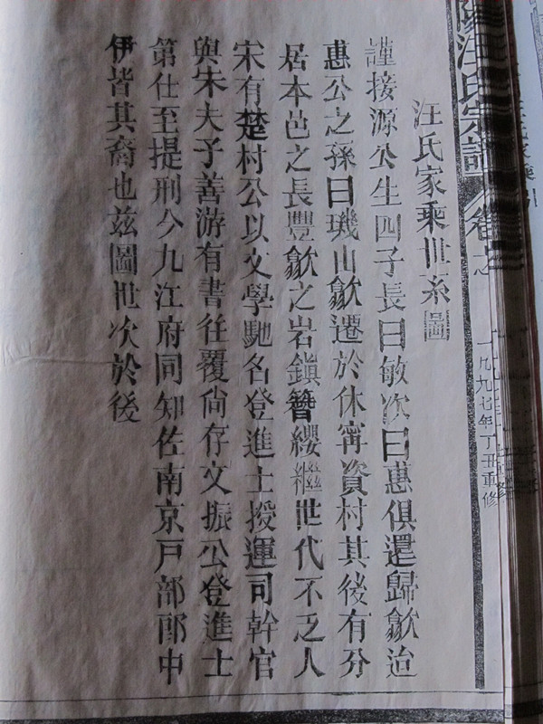
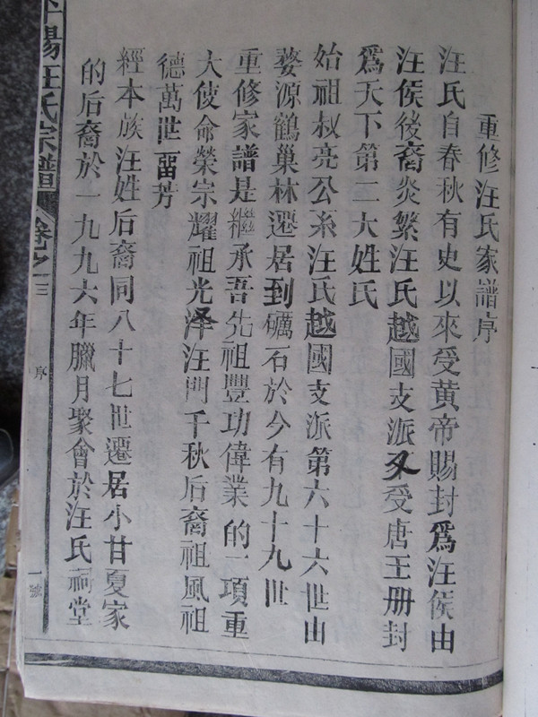
乐平砺石汪家属道安公子源的次子惠的后代

img_1157_副本.jpg img_1141_副本.jpg img_1143_副本.jpg img_1144_副本.jpg       img_1140_副本.jpg img_1132_副本.jpg     img_1136_副本.jpg    img_1147_副本.jpg
云冰

33

主题

200

回帖

7561

积分

风云使者

越国公——爽公——濆公——杨高

积分
7561
QQ
发表于 2012-4-22 21:40:43 | 显示全部楼层
很好,请继续上图。
越国流芳德业诗书昭世泽 公峰继美衣冠文物振家声
您需要登录后才可以回帖 登录 | 立即注册

本版积分规则

QQ| Archiver|手机版|小黑屋| 汪氏宗亲网

Copyright © 2001-2013 Comsenz Inc.   All Rights Reserved.

Powered by Discuz! X3.5( 皖ICP备2025101776号-1 )

快速回复 返回顶部 返回列表

 34100202000237