查看: 35282|回复: 17

汪氏文化研究第一期-汪世显家族史

[复制链接]

1652

主题

7021

回帖

18万

积分

管理员

宏扬汪华文化 共建和谐家园

积分
187475
QQ
发表于 2006-3-1 13:32:37 | 显示全部楼层 |阅读模式
汪氏文化研究第一期-汪世显家族史
    原文:http://www.zhangxian.gansu.gov.cn/wswh.htm

   

    汪氏文化研究

     

    第一期

     

     

    创刊寄语

     

     

    我看到的汪世显家族史

     

     

    从元代官制看汪氏家族的权力和地位

     

     

    有关《陇右王汪氏世家勋德录》的几个问题

     

     

    汪氏家族在元代的政治地位和政治势力及其发展变化

     

    《汪陵丰碑》

     

     

     

    顾 问: 赵玉忠

    主 编: 李兴华

    编 辑: 陈友庆

   


--------------------------------------------------------------------------------

    悟以往之不谏,知来者之可追



      发贴时间:2005-12-21 1:31:52



大风
级别 总站长
财富 ******
文章 232
注册 2005-12-16

   § § § § § § § 第2楼  

创 刊 寄 语
    创 刊 寄 语

   

   

     漳县汪家坟元墓群是国内罕见的元代墓葬群,专家称为“海内之最”。它的墓主是元代陇右汪氏家族的主要成员,该家族是我国历史上一个出了“三王十国公”的非同寻常的家族。但由于种种原因,历来鲜为人知。随着我国文化事业、旅游事业的大发展,人们对民族、先祖的历史认同感日益深化,汪家坟元墓群所具有的文化内涵、旅游前景、考研价值、凝聚力量都逐渐显现。鉴于县内及外界对汪氏家族及元墓群的认识尚十分有限,很多人兴趣十足,心情迫切,但却知之甚少,对外界的宣传也十分薄弱,各种因素都制约着对元墓群的开发利用。近年来县内有识之士呼吁打破沉默局面,认真开展对汪氏及元墓群的研究、宣传声浪日高。二00四年伊始,县政协及县文教体育局、文物管理所协商组成“汪氏文化研究会筹备小组”,开始着手对汪氏家族及元墓群的研究考查及宣传工作,并决定先办一个简单的学刊之类的刊物,名之为《汪氏文化研究》,不定期出刊。该刊所发稿件内容包含对汪氏家族(以陇右汪氏家族为主,其中又以元代陇右汪氏人物为重点)和元墓群的考查、探究及普及宣传文章。也可适当选用有关逸闻、传说及诗词楹联等。热忱欢迎县内外专业及业余爱好人士不吝赐稿。

     这是一个简单的起始,又是一个意义深远的开端。我们希望从这最初的一步开始,迈向具有美好前景的未来,让历史赐予漳河岸边的这颗明珠——汪家坟元墓群在新世纪放射出它应有的光彩,让汪氏文化凝聚起海内外千千万万汪氏后裔及有关人士的智慧和力量,共同关注和谋求汪氏故里——漳县的发展和繁荣进步。

   


--------------------------------------------------------------------------------

    悟以往之不谏,知来者之可追



     发贴时间:2005-12-21 1:32:26



大风
级别 总站长
财富 ******
文章 232
注册 2005-12-16

   § § § § § § § 第3楼  

我看到的汪世显家族史1
    我看到的汪世显家族史

     

   

     漆永祥

   

   

     一

     我们漳县不仅在全国,即在甘肃而言,也是一个小县。过去修的《县志》,都已不存,民国时邑人韩世英所修《重修漳县志》也说,全县只不过是一块“弹丸黑子”之地。从开天辟地以来,在这块山清水秀的土地上,除了高产苦难与贫困外,没有产出过使全县人民增光添彩的有名人物,确实让大家既垂头丧气又无可奈何。然而,历史发展到了元代,这种境况突然改变,在漳县如旱地拔葱般冒出了一窝子英雄——汪氏家族。

     我打记事起,就听爷爷讲老汪家那些悬悬虚虚、稀奇古怪的事儿。尤其是有两件事更是刻骨铭心地忘不了:一件是关于汪氏发迹的传说。据说当年有人在汪氏祖茔之地,也就是现在漳河岸边的徐家坪打土石,掘到一块很大的鹅卵石状的东西,击破之后流出一股溪水,奔流东去,当快要流到漳河岸边的时候,恰巧碰到一位农妇在河边洗不洁之物,那股溪水立时干涸。我的爷爷每讲到此,就十万分遗憾地说,如果那水能流入漳河,则必将汇入渭河,然后再入黄河,那样后来的汪氏便不仅仅是当“西北王”,而是要做真龙天子了。爷爷每每说罢,就学着孔夫子的样子,轻轻地摇摇头而又重重地叹息道:“命也夫!命也夫!”到我上了小学,学了地理课,懂得黄河还要流入海中,那遗憾就更大,常想要是那股水能由黄河入海,再周流全球,汪氏岂不要统治世界。如真那样,天下大同了,也就不会有“美帝”与“苏修”这些反动派和我们作难了。

