查看: 9102|回复: 5

一个镇海半路汪后人的寻根困惑

[复制链接]

73

主题

409

回帖

1万

积分

新手上路

向全国汪氏宗亲拜年!新年快乐!

积分
14298
发表于 2013-4-30 10:08:02 | 显示全部楼层 |阅读模式
一个镇海半路汪后人的寻根困惑

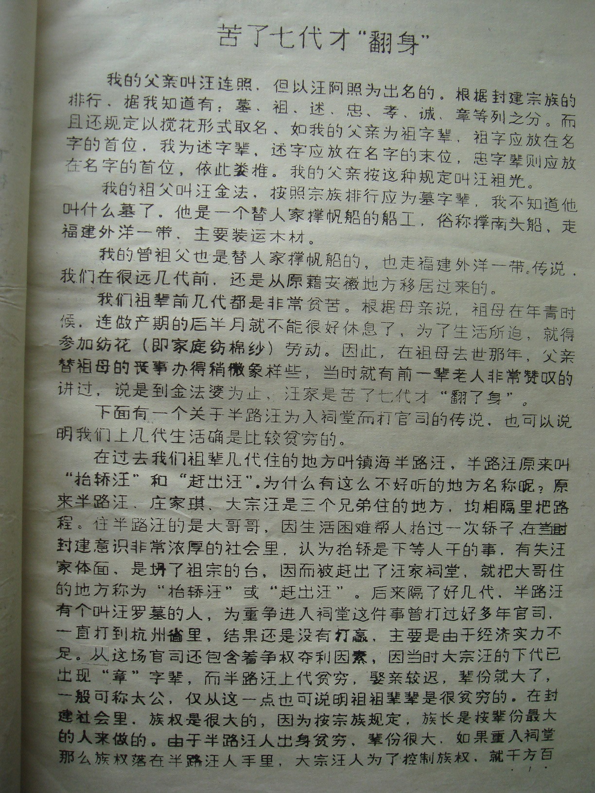
我没有家谱,只有父亲1966年刻印的回忆祖父的一本小册子《忆父亲》和他老人家的口传。父亲在他的《忆父亲》一文中写道:
“传说,我们在很远几代前,还是从原籍安徽地方移居过来的。”
镇海(清水浦)“半路汪、庄家琪、大宗汪是三个兄弟住的地方,均相隔里把路程。住半路汪的是大哥哥,因生活困难帮人抬过一次轿子,在当时封建意识非常浓厚的社会里,认为抬轿是下等人干的事,有失汪家体面,是坍了祖宗的台,因而被赶出了汪家祠堂”。
父亲还多次说过,先祖在唐朝时做过很大的官。
由于半路汪祖父这一分支穷困了数代(曾祖母去世时,“就有前一辈老人非常赞叹的讲过”,到曾祖母,“汪家是苦了七代才‘翻了身’”),没有留下家谱(可能根本没有家谱)。但我们的字辈排行,一直是用“四明行派”,曾祖名讳×谟(一名金发),祖父名讳祖光(一名连照),父亲名讳永述,我这一辈是忠行,知道我们近几代的行派是“墓(应为谟)、祖、述、忠、孝、诚(或成)、章”。后来看到了四明行派全文。(以上引号内、仿宋体是父亲的原文)
这几段文字、口传合了“天下汪氏出徽州”和汪华公的身世。
除了父亲的文字和口传,至今看到的只有《浙江宁波北仑区镇海区部分姓氏人口及源流》(据新编《镇海县志》第四编《人口•姓氏》)有印证,上写道“1985年,全县人口494451人,共有540个姓(其中复姓7个)。……汪  3395人。……临江汪家,始迁祖汪思颜,洪武年间从戍镇海,遂定居东管乡清水浦,亦称大宗汪,分支为半路汪。 ”
镇海大宗汪1915年、1944年分别由汪显述(炳生)公、汪立孝公主修了两部大宗汪家谱,《镇邑清水浦汪氏宗谱四卷首一卷》、《镇海清水浦大宗汪氏宗谱: 十七卷》,都未提及,或否认半路汪与大宗汪的关系。《汪氏宗谱: 不分卷:[鄞县](清, 刻本始迁祖:[元]汪泰亨)》也没有看到有关记载(未及细阅)。
因此从元末迁居宁波乌黯桥的始祖74世泰亨公-75世继芳公-76世思先、思颜、思明公,到我曾祖(谟行)、祖父(祖行)之间(十代)没有世系记载。
仅仅有父亲的文字、口传及新编《镇海县志 1994》上的记载能算得上溯源归宗了吗?!

