楼主: 汪志林

湖北---达公支系---添智公后裔---联络专贴

[复制链接]

11

主题

40

回帖

903

积分

认证会员

发扬光大

积分
903
QQ
发表于 2009-4-8 00:13:30 | 显示全部楼层
我是湖北省孝感市大悟县姓汪的,我现在是二十二世。谱上记载,兴淑公开始为第一世。夏氏生四子,为思聪、思明、思显、思达,以下有记载。兄弟五人为兴淑公、兴祖公、兴宗公、兴国公和兴成公。从兴淑公开始“始自江南徵州府婺源县迁湖广黄州府麻城县居二年始迁孝邑郭下乡敦厚会石牛寨居住,坟基在旗杆湾”迁往黄州的时间我推算大约是元未明初,三世太华公曾任过山西太华县知县,以此为名太华。谱上说“相传元通祖所生五子兴淑公、兴祖公、兴宗公、兴国公和兴成公”。另外四个弟兄分谱也没记载。从兴淑公以上没有任何记载。这是怎回事?有那位知道的请回一声。我的QQ号:309454416。

146

主题

3851

回帖

8万

积分

天使

你我是音符,相逢一首歌

积分
85373
 楼主| 发表于 2009-4-8 12:03:12 | 显示全部楼层
兴淑公为迁始祖就应该有更多相关资料,希望可以交流共同学习

146

主题

3851

回帖

8万

积分

天使

你我是音符,相逢一首歌

积分
85373
 楼主| 发表于 2009-5-10 20:07:05 | 显示全部楼层
   hehe 040.jpg
hehe 041.jpg
hehe 042.jpg
hehe 043.jpg

146

主题

3851

回帖

8万

积分

天使

你我是音符,相逢一首歌

积分
85373
 楼主| 发表于 2009-5-10 20:09:07 | 显示全部楼层
hehe 044.jpg    hehe 045.jpg    hehe 046.jpg    hehe 047.jpg

146

主题

3851

回帖

8万

积分

天使

你我是音符,相逢一首歌

积分
85373
 楼主| 发表于 2009-5-10 20:11:14 | 显示全部楼层
hehe 048.jpg    hehe 049.jpg    hehe 050.jpg