     另一件事,是关于汪氏坟茔的事。老辈们讲在汪氏祖坟中,有直通陇西城的暗道机关,还有无数的飞刀飞箭,如果谁敢盗墓,墓中就会千刀雷动、万箭齐发,将盗墓者剁成肉酱、射成蜂窝。而且据说在半夜经过汪氏祖茔时,就能听到墓中钟鼓的响鸣,有时还会有军队操练的声音,令人毛骨悚然。上个世纪七十年代,正是全国人民在毛主席的号召下“农业学大寨”的吃紧时期,汪氏祖坟因长期河水冲刷露出地面被发现,由甘肃省文物考古队及本县文化馆进行发掘,挖出许多的文物,但唯独没有飞刀飞箭,这才戳穿了汪氏祖坟的神话。等我长到能自己走路去汪氏祖茔看的时候,文物早已为政府妥善保存,那里只剩下一些砖窑般被钢筋门锁住的黑洞而已。

     传说总是如此光怪陆离而又充满神秘色彩,既诱人又诡谲。上高中后,我几乎每次回家都要经过那里。傍黑时节,夕阳在天边抹出一缕渗人的血红,晚风吹树,凄凄有声,在那些阴森森的黑洞前走过,我总觉得似有飞刀飞箭要出来将我射杀,端是怕的要命,于是就抱头狂奔,绝尘而去。

    我在汪氏祖坟前来来往往走了五年,也心惊胆颤了五年,胡思乱想了五年,汪氏家族的发迹史深入我心,使我疑信不定,挥之不去,历久弥滋。到现在也很难说清楚,是不是就是这么一个简单的原因,当我经过“黑色七月”的拼杀,终于踉踉跄跄地走出深山,上了我的祖先从未梦想到的大学后,竟然鬼使神差般地来到黄河岸边的一座美丽校园,成了西北师范学院历史系的本科生。

     二

     八十年代初的黄河水,还不像今天这样污染严重,虽然水浊,但无异味。炎炎夏日,河风吹来,凉爽倍增。我经常一个人去河边,将两腿伸在泥水里,两手肘着发懵的脑袋,愣愣地望着河水东去;但更多的时候是一大帮同学坐在乱石岸上瞎聊。低年级历史系的学生,在无聊时就给各自的乡先贤排坐次,比一比谁的乡先贤名气更大。因为同学多来自甘肃本省,所以我的乡先贤老汪家自然比不过陇西的唐朝皇帝李世民、天水的汉代“飞将军”李广等老李家,但比之于历史上没有出过什么厉害人物的县份,或者羞于提汉末的奸臣董卓和我比的临洮籍同学而言,我的乡先贤老汪家还是给我脸上着实增了不少的光彩。于是,一半是为了弄清我那蓄疑已久的汪氏发迹史,一半是为了在和别人争吵时增加说服力,我便掉着书袋硬着头皮去读《元史》。《元史·汪世显传》说:汪世显,字仲明,巩昌盐川(即今甘肃漳县盐井乡)人。系出旺古族。仕金,屡立战功,官至镇远军节度使、巩昌便宜总帅。金平,郡县望风款附,世显独守城,及皇子阔端驻兵城下,始率众降。皇子曰:“吾征四方,所至皆下,汝独固守,何也?”对曰:“臣不敢背主失节耳。”又问曰:“金亡已久,汝不降,果为谁耶?”对曰:“大军迭至,莫知适从,惟殿下仁武不杀,窃意必能保全阖城军民,是以降也。”皇子大悦,承制锡世显章服,官从其旧。

     我本来对汪世显不战死尽忠颇为不满,可是读了这段文字,倒有些感动,我的这位乡先贤为了保护全城军民的性命,辱身降元,使陇西城中百姓免受生灵荼炭之苦,这种不计较个人荣辱而“处处为人民利益着想”的精神,陡然使我对他更增加了几分礼敬。汪世显降元和他说的一番马屁话,使他既保住了一城百姓和一方的安宁,也保住了他原有的地位。此后,汪氏便占有了秦陇二十四州之地,在元军攻打南宋时,汪氏父子成为开路先锋,杀向四川,所向披靡,加速了南宋的灭亡。终元一代,汪氏封王者3人,封公者11人,娶元宗室公主者3人,联珪叠组,威不可当,遂成为陇右望族和名符其实的“西北王”,被忽必烈称为是“陇右风尘天一柱”,其势力范围所及,达今甘肃东部、陕西及四川的大部分地区,成为有元一代传世最久的世侯世官。到了明朝,因为秦陇地区已经成了内陆,其地理位置早已失去了军事上的重要地位,汪氏家族的衰落,就成自然而然的事了。

