查看: 15164|回复: 2

发几张嵊州汪氏家谱3

[复制链接]

6

主题

4

回帖

1152

积分

精灵王

积分
1152
发表于 2006-11-22 20:24:02 | 显示全部楼层 |阅读模式
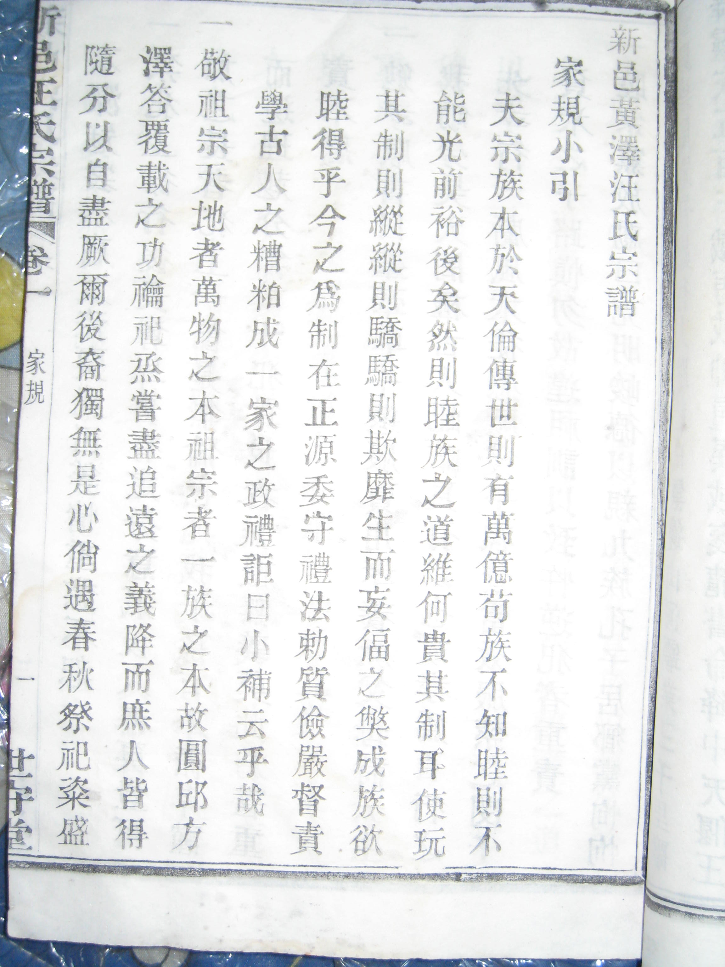
IMG_0047.jpg
IMG_0051.jpg
IMG_0048.jpg
IMG_0053.jpg

38

主题

598

回帖

1万

积分

管理员

积分
19574
发表于 2006-11-22 22:21:50 | 显示全部楼层
新邑是哪儿?

6

主题

4

回帖

1152

积分

精灵王

积分
1152
 楼主| 发表于 2006-11-23 09:19:26 | 显示全部楼层
新邑就是新昌。解放前黄泽是属于浙江新昌的,解放后黄泽是属于嵊州了。
您需要登录后才可以回帖 登录 | 立即注册

本版积分规则

QQ| Archiver|手机版|小黑屋| 汪氏宗亲网

Copyright © 2001-2013 Comsenz Inc.   All Rights Reserved.

Powered by Discuz! X3.5( 皖ICP备2025101776号-1 )

快速回复 返回顶部 返回列表

 34100202000237