查看: 49073|回复: 43

盘冈<汪氏世谱>

[复制链接]

116

主题

4033

回帖

7万

积分

版主

积分
76092
QQ
发表于 2012-4-29 22:44:53 | 显示全部楼层 |阅读模式
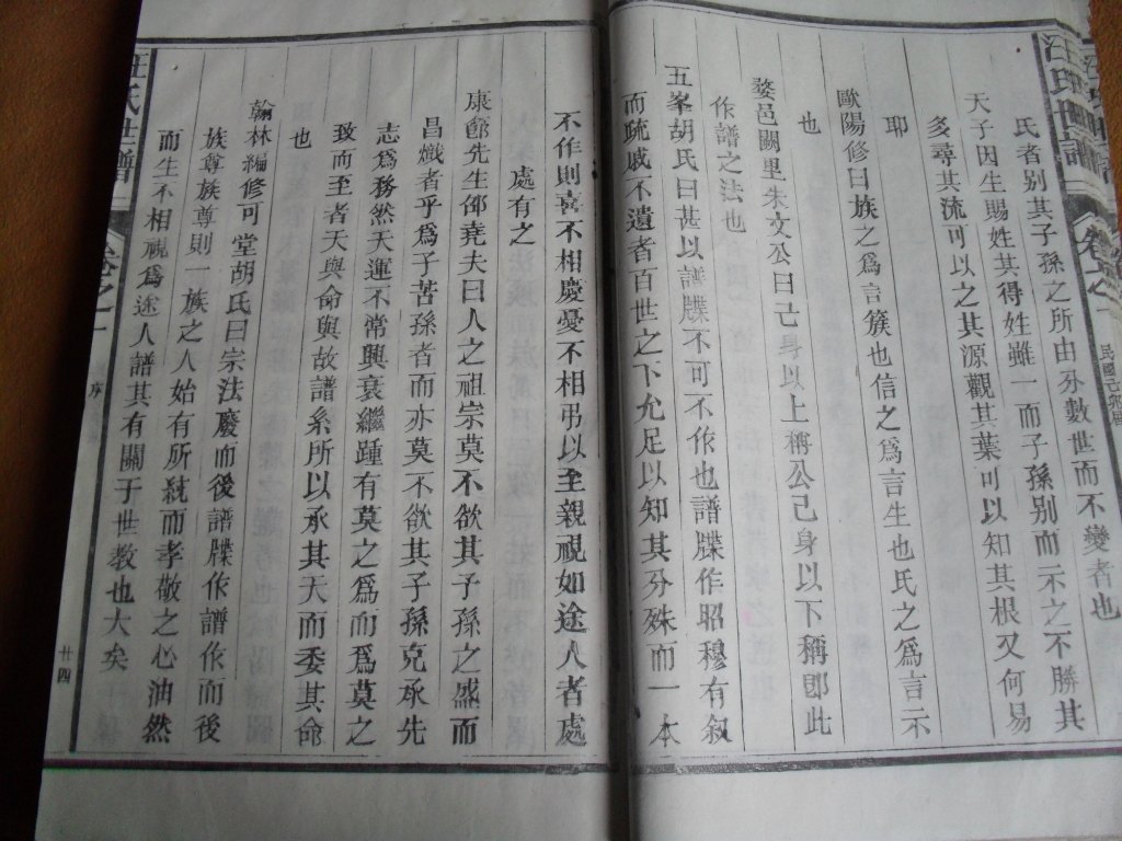
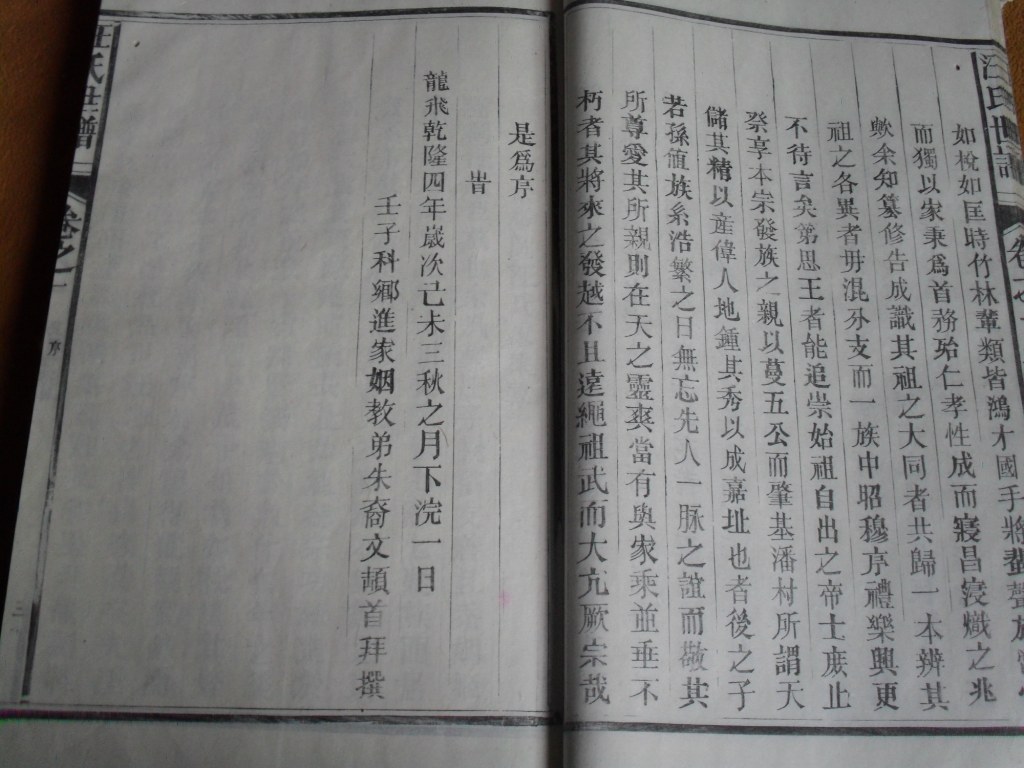
见到民国时期一本&lt;汪氏世谱&gt;,发给大家共享.
SAM_0996.JPG
SAM_0997.JPG
SAM_0998.JPG
SAM_0999.JPG

