查看: 9623|回复: 7

哪位本家的家谱中有这篇谱序!

[复制链接]

26

主题

319

回帖

7313

积分

认证会员

维木有本,维水有源,人之本源,实维祖先;念我汪氏,徽歙婺源。

积分
7313
QQ
发表于 2013-9-23 19:37:22 | 显示全部楼层 |阅读模式
本帖最后由 汪新良 于 2014-6-12 18:26 编辑

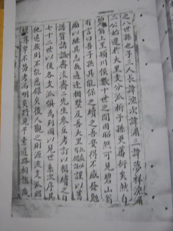
明成化乙酉重修《汪氏族谱》序
      余尝观苏明允作《苏氏谱引》云:情见於亲,亲见於服,服始於衰至缌麻。而至於无服,无服则亲尽,亲尽则情尽,情尽则为途人。然本其初,则一人之身也。以一人之身,而至於途人,此谱之所以作也。三复斯言,深知族氏之不可以无谱矣,然后人不能述其事焉,岂不以亲尽、情尽而忽为途人乎?此谱之所以不可不续其传也。
      吾汪氏之族谱,前人编辑奕叶相传,有自来矣。至七十二世祖碧山翁又加编续,益明且备矣!【善】敬阅之,始知汪氏之有,自鲁成公之次子,生而左手有纹似“汪”,因以为名。既长,仕於鲁。周室受封颍川,后遂以名为姓焉。传至三十一世文和公,为会稽令,遂居新安,历十三世而生越国公。厥后,子孙遭五季之乱,避地迁居四方者不一。纯父公乃越国公之七世孙也,亦以避乱自新安迁居新建,传四世至思立公,自新建迁居唐模。又六世至仁忻公,始居椆墅。掌书大作公乃仁忻公之八世孙也,子三人。长,讳 浤,次,讳 潚,三,讳 梦祥。浤、潚 二公始迁於大里。支分派析,子孙更蕃衍矣。然自碧山翁,上至颍川侯数十世之间,固昭然可见。
       碧山翁有言曰:吾‘子孙能保之续之,吾安得不感发勉励以继其志哉!’适逢椆墅及吾大里(此处必有错误,谨以旧谱质诸谧斋、淡斋二先生,参互考订,以辑续之。自七十二世以后,各支派具为列图以观世系次序,其他远族则不能悉録矣。后人观之,则源流支派昭穆,尊卑昭然,不劳考而明矣。将见於平素道路相值,岁时相迂之际。亲亲之份虽不能无隆杀之殊,而昭穆之伦,爱敬之意,莫不蔼然见於容貌辞气之间。不为无服至亲尽而忽为途人乎。揆厥自来,莫不由斯谱以致之也。岂徒为誇观览而已哉!为后人者能嗣是而传千百世愈久愈盛而弗废坠焉,是以尊祖敬宗之大者也。噫最之哉!

    明成化乙酉(1465年)七十七世孙 善庆、世才 谨识。

146

主题

3851

回帖

8万

积分

天使

你我是音符,相逢一首歌

积分
85373
发表于 2013-9-23 19:51:29 | 显示全部楼层
“适逢椆墅及吾大里谨以旧谱质诸谧斋、淡斋二先生”,这样断句是没有问题的,不存在错误。


看十六族的总谱序就知道了,如果把碧山公的迁徙发上来就什么都明白了。

顺便提醒本家: (浤,潚, 梦祥)三公支系在世谱上记载非常明确。

26

主题

319

回帖

7313

积分

认证会员

维木有本,维水有源,人之本源,实维祖先;念我汪氏,徽歙婺源。

积分
7313
QQ
 楼主| 发表于 2013-9-24 06:41:02 | 显示全部楼层
适逢椆墅及吾大里,是不是后面还有漏掉的字,我总觉读起来不顺,志林本家能解释一下意思吗?括号里的字是清光绪十九年修谱时就有的。

26

主题

319

回帖

7313

积分

认证会员

维木有本,维水有源,人之本源,实维祖先;念我汪氏,徽歙婺源。

积分
7313
QQ
 楼主| 发表于 2013-9-24 06:51:42 | 显示全部楼层
明成化重修谱序

明成化谱序

明成化谱序

12

主题

127

回帖

4224

积分

认证会员

众本家,请帮寻根,老祖先汪永发、元发、开国、远福

积分
4224
发表于 2013-9-24 09:18:19 | 显示全部楼层
相互对照,就清楚了,宗亲们,加油。

146

主题

3851

回帖

8万

积分

天使

你我是音符,相逢一首歌

积分
85373
发表于 2013-9-24 10:36:46 | 显示全部楼层
引用第2楼汪新良于2013-09-24 06:41发表的  :
适逢椆墅及吾大里,是不是后面还有漏掉的字,我总觉读起来不顺,志林本家能解释一下意思吗?括号里的字是清光绪十九年修谱时就有的。
或许有漏掉的字,通读可以加上“相聚”二字断句。

大里就是墅野的分支,即墅野包含大里,我理解这句的意思是这样的:

“刚好碰上墅野本家和我们大里宗亲的聚会,两地相互都把旧谱拿出来寻问(大里)两位先生”

不知道是否正确?

26

主题

319

回帖

7313

积分

认证会员

维木有本,维水有源,人之本源,实维祖先;念我汪氏,徽歙婺源。

积分
7313
QQ
 楼主| 发表于 2013-9-29 20:04:43 | 显示全部楼层

回 5楼(汪志林) 的帖子

谢谢志林本家的释读!这样意思就明确了。

38

主题

683

回帖

1万

积分

新手上路

http://www.iwangs.com/bbs/read

积分
19515
QQ
发表于 2013-9-29 20:44:16 | 显示全部楼层
本人的理解跟志林先生差不多,“适逢稠墅及吾大里”这里的及应该作“至”“来到”的讲。也就是说“刚好稠墅宗亲来到我们大里”的意思。应该没有错。
您需要登录后才可以回帖 登录 | 立即注册

本版积分规则

QQ| Archiver|手机版|小黑屋| 汪氏宗亲网

Copyright © 2001-2013 Comsenz Inc.   All Rights Reserved.

Powered by Discuz! X3.5( 皖ICP备2025101776号-1 )

快速回复 返回顶部 返回列表

 34100202000237