查看: 16636|回复: 18

河南固始长江河孝友堂及皖金寨应明堂系达公次子处哲公部分支系图考。

[复制链接]

8

主题

276

回帖

6252

积分

版主

积分
6252
发表于 2013-9-4 22:51:07 | 显示全部楼层 |阅读模式
本帖最后由 汪达梧 于 2016-7-14 15:29 编辑

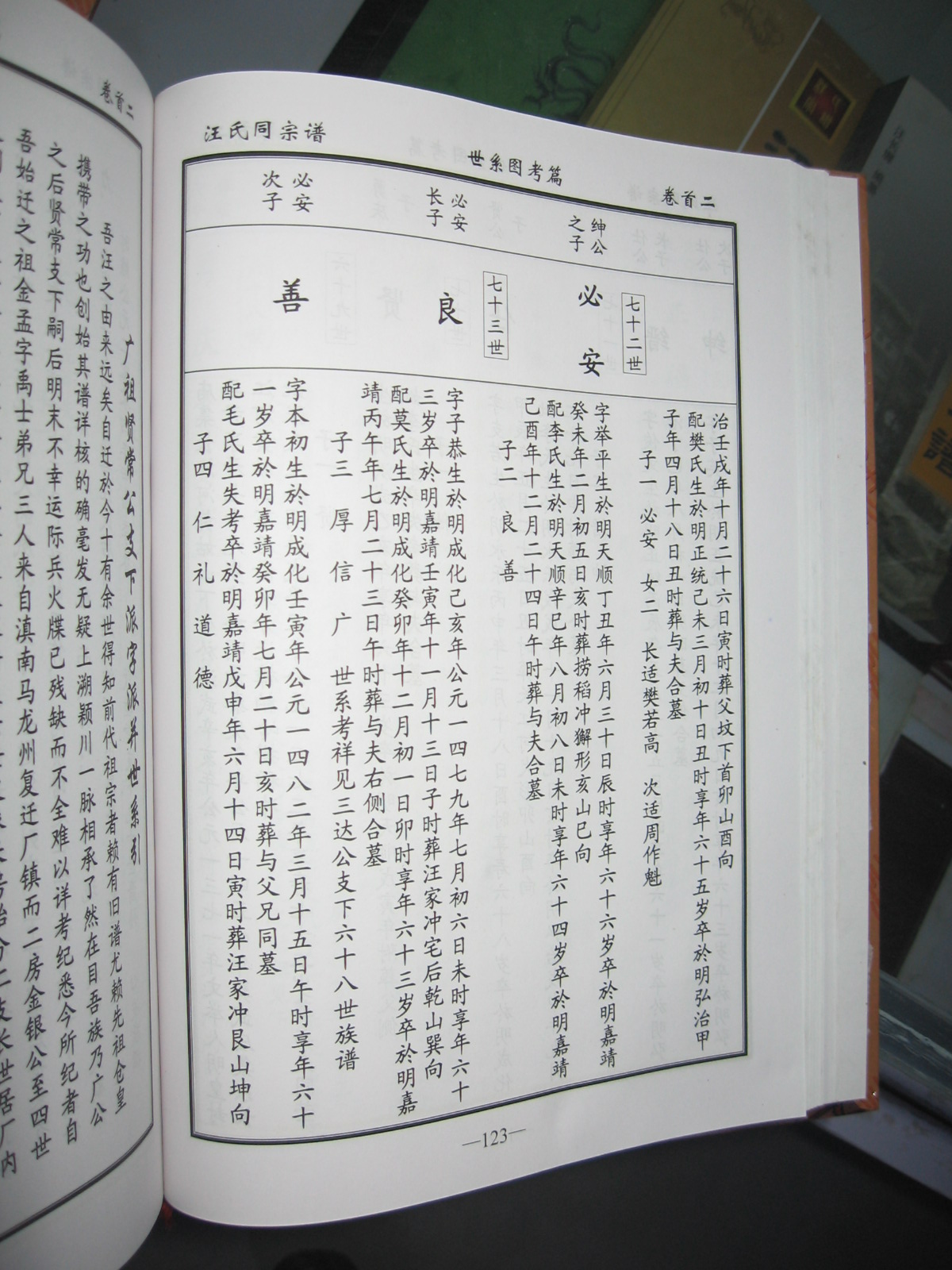
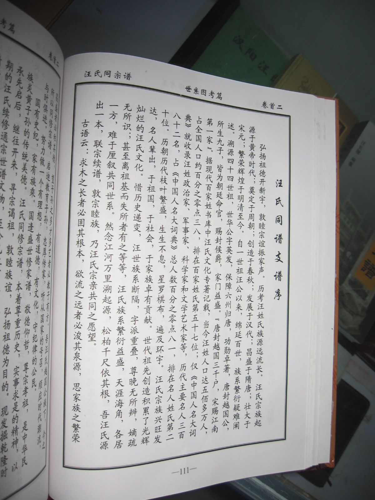
为了全国汪氏寻根问祖需要,我汪氏越开展馆把收存部分资料上传共大家寻根问祖查对。 IMG_0001.JPG IMG_0002.JPG IMG_0003.JPG IMG_0004.JPG

