查看: 14926|回复: 6

明清贵州思南府苗民长官司汪氏

[复制链接]

11

主题

34

回帖

1153

积分

精灵王

积分
1153
QQ
发表于 2013-10-12 22:30:10 | 显示全部楼层 |阅读模式
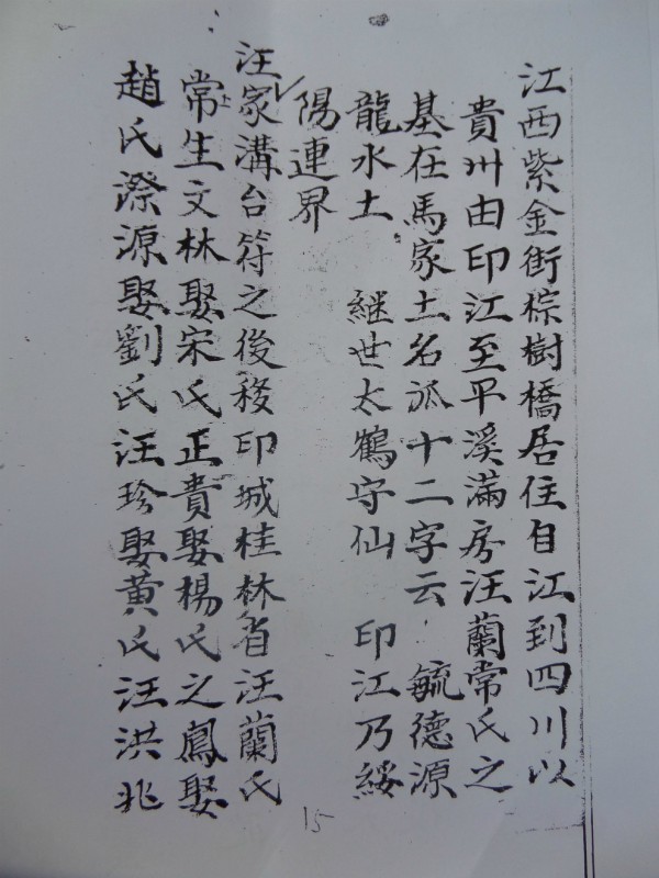
苗民长官司:在思南府西南八十里。本蛮地,名曰壁林。明洪武十年置司,建文初,授土酋汪得英,属思南宣慰司。永乐十一年,改今属。编户二里。汪氏世袭300余年。汪得英原系古州龙里副长官司。
psbCA72MZT4.jpg
psbCA188SLH.jpg
psbCAT4PD7Z.jpg
寻根问祖,了解家庭历史的变迁!

11

主题

34

回帖

1153

积分

精灵王

积分
1153
QQ
 楼主| 发表于 2013-10-12 22:31:10 | 显示全部楼层
呵呵
psbCAYYJH1R.jpg
psu.jpg
寻根问祖,了解家庭历史的变迁!

11

主题

34

回帖

1153

积分

精灵王

积分
1153
QQ
 楼主| 发表于 2013-10-12 22:57:00 | 显示全部楼层
随便发点
QQ图片2013101222555711444.jpg
14444447744.jpg
寻根问祖,了解家庭历史的变迁!

215

主题

5523

回帖

13万

积分

天使

九华汪长富 佛国汪谱迷

积分
131271
发表于 2013-10-13 09:18:56 | 显示全部楼层
        我想知道:在汪得英任苗民司长官的明初时期,汪得英家族有多大规模、多长历史、分支多少世了?

        这个问题很值得研究,如果此前有三十代左右的宗族繁衍历史,那他们就有可能是45世璨公后裔了。

146

主题

3851

回帖

8万

积分

天使

你我是音符,相逢一首歌

积分
85373
发表于 2013-10-14 12:12:03 | 显示全部楼层
希望可以看到汪圭一支的更多信息,不知道是否任职“义兵万户”,如是则与我的考证相符,应该支系明确。

11

主题

34

回帖

1153

积分

精灵王

积分
1153
QQ
 楼主| 发表于 2013-10-20 13:23:33 | 显示全部楼层
汪圭一支改天回老家弄上来
寻根问祖,了解家庭历史的变迁!

11

主题

34

回帖

1153

积分

精灵王

积分
1153
QQ
 楼主| 发表于 2013-11-30 18:22:52 | 显示全部楼层

回 4楼(汪志林) 的帖子

汪圭家谱记载封武成侯,生五子:富、贵、荣、昌、盛,是黔东汪氏人口发展的重要祖宗
image.jpg
寻根问祖,了解家庭历史的变迁!
您需要登录后才可以回帖 登录 | 立即注册

本版积分规则

QQ| Archiver|手机版|小黑屋| 汪氏宗亲网

Copyright © 2001-2013 Comsenz Inc.   All Rights Reserved.

Powered by Discuz! X3.5( 皖ICP备2025101776号-1 )

快速回复 返回顶部 返回列表

 34100202000237