查看: 27412|回复: 26

天集和地集

[复制链接]

10

主题

1091

回帖

3万

积分

光明使者

积分
30911
发表于 2006-11-9 10:25:45 | 显示全部楼层 |阅读模式
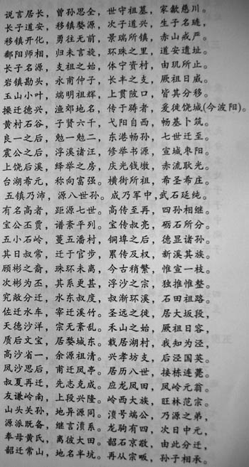
先祖修谱书时以四字为句,把各地支承祖和所迁之地分为天集和地集编写成书,现传上来,希望各位本家对号入坐,并能找到各自的支承祖,当然,这不是绝对的正确,历加上我地区编修谱书时因校对不细,难免有误之处,

10

主题

1091

回帖

3万

积分

光明使者

积分
30911
 楼主| 发表于 2006-11-9 10:28:20 | 显示全部楼层
第一篇
DSCN1504.JPG

10

主题

1091

回帖

3万

积分

光明使者

积分
30911
 楼主| 发表于 2006-11-9 10:29:11 | 显示全部楼层
第二篇
DSCN1505.JPG

10

主题

1091

回帖

3万

积分

光明使者

积分
30911
 楼主| 发表于 2006-11-9 10:30:11 | 显示全部楼层
第三篇
DSCN1506.JPG

10

主题

1091

回帖

3万

积分

光明使者

积分
30911
 楼主| 发表于 2006-11-9 10:30:44 | 显示全部楼层
第四篇
DSCN1507.JPG

10

主题

1091

回帖

3万

积分

光明使者

积分
30911
 楼主| 发表于 2006-11-9 10:31:35 | 显示全部楼层
第五篇
DSCN1508.JPG

10

主题

1091

回帖

3万

积分

光明使者

积分
30911
 楼主| 发表于 2006-11-9 10:32:21 | 显示全部楼层
天集和地集
DSCN1509.JPG

10

主题

1091

回帖

3万

积分

光明使者

积分
30911
 楼主| 发表于 2006-11-9 10:33:02 | 显示全部楼层
天集和地集
DSCN1510.JPG

10

主题

1091

回帖

3万

积分

光明使者

积分
30911
 楼主| 发表于 2006-11-9 10:33:49 | 显示全部楼层
天集和地集
DSCN1511.JPG

10

主题

1091

回帖

3万

积分

光明使者

积分
30911
 楼主| 发表于 2006-11-9 10:34:16 | 显示全部楼层
天集和地集
DSCN1512.JPG
您需要登录后才可以回帖 登录 | 立即注册

本版积分规则

QQ| Archiver|手机版|小黑屋| 汪氏宗亲网

Copyright © 2001-2013 Comsenz Inc.   All Rights Reserved.

Powered by Discuz! X3.5( 皖ICP备2025101776号-1 )

快速回复 返回顶部 返回列表

 34100202000237