     三

     但这里又出现了一个问题,即“旺古族”三字。汪氏究竟是胡是汉?于是我先去查方志,省志与府志的汪世显传记多采自《元史》,没参考价值,但《重修漳县志》所载与《元史》却大大不同,说汪氏之先为周武王时周公子伯禽的后裔,因生下来时左右手有“水”、“王”之纹,因名为“汪”,是为“姬汪”,后来子孙相继,66传而至汪世显,遂一跃而起,说的有板有眼,挺象回事儿。

    同一家族渊源,《史》、《志》所论,一为周公之后,一为边鄙苗裔,相差如此悬殊,更使我疑惑不解。于是我又去查更原始的史料,然而,不查不知道,一查吓一跳。让人可气的是,元代人对汪氏家族来历的记述本身就有分歧,当时文人杨奂的《汪世显神道碑》中称汪氏之先“系出南京徽郡之颖川”;而王鹗为汪世显次子汪德臣所撰《神道碑》中又称“汪本姬姓,宋末金初,世掌盐川之一隅汪骨族,因氏焉”;而大文豪姚燧给汪世显长子汪忠臣所撰《神道碑》中又说“公王姓,由大父彦忠世汪骨族,故汪姓”。

     此后不久,我在北京中华书局主办的《文史》杂志上,读到连载的周清澍先生的文章《汪古部事辑》,得知汪古族(onggud)或译作雍古、王孤、翁古、旺古、汪骨、汪古惕等,因为少数民族人名、部族名、地名等在古代译成汉语时,因译音有轻重、译音无定字,故叫法不一,恰如我们今天翻译西方人的地名、人名等一样,比如我们叫斯大林,台湾叫史太林,我们叫里根,台湾叫雷根等等。汪古族为金、元时期阴山以北部族,金初在北边守长城抵抗蒙古,为回鹘、沙陀等组成,后来或留或徙,分为三支:一支留在阴山;一支到了开封(为马姓,元代文学家马祖常便是其后裔);一支迁到陇上,定居盐川,即汪世显家族。但周先生的研究并不能令人完全信服,比如从长城脚下迁到陇上的这支旺古族人,是通过什么方式、什么时间来到此地的,其中缺少必要的链接,没有足够的证据。

    我的学兄西北师范大学的胡小鹏教授是研究元史的专家,对汪氏家族有专文讨论,他的看法是汪氏乃“明显带有蕃化特征”的汉人,“系出南京徽郡之颖川”既为关于汪氏家族来源的第一种说法,其中的迁徙次序亦较为清晰可信。胡兄认为汪氏是出于“心理问题,即为了靠近蒙古统治集团而作假”,所以才故意以汪古族的身份出现。但究竟是否真与歙州的汪氏同宗,胡兄也不敢完全肯定,只是说汪氏子孙曾与婺源汪氏通谱,“两地汪氏或是同宗”。有兴趣的读者可以参看胡兄新著《元代西北历史与民族研究》之大作(甘肃文化出版社1999年5月版)。这种推断也有可能,中国人虽然说坐不改名,行不换姓,但有时为了利益,不要说姓名,祖宗八代都可以不要,直到今天,因为少数民族高中生高考时可以加分,所以很多汉族学生一夜之间就成了藏族之类,这已经不是什么奇怪的事。

     由此看来,《重修漳县志》所谓汪氏源于周公之后,显然是胡说八道,不足深究,但到底是胡是汉,仍费猜详。然而,不论怎么说,这时的汪氏家族在我心中的神密感,总算是大大地消褪了。至此,随着毕业在即,我对追究老汪家也渐渐失去了兴趣。

     四

     可是,不幸的很,本科毕业后,我原本有机会调干去公检法系统工作,但我生性不喜欢刀枪棍棒,所以竟然稀里糊涂地选择做了历史文献学专业的硕士研究生。这一不幸是双重的:对我而言,没能跳出五行之外,而是继续钻在故纸堆里,被窗外的世界所遗忘,常常在萧索如秋风的氛围中,面对枯黄的古书和生冰的几案发呆;对我的乡先贤汪世显而言,则是我弄清了他的真面目。