116

主题

4033

回帖

7万

积分

版主

积分
76092
QQ
 楼主| 发表于 2012-4-29 22:50:35 | 显示全部楼层
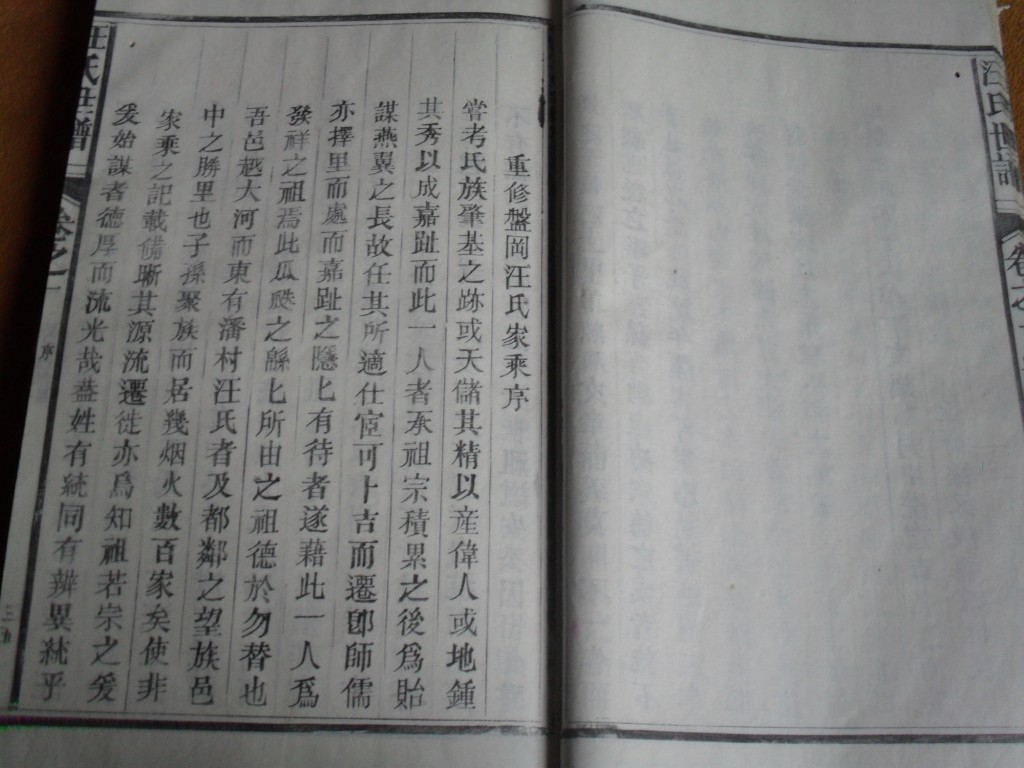
汪氏世谱
SAM_1000.JPG
SAM_1001.JPG
SAM_1002.JPG
SAM_1003.JPG

