查看: 40865|回复: 58

兰江望族(爽公、师全公、道兴公、记公、堪公、乐公、抗公支)------汪山宗谱篇

[复制链接]

38

主题

598

回帖

1万

积分

管理员

积分
19574
发表于 2006-3-7 15:47:37 | 显示全部楼层 |阅读模式
本支汪氏100世裔孙汪友鸿提供:
我族自77世抗公卜居兰溪玉峰(解放后归建德县管辖、现为建德市大慈岩镇汪山村)到现在已有103世出生。




明万历年间我族的父母官汪国楠为婺源大畈进士、道安公(我祖道兴公之兄)裔孙

明万历年间我族的父母官汪国楠为婺源大畈进士、道安公(我祖道兴公之兄)裔孙

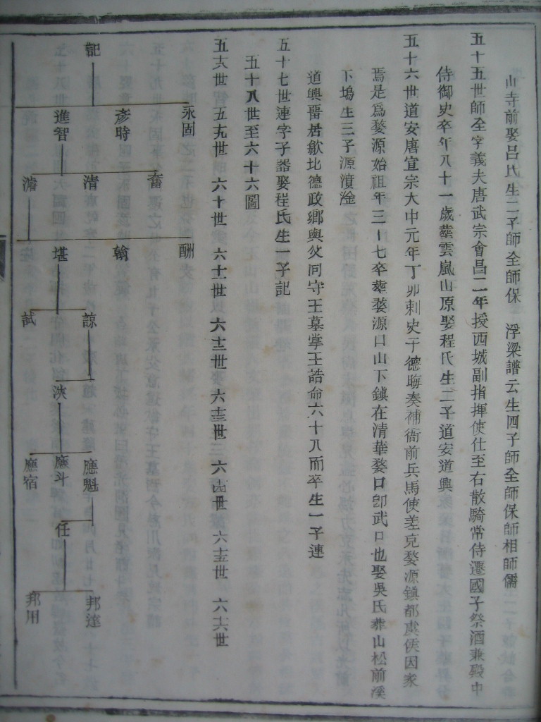
55世师全公下到我支的世系关系。我找到了开化县苏庄镇富户村(原名云台、唐下)的汪姓,我族与他们是60世浚

55世师全公下到我支的世系关系。我找到了开化县苏庄镇富户村(原名云台、唐下)的汪姓,我族与他们是60世浚

70世乐公后的其他迁居裔孙我都知道,不知道堪公后到乐公上是否存在我们的宗亲,我不得知,如有请跟我联系。

70世乐公后的其他迁居裔孙我都知道,不知道堪公后到乐公上是否存在我们的宗亲,我不得知,如有请跟我联系。
  

我族堪公后之行第,本人为敬字辈。

我族堪公后之行第,本人为敬字辈。

1652

主题

7021

回帖

18万

积分

管理员

宏扬汪华文化 共建和谐家园

积分
187475
QQ
发表于 2006-3-7 15:53:50 | 显示全部楼层
这个谱很不错的,友鸿本家给我们看过了。。。
建德市大慈岩镇汪山村也很不错。。。
悟以往之不谏,知来者之可追

17

主题

112

回帖

145

积分

认证会员

信州汪超

积分
145
QQ
发表于 2006-3-7 16:45:50 | 显示全部楼层
浙江本来就是版刻的中心,这份宗谱的雕版工艺比我见到的本支宗谱活字印刷的要精美得多

38

主题

598

回帖

1万

积分

管理员

积分
19574
 楼主| 发表于 2006-3-8 10:40:37 | 显示全部楼层

敦本堂

我族祠堂名为敦本堂为抗公下、扶公下(居兰溪市甘溪乡交井村)共有。与我族世系较近的开化富户村(原地名云台)有务本堂、婺源大畈有知本堂,估计都以X本堂命名。解放前我村祠堂有祭田和族学,具备所有徽州宗祠的功能。