    为了能混到一张硕士学位文凭,便必须写出一篇能获得评委通过的合格学位论文,于是我便不得不拚命连读带抄地翻很多书。有一次,当我读清代学者钱大昕的《十驾斋养新录》时,其中一条叫做《汪世显传不可信》的标题让我眼前一亮,因为这关乎我极为尊敬的乡先贤,所以便亟不可耐地读起来。原来,钱氏在读《金史》时发现了破绽。事情的真相是这样的:

     金天兴二年(1231),被元军追击而狼狈逃窜的金哀宗从汴京(今河南开封)迁到蔡州(今河南汝南),考虑到这是一坐小小的孤城,肯定无法固守,就想再西迁到巩昌(今甘肃陇西),以图巴蜀(今四川)。于是就派秦州元师粘割完展为巩昌行省,以汪世显为巩昌便宜都总帅,试图稳定住秦陇地区。但汪世显看到金王朝大势已去,就企图联络当时在更西边为金朝守会宁(今属甘肃)的郭蟆(郭斌),想合力攻下秦州,取得实地以观动静,但被郭拒绝。《金史·郭蝦蟆传》记载汪氏派使约郭暇蟆,接着说:使者至,蝦蟆谓之曰:“粘割公奉诏为行省,号令孰敢不从?今主上受围于蔡,拟迁巩昌,我辈既不能致死赴援,又不能叶众奉迎,乃欲攻粘割公,先废迁幸之地,上至,何所归乎?汝帅若欲背国家,任自为之,何及于我?”世显即攻巩昌(此巩昌当为秦州之误),劫杀完展,送款于大元。复遣使者二十余辈谕蝦蟆以祸福,不从。

     汪世显很明显看到金朝大势已去,如果再把脑袋绑在金哀宗的裤腰带上,无疑是送死。于是就劝郭氏一起叛金降元,郭不从,于是就干脆单独行动,率部反叛,攻下秦州,劫杀完展,送款于元,导致金哀宗失去退路而金朝速亡,秦、巩二十四州尽归于元。而郭斌则坚守会宁抗元,直到最后全家烧身自焚,与金朝共亡!

     不仅如此,汪世显当时还脚踩两只船,在与蒙古有密切联络的同时,又与南宋方面暗中来往,当时南宋的四川制置使赵彦呐就因“秦、巩之豪汪世显久求内附”,而屡向朝廷请求同意接纳。汪世显还向当时守蜀名将曹友闻赠送名马,以示靠拢。可见,汪世显在战乱年月不仅眼观六路,而且多方寻求退身全躯之后路。

     应该说,在兵荒马乱、当朝难保的情况下,先割据一方以保实力,再观察时势另择新主,是战争时期地方豪酋最惯用也最常见的生存手段,汪世显也正是如此,他不愿为行将断气的金王朝做殉葬品,又久求内附但南宋方面并不热心,于是就卖主求荣,弃旧从新,在送款于元之后,转而充当元军先锋杀向四川,连战连捷,宋军难以抵挡,溃如江水,以至南宋方面认为都是赵彦呐“引贼而来”,贼正是指汪世显等人。正因为如此,钱大昕在读《金史·郭蟆传》后评论说:是世显以偏裨戕主帅,背主嗜利,乃小人之尤者,且久通款于蒙古,何待阔端兵至率众降乎?

    称之为“小人之尤”,也就是“小人里边的小人”,正话反说就是“牲口”,知识分子骂人,这已经是顶级的了。如果是咱们漳县人骂的话,就是“尕个儿里的尕个儿”,或者说“王八蛋”、“驴橛儿”之类了。汪世显的真面目竟是如此,这实在从感情上来说让我难以接受!当然,已经吃了历史饭的我,也不再以“忠烈节义”的标准来判断历史人物。可是,同样一个人物,为什么在《元史》、《金史》和《重修漳县志》中竟然是三种完全不同、甚至相反的记录,或认为是周公后裔,或记载乃胡人之种,或涂抹为忠臣良将,或描述成叛臣贼子呢?