《汪氏宗谱纂要》卷末有龙川汪宏布所撰《劈冒汪氏说》,“汪氏者何?谱是也。谱者何?以有签也。无谱则无签,无签则皆为伪。”镇海半路汪岂不是“伪”?!镇海半路汪的后人岂不是“伪”?!

一个镇海半路汪后人的寻根困惑。
求助各位。谢。

2012年4月29日

又及,日本学者臼井佐知子在《徽州汪氏家族的迁徙与商业活动》(《江淮论坛》1995年01、02期)一文中曾写道:清水浦汪氏家族的早期族谱已散失,因此于同治九年(1870)及民国四年(1915)两度编纂族谱,……
同治九年(1870年)的谱在哪里?

附录镇海县志记载见汪华后人2007-12-07跟帖 大风:浙江宁波镇邑清水浦汪氏寻访(代汪键国本家发)

73

主题

409

回帖

1万

积分

新手上路

向全国汪氏宗亲拜年!新年快乐!

积分
14298
 楼主| 发表于 2013-4-30 11:41:01 | 显示全部楼层
父亲回忆祖父的小册子封面
DSC00386.JPG
DSC00387.JPG

73

主题

409

回帖

1万

积分

新手上路

向全国汪氏宗亲拜年!新年快乐!

积分
14298
 楼主| 发表于 2013-4-30 11:42:12 | 显示全部楼层
《忆父亲》前言
DSC00389.JPG

73

主题

409

回帖

1万

积分

新手上路

向全国汪氏宗亲拜年!新年快乐!

积分
14298
 楼主| 发表于 2013-4-30 11:43:09 | 显示全部楼层
苦了七代才“翻身”
DSC00390.JPG

146

主题

3851

回帖

8万

积分

天使

你我是音符,相逢一首歌

积分
85373
发表于 2013-5-2 13:28:24 | 显示全部楼层
本家寻根困惑也是四明周边地区本家的寻根困惑。因为周边本家都以四明行第作为家族寻根的第一信息,本无可厚非,而本家知道,四明字派行的是爽公支系脉,这在“抬轿汪”或“赶出汪”的历史记叙中完全可以看出“四明字派”的巨大混搭痕迹,从而对本支的来源就淹没得很深,比如大雷汪出自建公下的延霸公族,慈南汪来源于“婺源迁宁波,宁波迁余姚车厩太平渡,接着由余姚丈亭迁庐江”,清水浦汪则是典型的十六族的迁徙,三地都有不同迁始祖,来源也各异,却在家谱记载上严格着“四明行第”取名,即使另有字,也必四明字派在其名上,俨然有通天谱的大统,结果最后寻根都归于爽公支系,先辈更是困惑,家谱的编撰也是困惑于字派,一方面镇海的家谱和江苏阳羡的家谱都可以知道编者的纠结,另一方面字派同化和借用带来的世系不明随着时间久远也更加突出,这就是困惑的根源,再说,整个四明行第已经渗透在这些家族的所有名字中,不是真正的四明字派又有多少人弄得清楚呢?毕竟借用和同化的时间足以抹杀你的个性来源。

4

主题

50

回帖

1663

积分

精灵王

积分
1663
QQ
发表于 2013-5-10 08:56:44 | 显示全部楼层
您好本家!我们同是清水浦出来的裔孙,泰亨公的那张家谱有很多困惑与漏洞,其中“公富公止”,继芳公下“思颜”后裔未详注,就说明“老大被驱逐出去”的可能!这一支脉的发展想必与清水浦外迁的众多福建宁德、福安宗亲血脉相连!
           困惑一:我迁居宁德太祖玄福公(字文富)、玄寿、玄玉三兄弟,玄福公是否即'富公"?
          困惑二:我迁居宁德的第三代“文英公”与家谱中“孙”字辈的文孙、英孙相符,是否同支脉?。。。。。。诸多问题,盼交流!我QQ  859182797握手!
饮水思源,血浓于水——根。
您需要登录后才可以回帖 登录 | 立即注册

本版积分规则

QQ| Archiver|手机版|小黑屋| 汪氏宗亲网

Copyright © 2001-2013 Comsenz Inc.   All Rights Reserved.

Powered by Discuz! X3.5( 皖ICP备2025101776号-1 )

快速回复 返回顶部 返回列表

 34100202000237