楼主: kingcheng

(转贴)江山市大陈乡汪姓——婺源大畈分支

[复制链接]

1652

主题

7021

回帖

18万

积分

管理员

宏扬汪华文化 共建和谐家园

积分
187475
QQ
发表于 2006-10-10 22:33:10 | 显示全部楼层
应当没问题。。。

是不是太大了?

这里的附件不得超过2M,如大了处理一下,缩小点再发。。
悟以往之不谏,知来者之可追

13

主题

56

回帖

1万

积分

光明使者

三衢山旁宋畈村,越国宗祠今犹在

积分
10912
QQ
发表于 2006-10-11 14:59:39 | 显示全部楼层

Re:(转贴)常山宋畈汪氏宗谱——婺源大畈分支

宋畈汪氏宗谱图片.
宋畈汪氏宗谱001.jpg
宋畈汪氏宗谱002.jpg
宋畈汪氏宗谱003.jpg
宋畈汪氏宗谱004.jpg
三衢山旁宋畈村,越国宗祠今犹在 宋畈"永思堂",汪氏第88世孙,家字辈

13

主题

56

回帖

1万

积分

光明使者

三衢山旁宋畈村,越国宗祠今犹在

积分
10912
QQ
发表于 2006-10-11 15:09:10 | 显示全部楼层

Re:(转贴)常山宋畈汪氏宗谱——婺源大畈分支

图片:
宋畈越国宗祠001.jpg
宋畈越国宗祠002.jpg
三衢山旁宋畈村,越国宗祠今犹在 宋畈"永思堂",汪氏第88世孙,家字辈

13

主题

56

回帖

1万

积分

光明使者

三衢山旁宋畈村,越国宗祠今犹在

积分
10912
QQ
发表于 2006-10-11 15:11:19 | 显示全部楼层

Re:(转贴)常山宋畈汪氏宗谱——婺源大畈分支

图片
宋畈越国宗祠1.jpg
三衢山旁宋畈村,越国宗祠今犹在 宋畈"永思堂",汪氏第88世孙,家字辈

108

主题

694

回帖

2万

积分

版主

93世 汪鸿欣

积分
25094
发表于 2006-10-11 15:26:57 | 显示全部楼层
的确不错,大畈的知本堂就没你们那幸运了 [s:6]
寒山艺术馆 http://blog.sina.com.cn/u/2310233782

13

主题

56

回帖

1万

积分

光明使者

三衢山旁宋畈村,越国宗祠今犹在

积分
10912
QQ
发表于 2006-10-11 17:47:57 | 显示全部楼层

Re:(转贴)常山宋畈汪氏宗谱——婺源大畈分支

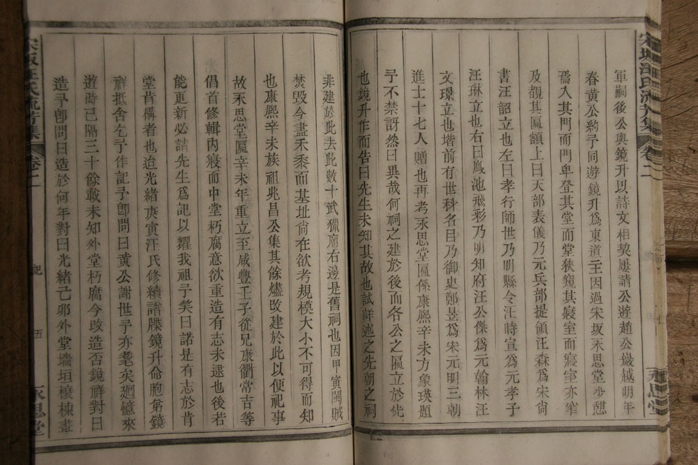
这里越国宗祠属"永思堂",所辛我们前年及时买了下来。现正与县文化局联系,争取先取得县级文物保护单位,再逐级向上申请。江山大陈村的本家可否提供相关经验,他们村已经取得浙江省文物保护单位。反而大陈的始迁徙地宋畈现仅存的祠堂差一点被毁于一旦。根据族谱记载,本祠堂应建于宋代。其“天部表仪”匾由元代兵部提领汪森为宋尚书汪韶立。“孝行师世”和“凤池飞彩”两匾立于明代,“永思堂”匾立于清康熙辛未年。该祠堂明代被毁过。现存越国宗祠重修于清康熙辛未年。
宋畈汪氏宗谱020.jpg
宋畈汪氏宗谱021.jpg
三衢山旁宋畈村,越国宗祠今犹在 宋畈"永思堂",汪氏第88世孙,家字辈

251

主题

3515

回帖

114751万

积分

超级版主

探究汪氏源流,学习汪氏文化。

积分
1147514344
发表于 2006-10-11 19:19:14 | 显示全部楼层
希望能看到汪韶至汪普贤之间的世系。
七律·喜看女孙 屯蒙辑别步尘阶,双眸晶明神度谐。
一气混元观世界,万般依赖就娘怀。
饥啼不解人间苦,梦笑惟呈弱体乖。
年老莫愁无乐趣,含饴笑弄女孙崽。

13

主题

56

回帖

1万

积分

光明使者

三衢山旁宋畈村,越国宗祠今犹在

积分
10912
QQ
发表于 2006-10-16 16:57:38 | 显示全部楼层
汪兴吾本家:

关于韶公至普贤公之间的世系,家谱上没有记载.只有迁徙记录.

韶公嫡孙德公由宋畈迁徙到开化石门东[阜],后代由石门迁到叶溪。韶公十五世孙曰荣者任延平教授由叶溪迁到常山金川石桥头。大陈记载由常山金川石桥头迁往大陈.
三衢山旁宋畈村,越国宗祠今犹在 宋畈"永思堂",汪氏第88世孙,家字辈

2

主题

11

回帖

1075

积分

精灵王

积分
1075
发表于 2006-12-19 11:27:46 | 显示全部楼层

Re:Re:(转贴)江山市大陈乡汪姓——婺源大畈分支---系常山宋畈韶公派

兴吾版主:
我这里有宋畈汪氏宗谱一套五卷。始祖为59世韶公。
========================================
请告知你的联系方式,我需要拓印二本家谱.....

53

主题

470

回帖

8337

积分

风云使者

欢迎广大本家加我微信W3D660466

积分
8337
QQ
发表于 2006-12-23 21:35:13 | 显示全部楼层
非常好!我要到你那里看看!
永远为光宗耀祖而能力。。。
您需要登录后才可以回帖 登录 | 立即注册

本版积分规则

QQ| Archiver|手机版|小黑屋| 汪氏宗亲网

Copyright © 2001-2013 Comsenz Inc.   All Rights Reserved.

Powered by Discuz! X3.5( 皖ICP备2025101776号-1 )

快速回复 返回顶部 返回列表

 34100202000237