   

   


--------------------------------------------------------------------------------

    悟以往之不谏,知来者之可追



     发贴时间:2005-12-21 1:34:43



大风
级别 总站长
财富 ******
文章 232
注册 2005-12-16

   § § § § § § § 第4楼  

我看到的汪世显家族史2
     五

     钱大昕在痛斥了汪世显之后又说:苏天爵《名臣事略》误信其家传书之,明初史臣又承天爵之误,不加订正。

    钱氏只是将错误的根源追到了元代学者苏天爵的《元朝名臣事略》,其实苏天爵所采史料就已经不是真相了,他的史料来源如前所述,是元代学者杨奂给汪世显写的《神道碑》,杨氏本人也是金朝旧臣,后来被元朝徵召做过河南廉访史等职,博涉经史,有“中原文献之遗”的称号,他与汪世显可以说是有同样的出身,同病相怜,因此在给汪世显写碑文时,就已误信其家传谱牒之书,说汪氏“系出南京徽州歙郡之颍川”。至于降元之事,则云:会皇子(即窝阔台,元太祖第三子)顿兵城下,(世显)率僚佑耆老,持羊酒币迎谒焉。皇子曰:“吾征讨有年,所至皆下,汝独固守,何也?”对曰:“有君在上,卖国市恩之人谅不取。”皇子大悦,敕其下丝发无所犯。盖乙未(1235)冬十月十四日也。谐行帐,宠之以章服,职如故云云。

    事实已被完全颠倒,汪世显被描写成金之忠臣、元之功臣。而王鹗《汪德臣神道碑》、姚燧《汪忠臣神道碑》,对于汪世显降元真相也是曲意遮盖,大失其实。如姚氏说:金主甲午正月死蔡,义武(汪世显)时即险移巩,治石门山,犹行天兴正朔。明年乙未始下,太宗(窝阔台)义为其主,后来仍金官。

    在另一通碑文里,即给汪世显的部下陇西人李节所写的《巩昌路同知总管府事李公神道碑》中,姚燧更把汪世显描述得忠心耿耿,可鉴天日,说在金社将屋之际,汪世显率3000人东援,被蒙古军击败,只剩300残兵,他劝秦州元帅西驻石门,因秦劲兵以图巴蜀,未被采纳,遂逃归,到了蒙古军队集兵巩昌城下围城之后:义武集将佐曰:“主今亡矣,谁与为忠,人以群盗遇余。”率军民万家为口十万来降。

    实际上,杨、王、姚等人所写的这些碑传文字,也不是他们自己亲眼所见亲耳所闻,或是他们自己收集的史料写成,而是根据汪氏后人写的行状等文字删改润色而成,王鹗叙述汪德臣《神道碑》的写作过程是,德臣子汪惟正“走书数千里,持门下士潘珍所为《行状》,乞铭于余”。惟正为了求得佳文,还戴高帽子说,表彰其先人事迹,没有王鹗这样的“大手无可托者”。于是王氏在既收到一大笔银子,又被吹为当今文坛第一后,即兴满意足地认为“今兹来请,义不容辞。乃即其《状》而铭之”。潘为汪氏手下参议,属今天首长们的心腹机要秘书之类,对汪氏的身世及其一切都应该相当清楚。然而《行状》中记载已经隐去事实,王鹗装聋作哑,照猫画虎,修饰一番,交待了之。苏天爵《名臣事略》就是删节他们的文字编成,明初在编著《元史》时,就照抄《名臣事略》。《金史》因为不必为变节的叛臣贼子隐瞒,所以可以据实直书。如果没有《金史》,这段历史我们便只能以伪为真、认虚作实了。

     六

     偏偏问题最严重的是,不仅咱们老汪家的行状靠不住,朝朝代代的这类文字都是如此。行状,也就是一个人一生表现的状貌,类似一生的大事简记,按理应该真实地书写。然而,孝子顺孙们写老爷子的事迹,却是文治可比周公,武功超过岳飞,至于做的缺德事,如贪污受贿、骄奢淫逸之类,则尽量捂着盖着,惟恐他人知晓。钱大昕有一篇《原孝》的文章,说的就是这种现象:予见近人家传行述,日繁一日,学必程(颐)、朱(熹),文必韩(愈)、柳(宗元),诗必李(白)、杜(甫),书必钟(繇)、王(羲之),究之皆妄说也。夫过情之声闻,君子耻之,子孙而以无实之名加诸先人,是耻其亲也。欺人而人不信,欺亲而亲不安。以是为孝,何孝之有!