116

主题

4033

回帖

7万

积分

版主

积分
76092
QQ
 楼主| 发表于 2012-4-29 23:01:47 | 显示全部楼层
编号1107
SAM_1004.JPG
SAM_1005.JPG
SAM_1006.JPG
SAM_1007.JPG

116

主题

4033

回帖

7万

积分

版主

积分
76092
QQ
 楼主| 发表于 2012-4-29 23:07:13 | 显示全部楼层
编号1011
SAM_1008.JPG
SAM_1009.JPG
SAM_1010.JPG
SAM_1011.JPG

116

主题

4033

回帖

7万

积分

版主

积分
76092
QQ
 楼主| 发表于 2012-4-29 23:13:52 | 显示全部楼层
编号1015
SAM_1012.JPG
SAM_1013.JPG
SAM_1014.JPG
SAM_1015.JPG

116

主题

4033

回帖

7万

积分

版主

积分
76092
QQ
 楼主| 发表于 2012-4-29 23:25:59 | 显示全部楼层
编号1019
SAM_1016.JPG
SAM_1017.JPG
SAM_1018.JPG
SAM_1019.JPG

116

主题

4033

回帖

7万

积分

版主

积分
76092
QQ
 楼主| 发表于 2012-4-29 23:36:11 | 显示全部楼层
编号1023
SAM_1020.JPG
SAM_1021.JPG
SAM_1022.JPG
SAM_1023.JPG

116

主题

4033

回帖

7万

积分

版主

积分
76092
QQ
 楼主| 发表于 2012-4-29 23:45:29 | 显示全部楼层
编号1027
SAM_1024.JPG
SAM_1025.JPG
SAM_1026.JPG
SAM_1027.JPG

116

主题

4033

回帖

7万

积分

版主

积分
76092
QQ
 楼主| 发表于 2012-4-30 13:55:13 | 显示全部楼层
编号1031
SAM_1028.JPG
SAM_1029.JPG
SAM_1030.JPG
SAM_1031.JPG

116

主题

4033

回帖

7万

积分

版主

积分
76092
QQ
 楼主| 发表于 2012-4-30 13:55:58 | 显示全部楼层
编号1035
SAM_1032.JPG
SAM_1033.JPG
SAM_1034.JPG
SAM_1035.JPG
您需要登录后才可以回帖 登录 | 立即注册

本版积分规则

QQ| Archiver|手机版|小黑屋| 汪氏宗亲网

Copyright © 2001-2013 Comsenz Inc.   All Rights Reserved.

Powered by Discuz! X3.5( 皖ICP备2025101776号-1 )

快速回复 返回顶部 返回列表

 34100202000237