8

主题

276

回帖

6252

积分

版主

积分
6252
 楼主| 发表于 2013-9-4 22:53:35 | 显示全部楼层
本帖最后由 汪达梧 于 2016-7-14 15:29 编辑

IMG_0005.JPG IMG_0006.JPG IMG_0007.JPG IMG_0008.JPG

8

主题

276

回帖

6252

积分

版主

积分
6252
 楼主| 发表于 2013-9-4 23:02:18 | 显示全部楼层
本帖最后由 汪达梧 于 2016-7-14 15:29 编辑

IMG_0009.JPG IMG_0010.JPG IMG_0011.JPG
IMG_0012.JPG

8

主题

276

回帖

6252

积分

版主

积分
6252
 楼主| 发表于 2013-9-4 23:03:16 | 显示全部楼层
本帖最后由 汪达梧 于 2016-7-14 15:29 编辑

IMG_0013.JPG IMG_0014.JPG IMG_0015.JPG IMG_0016.JPG

8

主题

276

回帖

6252

积分

版主

积分
6252
 楼主| 发表于 2013-9-4 23:03:56 | 显示全部楼层
本帖最后由 汪达梧 于 2016-7-14 15:29 编辑

IMG_0017.JPG IMG_0018.JPG

58

主题

135

回帖

5641

积分

风云使者

积分
5641
发表于 2013-9-5 10:32:04 | 显示全部楼层
本帖最后由 汪达梧 于 2016-7-14 15:29 编辑

说 明 关于孝友堂与应明堂支系世系图,2004年在编纂同宗谱时,孝友堂的世系图与应明堂的世系相差八代。受当时客观条件限制,同宗谱编委会无力考证,交由两堂自行商定。最后按应明堂世系图补齐了六代,也就是说孝友堂现在使用的世系缺了两代。当时参与修谱的两堂有关人员都知道。在同宗谱卷二《世系源流引》中我们也作了强调和说明。 为避免产生误解,以防以讹传讹,特作以上说明。也请两堂在这次续修通谱前认真考证,实事求是的予以解决。 同宗谱编修委员会

146

主题

3851

回帖

8万

积分

天使

你我是音符,相逢一首歌

积分
85373
发表于 2013-9-5 11:07:46 | 显示全部楼层
是的,有不少没有考证的错误,特别是尚田迁出之前的世系。本家的说明很及时,谢谢!

3

主题

235

回帖

4471

积分

认证会员

积分
4471
发表于 2013-9-5 13:50:08 | 显示全部楼层
本帖最后由 汪达梧 于 2016-7-14 15:29 编辑

前辈你们辛苦了。

18

主题

173

回帖

4804

积分

版主

积分
4804
发表于 2013-9-6 09:11:47 | 显示全部楼层
本帖最后由 汪达梧 于 2016-7-14 15:29 编辑

首先申明本人虽然参与了“五修”,仅仅是参与者,非编纂人,对宗谱不懂,但相信证据。我听说是,两堂差六代,不是八代。六代前两堂一致,后面也是一致,中间六代我们这边是空缺。金寨方面六代很全很细,经研究认为,我们的遗失了。“五修”时我们作为依据补齐了。这边字辈有敦、庸、植、本、基。“本”系达公第九十世。上图有明基写的序。因为上文,才发此言,希冀借此次统修,请相关专门家给予关注、澄清。谨表谢意!

58

主题

135

回帖

5641

积分

风云使者

积分
5641
发表于 2013-9-6 15:51:14 | 显示全部楼层
本帖最后由 汪达梧 于 2016-7-14 15:29 编辑

回八楼楼主: 同宗谱是2003年春开始续修的。达公支下只有孝友堂和应明堂参加。那时汪氏宗亲网尚未创办,宗亲联谊也 不像现在这样活跃。对出现断、错代的问题,除通宗谱有记载的予以纠正外,无记载的我 们都是按各支堂报谱堂的资料编纂的,对存在的问题在有关篇章中作了说明,畱待以后处理。 当时孝 友 堂参与讨论此事的有四人,是在花石一家叫庆盛饭店里进行的,直到夜里下两点才达成协议,此事双 方参会的人都健在(只有一 人去世了),他们对此应该记忆犹新。 至于你说的明基所写的谱序,那都是一年以后的事了,开始时他还没参加。另外还要说明一点的是: 字派与世系是两码事,不可同日而语。
您需要登录后才可以回帖 登录 | 立即注册

本版积分规则

QQ| Archiver|手机版|小黑屋| 汪氏宗亲网

Copyright © 2001-2013 Comsenz Inc.   All Rights Reserved.

Powered by Discuz! X3.5( 皖ICP备2025101776号-1 )

快速回复 返回顶部 返回列表

 34100202000237