    钱大昕认为,这些人不仅不能算是孝子,还应该罪加一等。可见行状之类的文字,真是没有几分的可信度。可惜的是,历朝历代的人们就都是如此做的,姓李的一定要当陇西李氏,姓岳的一定要和岳飞有关,姓孔的定是孔子的后裔等等,不一而足。例如南宋时期有一位年轻帅哥叫做林洪(字龙发,号可山),福建泉州人。在宋理宗时,他求学于当时的最高学府——杭州国子监(相当于今天的北京大学),应该是学问优异了,可此人大概是靠行贿进入高等学府的花花公子,不学无术,但又求名心切。于是就自称是北宋著名诗人林和靖(号孤山)的七世孙。林洪选刊了中兴以来诸公诗,并将自己的诗附于后,以图名利双收。后来元代的学者韦居安《梅石间 诗话》中记载当时有无名氏作诗嘲林洪云:

     和靖当年不娶妻,只留一鹤一童儿。

     可山认作孤山种,正是瓜皮搭李皮。

    谁都知道,林和靖当年未娶妻生子,所谓“梅妻鹤子”,哪里来的子孙后代?当然在今天可以包二奶、养小蜜,那是另一回事了。但类似林洪的这种事历史上多得不可胜数,谁都愿意挂靠一个名人做自己的祖先,以壮声势。与此相反,却从没有人承认自己是那些奸佞乱臣的后代,比如姓王的从没人承认是王莽的后代,姓秦的更没人愿和秦桧拉扯上关系,所谓“此秦非彼秦也”。宋元以后,私人修家谱、族谱等,朝廷也无人管理,于是支离附会,纷纭驳杂,私造官阶,倒置年代,认他人为祖,攀路人为亲。就连明朝开国皇帝朱元璋,因为他的家乡安徽凤阳和我们漳县一样,是当时出名的贫困地区,本人又是像叫花子一样的头陀出身,所以他在做了皇帝后,也曾遍查前代朱姓人中的名人,试图跟自己拉上关系,后来想说是朱熹的后裔,但却正是“瓜皮搭李皮”拉不上线,最后才心一横,称自己是“淮西布衣”,也就是说“安徽西部的一个老农民”。皇帝如此,更不用说凡夫百姓,更需要一个有名的大姓给自己壮胆撑面子,我们的乡先贤老汪家,便正是出于这样的原因,把自己的祖先说成是周公的后代,又因为周公姓姬,他姓汪,就又瞎编他们的祖先生下来时左右手有“水”、“王”之纹,而且还具体明白地说是66传才到了汪世显,《重修漳县志》正是上了老汪家谱牒书的当。

    因为乱攀强牵、生拉硬拽地认名人为祖宗,因此古代有许许多多的孝子顺孙们,逢年过节时献在供桌上的那碗冷猪肉,都让别人家的鬼给吃了,他们还整天对着那些鬼们,虔诚地烧香磕头乞求保佑,难怪求仙仙不应,求神神不灵!

     七

     家状、行述一类的文字,因为大多是传主的子孙们写的,当然别人会说是瞎吹牛靠不住,于是就还得找一个名人来写墓志铭等,以求信于他人并传之久远。我们的国人都有重乡党故土的情结,给传主写墓状,一定要模范后昆,遗美乡里,才能流芳千古。所以如果我们读古人留下来的那些地方志,就发现“人物”一门中的那些个大人先生们,端的都是顶天立地的汉子,给人的感觉是假如没有这一方热土产生的人物,历史便不能发展到今天。比如我读到近代人编的《甘肃人物志》,开卷便赫然以女娲、伏羲两个传说中半人半鬼的家伙为首。因为女娲团土造人,伏羲画过八卦,皆是开天辟地的始祖,这样一来,谁还敢跟我甘肃陇原大地来比悠久的历史?再比如《巩昌府志》就严肃地考辨说商代的首阳山即陇西的首阳山,原因是商末曾出过两个"高级叫花子"--伯夷和叔齐,他们不满周武王革命夺取商的天下,却没本事去和人家刀对刀枪对枪的硬碰硬打,就躲在山上采蕨菜吃,结果被活活饿死。实际上他们的行为在今天看来我们完全可以称为“做秀”,因为按古人的说法,“普天之下,莫非王土;率土之滨,莫非王臣”,你跑到首阳山,应该说仍是人家周家的山;吃的蕨菜,也是人家周家的蕨菜,怎么能说“不食周粟”呢?所以,我从来都反对世上有所谓的“隐士”、“逸民”之类的人物。

     至于把名人籍贯、遗物等与经济效益联系起来,也在很早前就有了。据说唐代有个老婆婆在马嵬坡杨贵妃上吊死了以后,趁乱拣了一只贵妃的袜子,于是就装潢起来供着,凡是俊男靓女们想看一眼的,就收门票,想想贵妃当年的名气与地位,恰似几年前因车祸死去的英国王妃戴安娜,拥有她的一只袜子,要在今天准得上报纸头条。在当时也不得了,有许多“追星族”们花钱瞻仰那只袜子,老妇人陡然之间便成了富婆。因此,如果我们认为古人比今天的人笨,那可就大错而特错了。