146

主题

3851

回帖

8万

积分

天使

你我是音符,相逢一首歌

积分
85373
 楼主| 发表于 2009-5-10 20:18:37 | 显示全部楼层
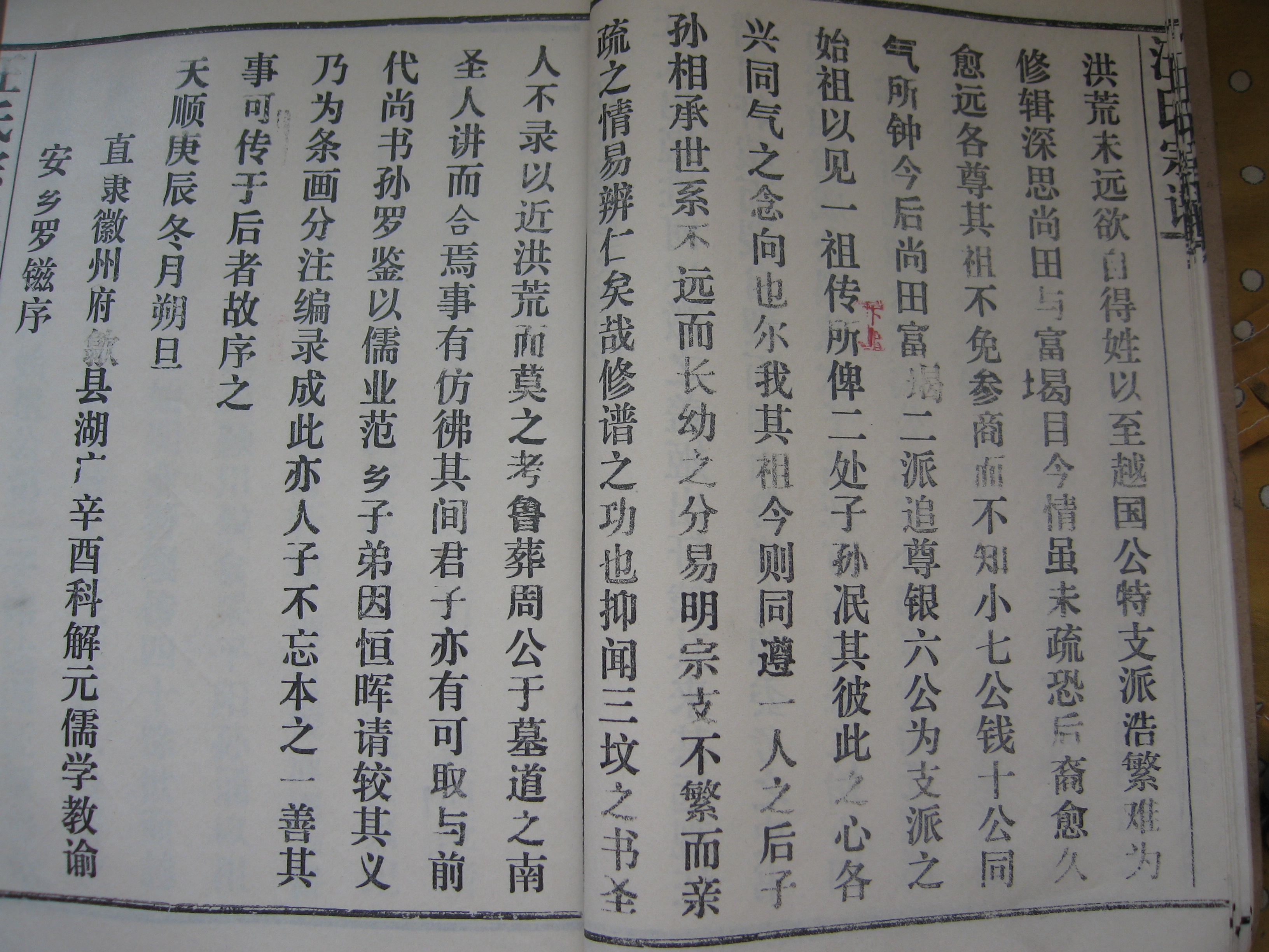
最近松滋本家找我询问世系所以特别为中喜本家贴上些本支系资料 hehe 051.jpg    hehe 052.jpg    hehe 053.jpg    hehe 054.jpg

146

主题

3851

回帖

8万

积分

天使

你我是音符,相逢一首歌

积分
85373
 楼主| 发表于 2009-5-10 20:20:05 | 显示全部楼层
hehe 055.jpg    hehe 056.jpg
25_4_f62bd22c1def52a.jpg

3

主题

7

回帖

162

积分

认证会员

汪中喜(天门--松滋)

积分
162
QQ
发表于 2009-5-11 19:54:01 | 显示全部楼层
呵呵!这谱我1997年回天门老家时看过!
    紫阳--传厚--家祥(保祥)--中喜(忠喜)
达公支系 汪中喜

3

主题

7

回帖

162

积分

认证会员

汪中喜(天门--松滋)

积分
162
QQ
发表于 2009-5-11 19:57:38 | 显示全部楼层
呵呵!我祖辈(传)字辈据我所知,还很有一些健在!孙辈端字辈的也有几个,这可说是五世同堂(未出服的)
达公支系 汪中喜

146

主题

3851

回帖

8万

积分

天使

你我是音符,相逢一首歌

积分
85373
 楼主| 发表于 2009-5-11 20:24:05 | 显示全部楼层
很高兴可以在这里相逢
我是添智公87世所以你在家谱上可以说是88世,呵呵我们的辈分很高很高了,我们这里已经传到91世了
您需要登录后才可以回帖 登录 | 立即注册

本版积分规则

QQ| Archiver|手机版|小黑屋| 汪氏宗亲网

Copyright © 2001-2013 Comsenz Inc.   All Rights Reserved.

Powered by Discuz! X3.5( 皖ICP备2025101776号-1 )

快速回复 返回顶部 返回列表

 34100202000237