查看: 14281|回复: 18

爽公-道兴公支系(唐下派)

[复制链接]

46

主题

84

回帖

5996

积分

风云使者

积分
5996
发表于 2006-11-17 15:42:23 | 显示全部楼层 |阅读模式
本人查看了网上,尚未有本支系61世以下的资料,望各本家续之.


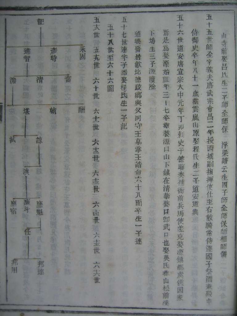
四五世  爽   字子开。贞观三年(629)己丑十二月二十日卯时生。贞观十八年任右武卫,永徽五年任左屯勋府,总章二年(669年)选授岐工府兵曹参军。高宗咸亨四年癸酉(673)六月初九日巳时卒。公笃学好士,以忠孝自任,宾客造门,皆吐哺握发迎侍。宋乾道八年封忠德侯,庆元五年封忠德顺助广休协贶侯,后至元代历封忠佑侯、祟和衍烈公。娶闵氏卒,继娶江阴戴公圭铭女,高祖武德元年戊寅(618)二月十三日午时生,高宗调露元年己卯(679)七月十八日戌时卒。合葬绩溪县十一都三图土名七塔古惠井旁,俗号为“七王坟”,以公行七也。生子二  处礼  处贵
四六世  处礼  字元宪。妣劳氏。
处贵  字元实,或字仕博,号文愈。应孝廉不捷。卒葬宜州太平县。娶王氏(或稽氏,继沈氏)。生子二  愤  悱(或太元)
四七世   愤   字可善。太学博士。妣吕氏。生子一  仁重
悱   讳泰元,字志道。居太平,年四十卒,葬父墓侧。娶鲍氏。生子二  仁素  仁恭
四八世  仁重  字廷贵。迪功郎。妣彦氏。
仁素  字廷学,一字德儒。唐中宗嗣圣(684)中,由太平随子任迁居泾县。年八十一卒,葬居侧。配王妣。生子二    凤思  风林
仁恭  另提
四九世  凤思  字子仪。唐肃宗乾元元年(758年)戊戌授歙县令,复居故里慈菰。卒葬绩溪汪里村南山下。娶何氏。生子四  文秀(或名鲸,字文秀)  文景(或名鳞,字文景)  文相  文希
凤林  又名伦。另提
五十世  文秀  字焕章。登进士第,授绩溪令。居绩溪。唐玄宗开元(713-741)初,公作老谱序。娶赵氏。生子二  陞  階  享年54岁,葬绩溪县龙须乡西山下。
五一世   陞   字行璿,或字君玉。逐寇有功,授中散大夫、卫尉卿。娶王氏。  
生子七  说言  审言  纳言  昌言  慎言  谨言  真言(或说生子七:说言、说审、说纳、说昌、说慎、说真、说谠)  葬绩溪县胡里村。
         階   字行节。唐左卫大将军。生子二  正言  察言
五二世  说言  字昌宗。以祖父勋授云麾将军,充歙、宣等六州都辖御
              史。娶李氏  生子三  咸  穆  晋  葬歙县。
        审言  生子三  知济  知润  知游  
昌言  生子一  师道
五三世   咸   字广之。袭勋授睦州绩溪令。娶陈氏。俱葬绩溪石照山。
              生子一  浚
         穆   迁绩溪闾川。另提。
         晋   迁绩溪闾川。
五四世   浚   字文渊。唐左骑常侍。博通经史,文武双全,举贤不第,弃文就武。重修宗谱。享年九十三岁,卒葬歙西葛塘山寺前。娶吕氏。生子二  师全  师保           
五五世  师全  字义夫。唐武宗会昌二年壬戌(842年)授本州四面城池副指挥使,国子监祭酒。享年八十一岁,卒葬云岚山。娶王氏。生子二  道安  道兴
师保  生子一  錡
五六世  道安  字成泰,或元振。唐大中元年(847)丁卯刺史于德海,以补充衙前兵马司差充婺源镇都虞侯,总戎婺源,因家焉。为婺源始祖。年三十七卒,葬婺源五口山。像赞载:宋追封平阳王。娶吴氏,
葬山松前溪下坞。娶吴氏,生子三  源  濆  淦(早卒)  道安公治第名大田。
  道兴  居歙德政乡,世掌越国公诰命。生子一  连
五七世   连   字子器。娶程氏,生子一  记
五八世   记   字思问。天福四年为指挥使,守开化,留隍寨;南唐受禅后官守如初,遂居云台唐下。乾宁二年乙卯生,建隆二年辛酉四月二十七日殁。配章妣,生子四  永固  彦时  进智  范  合葬唐下畈心。
五九世  永固  事父同迁,承父意还歙守王墓慈川。生子五
        彦时  迁西安。
进智  守父业。妣许氏,生子三  奋  清  濬
范   迁浮梁凤栖派。
六十世   奋   字伯煇,迁休宁新城。
         清   字子源。生子二  煨  向
濬   妣章氏,生子四  酬  翰  堪  宏(殇)  葬唐下仁甫山后。
六一世   煨   唐下派。
         向   上村派。
         翰   字云章,行五七。生子四  乐  升  分  飒  
堪   字用德。迁严陵六漕巷口,为严陵始祖。妣蒋氏,生子二  谅  试  合葬西门外
[move] 我们一直在努力!!! [/move] [fly]   QQ:442403121    浙江QQ群;32741402 [/fly] 45世爽公-56世道兴公-58世记公(唐下派)-61世煨公-68世福公