    回过头来,再说就是这样靠不住的碑铭文字,却被朝廷国史馆做第一手的史料用,本来国史馆及国家档案馆有更真实的材料,史官在修史时应该对照着读,以便确认那些是实,那些是虚,甚至可以做些调查研究。但自唐代以来,很少有人像司马迁写《史记》那样亲历实地、劳神费力地去做考察,花一生的心血写一部史著。而且史馆本来就是个清水衙门穷单位,舅舅不疼,姥姥不爱,工资发放都成问题,出差调查,哪里来的经费?更不用说像其他衙门那样年终有分红与节假日有奖金,当然更谈不上贪污受贿了。于是就消极怠工,所修国史,成于众手,水平参差,谁写什么,如何写法,有时甚至是通过抓阉决定的,堂堂国史修纂,竟同儿戏没有什么两样。为了完成任务,就将那些家状碑铭稍加删节润色,大功便告成了。待到后一朝的史职人员为前朝修史,因历时弥久,真假难辨,也就在前朝国史的基础上进行再加工,删删补补,然后编纂成为传之后世的前代史。

     因此,我们大家手中的史著,实际上经历了这样一些过程:传主本身一生的事迹(真实的史实)——行状(传主子孙或门人等所编写)——碑传文字(他人据行状等所改写)——当朝国史列传(当朝史学家据碑状、档案等所纂)——后世所修前朝国史(后世史学家据前朝史官所纂史书修订而成)。也就是说,许多历史书,实际上是经过一手、二手、三手、四手甚至更多手的加工才写定,而且一旦写定,就俨然成为信史为天下人所共信,我们所顶礼崇敬的《二十四史》等书,就是这样修成的。列位看官,您说怕人不怕人!

     当然,历史并不是虚无的,历史是真实可信的。但历史的真实性往往被淹没在一大堆如前所述的文字之中,需要有心的人们去发现考订与认识,以还其本来面目,也正因为如此,学习、认识、发现与还原历史,才显得极为重要且意趣盎然。孟子说“尽信书则不如无书”,他老人家早就发现了书籍的靠不住,史书中有许多真实的历史,也有许多扑朔迷离的假象。这还真像咱们漳县人刚煮好的油洋芋,既香气诱人,又烫手难拿呢。

     再回到汪氏家族,我这样说汪世显与他的后人,可能全县百姓都不接受。因为我们漳县太小,我们世世代代才出了这么一个引以为豪的世家大族,我们乡土教育中的民族英雄,怎么就成了叛臣贼子呢!但是,如果我们摆脱传统的所谓“忠臣烈士”的观念,从当时及后来的国家大局来看,汪世显家族对漳县、对中国也做出了不可磨灭的贡献。这主要体现在三个方面:其一,汪世显当时选择降元,而不是象郭斌一样死守孤城,最后焚城而死,也确实保全了一城的子民,今天我们漳县与陇西的许多人,就是当时困在城中百姓的后代,从某种程度上说,没有汪世显的降元,可能就没有今天的我们,这是与我们最有直接关联的。其二,汪世显降元后,做为元朝的开路先锋,杀向四川,一路所向无敌,为当时元朝的速胜与统一全国,立下了赫赫战功,这对结束当时中国南北对峙的局面,使处在水深火热中的百姓早日得到安定的生活环境,都是一件极大的好事。其三,汪氏家族在终元一朝,做为西北最高军事与行政长官,在为国守土的同时,发展经济,贡献地方,为维护祖国西北地区各民族的团结,稳定西北地区的局势与维护国家统一起到了积极而重要的历史作用。因此,我们仍可以说,汪氏家族无论对我们漳县人还是中国人来说,他们与历史上那些大英雄一样,是我们的民族英雄!也是漳县人的骄傲!

     对于我本人而言,对汪氏家族尚多一份的感念!那就是:正是自幼产生的对这个神秘家族的好奇与探源,成为我后来学习中的一种动力,以至于专业取向都受到影响。我今天能有些微的成绩,能在这喧闹纷杂、利来利往的皇城根儿有一份体面、干净、坦然而平和的工作,拿一份足以糊口的薪水,不至于象父辈们那样在黄土地上没黑没明地劳而无获,也不至于给漳县人丢太多的脸,叫我又如何能不感念老汪家呢!

