楼主: 汪代斌

谁知道“六桂堂”到底是怎么个来由的?

[复制链接]

20

主题

132

回帖

2903

积分

精灵王

积分
2903
 楼主| 发表于 2016-2-24 20:20:32 | 显示全部楼层
wm166975 发表于 2016-2-23 19:23
在20多年前我認識一位自稱是六桂堂長子姓洪的人仕,他問我是否六桂堂汪的后人,當時我也不曉得甚麼六桂堂,因 ...

哈哈,与我有些相似,也是27年前,一位莆田翁姓老者对我说,说我可能是六桂堂的汪氏,并给我谱看,当时我也看不懂。现在我在找他的后人,想看看他的谱。

25

主题

794

回帖

1万

积分

光明使者

(建公支)大埔秋房(源清公)惠州(

积分
16941
QQ
发表于 2016-2-24 22:46:32 | 显示全部楼层
我的資料是一個從泰國來香港的汪姓給我的

20

主题

132

回帖

2903

积分

精灵王

积分
2903
 楼主| 发表于 2016-2-25 19:57:24 | 显示全部楼层
wm166975 发表于 2016-2-24 22:46
我的資料是一個從泰國來香港的汪姓給我的

看来这六桂,可能是六个姓氏联合称为六桂,并不是翁氏改成六个姓氏而来的。

25

主题

794

回帖

1万

积分

光明使者

(建公支)大埔秋房(源清公)惠州(

积分
16941
QQ
发表于 2016-2-25 20:03:17 | 显示全部楼层
這應該不是六个姓氏联合称为六桂

20

主题

132

回帖

2903

积分

精灵王

积分
2903
 楼主| 发表于 2016-2-25 20:14:15 | 显示全部楼层
wm166975 发表于 2016-2-25 20:03
這應該不是六个姓氏联合称为六桂

那还有哪种情况?

25

主题

794

回帖

1万

积分

光明使者

(建公支)大埔秋房(源清公)惠州(

积分
16941
QQ
发表于 2016-2-25 22:49:10 | 显示全部楼层
其實你要知道的不是六桂堂的來歷,是你老祖宗為何要考你智慧才真?

151

主题

3512

回帖

10万

积分

天使

“参天之树,必有其根;怀山之水

积分
106455
发表于 2016-2-27 15:32:00 | 显示全部楼层
wm166975 发表于 2016-2-23 19:23
在20多年前我認識一位自稱是六桂堂長子姓洪的人仕,他問我是否六桂堂汪的后人,當時我也不曉得甚麼六桂堂,因 ...

这个没有奇怪,20多年前很多闽南人和海外侨胞都是先接触到六桂堂。从来没有看过谱。所以不要自责。那为什么会出现六桂堂呢?而且是在沿海和海外出现呢?当时社会动乱,民不聊生。小姓往往被人欺负。所以出现了六桂堂,六个姓的力量大。到现在,特别是沿海和海外一年一度的六桂堂年会开的非常大,非常好。目的只有一个团结就是力量。特别是做生意和当官的更需要力量和人脉啊。
树有根,水有源,人有祖。

25

主题

794

回帖

1万

积分

光明使者

(建公支)大埔秋房(源清公)惠州(

积分
16941
QQ
发表于 2016-2-27 23:46:09 | 显示全部楼层
六桂堂
0001.jpg
0002.jpg
0003.jpg
0004.jpg

25

主题

794

回帖

1万

积分

光明使者

(建公支)大埔秋房(源清公)惠州(

积分
16941
QQ
发表于 2016-2-27 23:48:59 | 显示全部楼层
洪,江氏
0005.png
0006.jpg
0007.jpg
0008.jpg

25

主题

794

回帖

1万

积分

光明使者

(建公支)大埔秋房(源清公)惠州(

积分
16941
QQ
发表于 2016-2-27 23:52:35 | 显示全部楼层
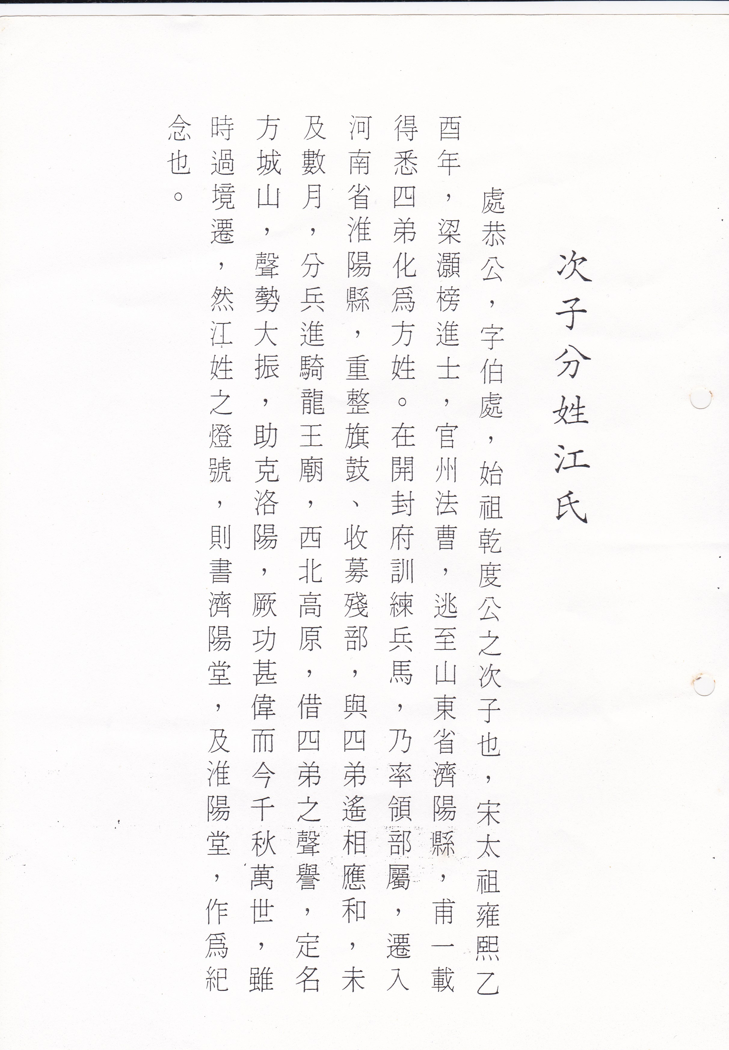
翁,方氏
0009.jpg
0010.jpg
0011.jpg
0012.jpg
您需要登录后才可以回帖 登录 | 立即注册

本版积分规则

QQ| Archiver|手机版|小黑屋| 汪氏宗亲网

Copyright © 2001-2013 Comsenz Inc.   All Rights Reserved.

Powered by Discuz! X3.5( 皖ICP备2025101776号-1 )

快速回复 返回顶部 返回列表

 34100202000237