查看: 15573|回复: 12

请问哪位本家知道浙江开化苏庄镇的汪姓是哪一分支的

[复制链接]

46

主题

84

回帖

5996

积分

风云使者

积分
5996
发表于 2006-11-6 12:12:59 | 显示全部楼层 |阅读模式
请问哪位本家知道浙江开化苏庄镇的汪姓是哪一分支的
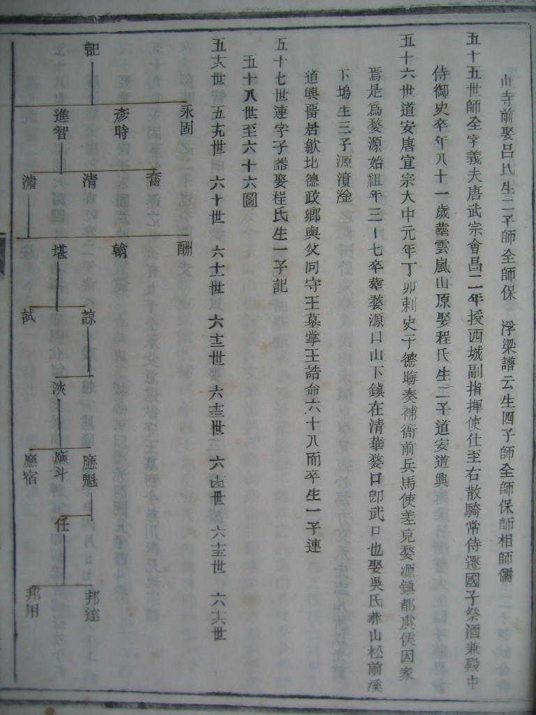
[move] 我们一直在努力!!! [/move] [fly]   QQ:442403121    浙江QQ群;32741402 [/fly] 45世爽公-56世道兴公-58世记公(唐下派)-61世煨公-68世福公

38

主题

598

回帖

1万

积分

管理员

积分
19574
发表于 2006-11-6 12:42:50 | 显示全部楼层
知道啊,我去过富户看过家谱。那里的家谱很全。http://www.iwangshi.com/bbs/read ... ;toread=&page=1

21

主题

208

回帖

1万

积分

认证会员

积分
13082
发表于 2006-11-6 20:00:57 | 显示全部楼层
汪正荣是哪儿的?我是苏庄镇樟田村的。
45世爽公--56世道兴公(歙县布政乡归化里)--58世记公(开化云台)--61世翰公(开化唐下)--67世照公(开化漳田)--84世圭准公(漳田)--90世人骅公(漳田)

46

主题

84

回帖

5996

积分

风云使者

积分
5996
 楼主| 发表于 2006-11-9 12:29:49 | 显示全部楼层
加付,你好,我是茶岭的,我QQ44243121
[move] 我们一直在努力!!! [/move] [fly]   QQ:442403121    浙江QQ群;32741402 [/fly] 45世爽公-56世道兴公-58世记公(唐下派)-61世煨公-68世福公

38

主题

598

回帖

1万

积分

管理员

积分
19574
发表于 2006-11-9 12:33:54 | 显示全部楼层
咱们仨都是记公的后代。

46

主题

84

回帖

5996

积分

风云使者

积分
5996
 楼主| 发表于 2006-11-9 12:54:57 | 显示全部楼层
wang100本家,你哪的,你对我们那的情况很了解,到时要多多请教你了
[move] 我们一直在努力!!! [/move] [fly]   QQ:442403121    浙江QQ群;32741402 [/fly] 45世爽公-56世道兴公-58世记公(唐下派)-61世煨公-68世福公

38

主题

598

回帖

1万

积分

管理员

积分
19574
发表于 2006-11-9 13:16:39 | 显示全部楼层

46

主题

84

回帖

5996

积分

风云使者

积分
5996
 楼主| 发表于 2006-11-10 13:18:42 | 显示全部楼层
各位本家,你们说是同一支系,你们看的家谱多,我想问问,我们那的祖宗是从哪迁来的呢,能否从44世世华公起来续一续呢,即从大风的总系(网络版)始
[move] 我们一直在努力!!! [/move] [fly]   QQ:442403121    浙江QQ群;32741402 [/fly] 45世爽公-56世道兴公-58世记公(唐下派)-61世煨公-68世福公

21

主题

208

回帖

1万

积分

认证会员

积分
13082
发表于 2006-11-16 18:27:29 | 显示全部楼层
这次回了趟家,好象正荣应该是我叔叔汪灶春在高中时的同班同学吧!不知你春节回家不?如果回家咱一起去附过几个村子去找找家谱,可能会有意想不到的收获。 [s:2]
45世爽公--56世道兴公(歙县布政乡归化里)--58世记公(开化云台)--61世翰公(开化唐下)--67世照公(开化漳田)--84世圭准公(漳田)--90世人骅公(漳田)

38

主题

598

回帖

1万

积分

管理员

积分
19574
发表于 2006-11-16 19:32:25 | 显示全部楼层
55世前的网上很多了。
IMG_0030.JPG
IMG_0031.JPG
您需要登录后才可以回帖 登录 | 立即注册

本版积分规则

QQ| Archiver|手机版|小黑屋| 汪氏宗亲网

Copyright © 2001-2013 Comsenz Inc.   All Rights Reserved.

Powered by Discuz! X3.5( 皖ICP备2025101776号-1 )

快速回复 返回顶部 返回列表

 34100202000237