查看: 16842|回复: 6

达公之墓在陇西

[复制链接]

11

主题

58

回帖

2154

积分

版主

积分
2154
QQ
发表于 2015-4-5 18:19:41 | 显示全部楼层 |阅读模式
本帖最后由 汪德平 于 2015-4-5 18:51 编辑

达公之墓在陇西,有《陇西金石录》、乾隆《陇西志》等资料为证。

陇西金石录.jpg

11

主题

58

回帖

2154

积分

版主

积分
2154
QQ
 楼主| 发表于 2015-4-5 18:21:24 | 显示全部楼层
本帖最后由 汪德平 于 2015-4-5 18:35 编辑

《陇西金石录(套装共2册)》所收金石史料,以今陇西县地域为范围,同时兼顾民国以前建置辖地。凡散存于外地而关系陇西籍人物者一概收编。作者汪楷为漳县博物馆馆长。
目录
序一
  序二
  前言
  例言
   第一卷 汉唐
  源道丞印封泥 秦代
  襄武口口封泥 秦代
  兰干丞印封泥 秦代
  襄武左尉印 汉代
  兰干左尉印 汉代
  源道左尉印 汉代
  建义护军印 汉代
  陈午私印 西汉
  魏率善羌佰长印 三国·魏
  魏雍州从事张显墓砖 三国·魏
  魏上计掾张胄墓石 三国·魏
  晋率善羌佰长印 西晋
  护羌校尉彭祈碑 西晋
  晋昌太守张隽碑 后秦
  姚秦时碑碣 后秦
  麦积山第九十号石窟题记 北魏
  大佛崖摩崖石刻 北周
  越国公汪达神道碑 贞观后
  李汪墓碑 龙朔元年(661)
  李汪墓志铭 龙朔元年(661)
  皇甫大娘墓志 天宝
  太傅赵憬神道碑铭 贞元十三年(797)
  陇西郡口口口墓志 唐代
   第二卷 宋元(上)
  崇宁铜钟铭 崇宁元年(1102)
  麦积山第一三三号石窟题记 政和元年(1111)
  圈子阖北山摩崖石刻 政和八年(1118)
  八卦图砖 北宋
  封字印章 北宋
  李泽地券石 建炎二年(1128)
  宋故赠检校少保王德神道碑 绍兴二十五年(1155)
  郭氏地券砖 大定十一年(1171)
  胥某氏地券砖 明昌元年(1190)
  王氏地券砖 泰和五年(1250)
  北极殿碑记 金代
  检校司徒何绍祖碑 金代
  万寿禅寺碑 元初
  万卷楼记 至元四年(1267)
  总帅汪世显神道碑 至元四年(1267)
  总帅汪德臣神道碑 至元四年(1267)
  宝庆寺约禁令旨碑 至元十二年(1275)
  重修府城隍庙令旨碑 至元十九年(1282)
  陇西公祠堂遗爱碑 至元十九年(1282)
  中书左丞汪惟正神道碑 至元二十三年(1286)
  巩昌路总管府同知李节神道碑 至元二十七年(1292)
  张清河神道碑 至元
  中书左丞汪良臣墓碑 至元
   第三卷 宋元(中)
  总帅汪惟和神道碑 至元后
  ……
   第四卷 宋元(下)
   第五卷 明代(上)
   第六卷 明代(中)
   第七卷 明代(下)
   第八卷 清代(上)
   第九卷 清代(中上)
   第十卷 清代(中下)
   第十一卷 清代(下)
   第十二卷 民国
  参考文献
  后记
以下为相关内容的复印件:



汪达神道碑.jpg

11

主题

58

回帖

2154

积分

版主

积分
2154
QQ
 楼主| 发表于 2015-4-5 18:27:40 | 显示全部楼层
本帖最后由 汪德平 于 2015-4-5 18:50 编辑

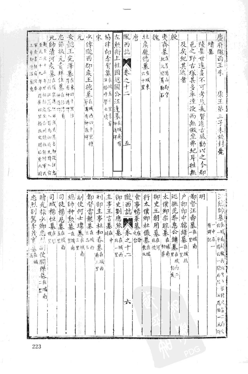
乾隆《陇西志》相关内容复印件:
223.png

215

主题

5523

回帖

13万

积分

天使

九华汪长富 佛国汪谱迷

积分
131271
发表于 2015-4-5 18:36:27 | 显示全部楼层
本帖最后由 九华星云 于 2015-4-5 18:37 编辑

好资料,谢谢楼主,教授本家辛苦了!
另问:三王河支系现在是否有续修族谱的意愿和动向?

11

主题

58

回帖

2154

积分

版主

积分
2154
QQ
 楼主| 发表于 2015-4-5 18:40:33 | 显示全部楼层
本帖最后由 汪德平 于 2015-4-5 18:43 编辑
九华星云 发表于 2015-4-5 18:36
好资料,谢谢楼主,教授本家辛苦了!
另问:三王河支系现在是否有续修族谱的动向?

谢谢长富本家关心!工作已完成大半,今年肯定能出谱。

169

主题

3923

回帖

7万

积分

版主

我是汪洋大海一滴水。

积分
74233
发表于 2015-4-5 20:47:30 | 显示全部楼层
本帖最后由 固始汪德进 于 2015-4-5 20:48 编辑

我是河南,固始,黎集敦睦堂的汪姓人,属达公后裔,总系第九十世,非常感谢您公开的资料,昐进一步沟通联系。
祝汪氏家族枝繁叶茂与日月同辉!

9

主题

25

回帖

806

积分

圣骑士

积分
806
发表于 2015-4-6 12:05:48 | 显示全部楼层
非常珍贵的资料。有助于进一步了解达公之后的陇西汪氏。
您需要登录后才可以回帖 登录 | 立即注册

本版积分规则

QQ| Archiver|手机版|小黑屋| 汪氏宗亲网

Copyright © 2001-2013 Comsenz Inc.   All Rights Reserved.

Powered by Discuz! X3.5( 皖ICP备2025101776号-1 )

快速回复 返回顶部 返回列表

 34100202000237