184

主题

1854

回帖

4万

积分

新手上路

我给自己取字慈言,号白石山人。

积分
42615
QQ
发表于 2006-11-17 15:44:52 | 显示全部楼层
我们是一支的!具体请看http://www.iwangshi.com/bbs/read.php?tid=2550
[s:1]

184

主题

1854

回帖

4万

积分

新手上路

我给自己取字慈言,号白石山人。

积分
42615
QQ
发表于 2006-11-17 15:48:47 | 显示全部楼层

爽公-道兴公支系(玉山派)

我们的字辈应该是一样的!我是慈行的!

玉山汪氏一直严守堪公所立字辈,但是却从未以字辈取名.

玉山汪氏一直严守堪公所立字辈,但是却从未以字辈取名.

184

主题

1854

回帖

4万

积分

新手上路

我给自己取字慈言,号白石山人。

积分
42615
QQ
发表于 2006-11-17 16:00:38 | 显示全部楼层

六十一世堪公近世谱系

我族现在人口1096人,居浙江省建德市汪山村

堪公

堪公
2.jpg
3.jpg

玉山始祖抗公

玉山始祖抗公

46

主题

84

回帖

5996

积分

风云使者

积分
5996
 楼主| 发表于 2006-11-17 16:12:00 | 显示全部楼层
谢谢汪胜忠本家,我们是61世前为同支,但至今我未看到61世煨公(唐下派)资料,我村的家谱我以前看过好像字辈不一样的,但具体怎样要过年回家看的
[move] 我们一直在努力!!! [/move] [fly]   QQ:442403121    浙江QQ群;32741402 [/fly] 45世爽公-56世道兴公-58世记公(唐下派)-61世煨公-68世福公

46

主题

84

回帖

5996

积分

风云使者

积分
5996
 楼主| 发表于 2006-11-17 16:17:13 | 显示全部楼层
哦,不知汪胜忠本家为几世,我为94世,我村离唐下三里.
[move] 我们一直在努力!!! [/move] [fly]   QQ:442403121    浙江QQ群;32741402 [/fly] 45世爽公-56世道兴公-58世记公(唐下派)-61世煨公-68世福公

38

主题

598

回帖

1万

积分

管理员

积分
19574
发表于 2006-11-17 17:21:26 | 显示全部楼层
“五九世 永固 事父同迁,承父意还歙守王墓慈川。生子五
    彦时 迁西安”。知道吗?这西安可不是陕西西安,而是衢县。

184

主题

1854

回帖

4万

积分

新手上路

我给自己取字慈言,号白石山人。

积分
42615
QQ
发表于 2006-11-17 17:26:53 | 显示全部楼层
我是99世,慈行.
wang100是100世,敬行!

46

主题

84

回帖

5996

积分

风云使者

积分
5996
 楼主| 发表于 2006-11-18 14:56:44 | 显示全部楼层
wang100本家,你好,西安是衢县有根据吗,
[move] 我们一直在努力!!! [/move] [fly]   QQ:442403121    浙江QQ群;32741402 [/fly] 45世爽公-56世道兴公-58世记公(唐下派)-61世煨公-68世福公

46

主题

84

回帖

5996

积分

风云使者

积分
5996
 楼主| 发表于 2006-11-23 13:14:40 | 显示全部楼层
开化汪姓
  主要聚居在苏庄、芳村、村头、马金、何田、塘坞、霞山、徐塘、齐溪等乡镇。其迁徙渊源大致如下:


  齐溪上村汪氏 原籍休宁璜源,宋初时汪远始迁,后裔分支仁宗坑,丰盈坦等地。

  
  马金江村汪氏 原籍歙县篁墩,宋开宝间汪祖圣始迁,后裔分支霞田、底本、青阳、石柱、岭里、柴家、方家。

  芳林长庆汪氏 原籍遂安丁山,宋时汪丙山始迁来,后裔分迁武川、后村、忻岸。

  何田皂底汪氏 原籍婺源五镇,宋咸乎年间迁来,后裔分迁高园、丘畈、瓜峰。

  塘下汪氏 原籍歙县,南唐间汪记始迁,后裔分迁茗川、富户、富楼、焦川、高坑、方坡、漳田、茶岭等地。
[move] 我们一直在努力!!! [/move] [fly]   QQ:442403121    浙江QQ群;32741402 [/fly] 45世爽公-56世道兴公-58世记公(唐下派)-61世煨公-68世福公
您需要登录后才可以回帖 登录 | 立即注册

本版积分规则

QQ| Archiver|手机版|小黑屋| 汪氏宗亲网

Copyright © 2001-2013 Comsenz Inc.   All Rights Reserved.

Powered by Discuz! X3.5( 皖ICP备2025101776号-1 )

快速回复 返回顶部 返回列表

 34100202000237