敦本堂建于明万历29年,已有400年了。

敦本堂建于明万历29年,已有400年了。

祠堂中进,有清华大学建筑系教授来考察古建筑,看了祠堂柱石,认为是建于清朝,但是家谱记载确是明末建的。

祠堂中进,有清华大学建筑系教授来考察古建筑,看了祠堂柱石,认为是建于清朝,但是家谱记载确是明末建的。
  

敦本堂也是越国公的忠烈祠

敦本堂也是越国公的忠烈祠

村民会在过年祝福、结婚、农历正月十八越国公生日时祭拜。

村民会在过年祝福、结婚、农历正月十八越国公生日时祭拜。

38

主题

598

回帖

1万

积分

管理员

积分
19574
 楼主| 发表于 2006-3-8 10:47:20 | 显示全部楼层

崇正堂

崇正堂,也叫厅。是族人商议大事、红白喜事大型宴会、丧葬停棺做法事的场所。也是明万历年间建造的,比祠堂略早。据说是村里只有18户人家时建造的,为村里的七房所有,另一房准备自己建厅,当初这房非常兴旺和发达,已准备了厅基,后来家族式微,至今只剩几户人家了。碰到宗亲一般会问支派、行第、堂名,敦本和崇正就是堂名,堂名也就对应一定的世系或者说宗派。原来很多房都有厅,但都不大,现在都不在了。




郎官名叫汪汝祥,兴国县县令,儿子是云阳县主簿,所谓父子联恩。本来厅里有许多牌匾,包括武进士匾。

郎官名叫汪汝祥,兴国县县令,儿子是云阳县主簿,所谓父子联恩。本来厅里有许多牌匾,包括武进士匾。

正厅

正厅

越国公画像,只在过年时悬挂三天。

越国公画像,只在过年时悬挂三天。

戏台

戏台

1652

主题

7021

回帖

18万

积分

管理员

宏扬汪华文化 共建和谐家园

积分
187475
QQ
发表于 2006-3-8 10:48:56 | 显示全部楼层
是啊。。
还有很多地方的家谱只是用手抄抄,。。
财力等方面的限制,但精神可嘉。。。
悟以往之不谏,知来者之可追

38

主题

598

回帖

1万

积分

管理员

积分
19574
 楼主| 发表于 2006-3-8 13:10:06 | 显示全部楼层

村貌

崇正堂需要修缮了,现在还缺乏资金,正在设法筹集,400年了,一定不能让她在我们这代人手里倒了。



崇正堂的墙牌楼

崇正堂的墙牌楼

  

同一片蓝天下的玉峰和崇正堂——鬼斧和人工的和谐

同一片蓝天下的玉峰和崇正堂——鬼斧和人工的和谐

  

村南民居

村南民居

村东南民居

村东南民居

1652

主题

7021

回帖

18万

积分

管理员

宏扬汪华文化 共建和谐家园

积分
187475
QQ
发表于 2006-3-8 13:27:04 | 显示全部楼层
真的很不错
悟以往之不谏,知来者之可追

38

主题

598

回帖

1万

积分

管理员

积分
19574
 楼主| 发表于 2006-3-8 13:38:27 | 显示全部楼层

村局部及全景

有侨居国外多年的华侨,回国一看,到处是水泥森林,感叹:中国之不为中国了,谁都知道只有民族的才是世界的。平遥古镇之所以保护得那么好,其答案谁都想不到,绝不是政府或者民众的功劳,有那里的农民告诉记者,那是因为穷,我到过徽州地区的大部分地方,那里的古建筑也保护得很好,答案也是一样的。穷!难道中国的发展一定得以牺牲环境、文化、道德伦理为代价的吗?



新区新房

新区新房


生于斯长于斯,让我想起“一夜无梦到徽州”

生于斯长于斯,让我想起“一夜无梦到徽州”
  

错落有致的山村

错落有致的山村


村里原来有许多千年古樟,大多毁于大跃进时煎樟脑,文革结束那年我上初中了,村里还砍了颗大樟树,现在只有

村里原来有许多千年古樟,大多毁于大跃进时煎樟脑,文革结束那年我上初中了,村里还砍了颗大樟树,现在只有

902

主题

4154

回帖

8万

积分

管理员

积分
86429
QQ
发表于 2006-3-8 15:54:48 | 显示全部楼层
能保护这样,难得呀!
中国的极左,中原最盛。59年、60年仅唐河一个县饿死多少人,谁也说不清。到处掘墓挖坟,我们迁始祖的墓挖了,墓碑被砸后,烧成石灰(那时以后,在我们这里除了修桥的墓碑,都烧成了灰)了,现在想起来就让人落泪。
河南-汪聚贵
您需要登录后才可以回帖 登录 | 立即注册

本版积分规则

QQ| Archiver|手机版|小黑屋| 汪氏宗亲网

Copyright © 2001-2013 Comsenz Inc.   All Rights Reserved.

Powered by Discuz! X3.5( 皖ICP备2025101776号-1 )

快速回复 返回顶部 返回列表

 34100202000237