     

   

     作者:漳县马泉乡人,西北师大硕士研究生、北京大学博士研究生毕业,现任北京大学中文系副教授。

   

   


--------------------------------------------------------------------------------

    悟以往之不谏,知来者之可追



     发贴时间:2005-12-21 1:35:21



大风
级别 总站长
财富 ******
文章 232
注册 2005-12-16

   § § § § § § § 第5楼  

从元代官制看汪氏家族的权力和地位
    从元代官制看汪氏家族的权力和地位

   

   

    李兴华

     

   

     陇右汪氏家族和漳县元墓群已日益引起人们的关注。一个基本的问题经常成为议论的话题,即汪氏家族在元代的官职究竟有多大?“三王十国公”相当于现在的什么职位?政治局委员?大军区司令?省级还是地级?诸如此类的问题常有人向笔者提出。我想,确实应该就这一问题尽可能有一个简要而明确的交待,好让人们更多地了解这个家族,有利于在大众层面上开展对汪氏文化的研究与宣传。

     中国历代的官职体系一直是发展变化着的,各朝并不一致,尤其不能与我们今天的干部职务作简单的类比。现结合元代的官制,在汪氏家族中选择较有代表性的汪世显、汪良臣、汪寿昌三人为例,谈谈他们担任过的实际职务及封赠爵号的具体含义(其他重要人物可以此类比),从而了解汪氏家族在元代的权力和地位。

     汪世显生前的职务是“巩昌等二十四处便宜都总帅。”这个职务是汪氏家族赖以显赫腾达的基础,是他们几代人权力和地位的核心,是最根本性的、起决定因素的职务。需要明确的是:其一,元代官制中有“都元帅”一职,但无“都总帅”,汪世显这个“都总帅”实际是沿用金国的职务名称,并一直再没有变动。类似情况在元代还有不少。其二,“巩昌等二十四处”指巩州(今陇西、武山、漳县)、秦州、定西州、金州(今榆中)、兰州、洮州(今临潭、卓尼)、会州(今会宁、静远)、环州(今环县)、陇州(今陕西陇县)、庆阳、平凉、德顺军(今庄浪、静宁一带)、镇戎军(今会宁固原一带)、原州(今镇原)、阶州(今武都)、成州、岷州、迭州、西和州、泾州(今泾州)、河州(今东乡、和政一带)、沔州(今陕西沔县、略阳)、凤州(今陕西凤县及两当)、临洮府。以上包括今兰州以下半个甘肃及宁夏、陕西、四川靠近甘肃的部分地域。其三,“便宜”的含义是遇重大事宜有相机处置权力,不必呈报上司或朝庭批准。其四,这一职务不仅是军职,还包括管理辖区的行政事务,官吏任免等权力。从汪世显1238年降蒙到元末明初,他们共有六代十二人相继担任这一职务。

     汪世显死后几次受到追封。他最终的封赠全称是“推忠协力佐运功臣、太师、开府仪同三司、上柱国、义武陇右王。”这个称谓的含义包括:一、荣誉称号:推忠协力佐运功臣;二、赠官:①太师。太师是历代“三师三公”之首,最为尊崇,正一品。②开府仪同三司。“三司”是指太尉、司徒、司空。开府仪同三司就是允许与三司同样的规格独立开府设署,配置部属。三、勋官:上柱国。勋官是为奖赏有功大臣而设,上柱国为最高一级,正一品。(以下有柱国、护军、都尉等十二级)。四、谥号:义武。谥号是在重要大臣死后按其特点议定的尊号。如包拯的谥号为“文正”,故俗称“包文正”。五、封爵:陇右王。王是封建社会最高一级的封爵(以下为公、侯、伯、子、男),有的朝代王爵只封给皇帝兄弟子侄,不封外姓,有的朝代也可封给外姓重臣。王一般分为亲王、郡王,“陇右王”属郡王一级,从一品。

     汪良臣是汪世显第三子。1253年代理巩昌便宜都总帅。1260年、1271年两次正式任该职。他曾任过很多文、武官职,如镇国上将军、枢密副使,西川行枢密院事,资善大夫、中书右丞,行四川中书省事,安西王相等。死后赠“附马都尉、进诚保德宣力功臣,开府仪同三司、柱国、忠惠梁国公”。现分别介绍如下:

     一、“都总帅”一职与汪世显同。不再介绍。

     二、“镇国上将军”是武职“阶官”,从二品。“资善大夫”是文职阶官,正二品。

     三、枢密副使:元代最高军事机关为枢密院,主官为枢密使,常由皇太子担任。副使实际上主持枢密院事务,从一品。西川行枢密院事:元初为战争需要,另设四个“行枢密院”。西川行枢院即其中之一,负责四川、云南方面征战事宜。从一品。

     四、中书右丞:元朝中央最高行政机关为中书省,主官为中书令,多由皇太子兼任,常缺员。下设左右丞相各一员,正一品;平章政事及左右丞各一员,是丞相的副手,从一品。行四川中书省事:元朝由于疆域辽阔,中书省无力全面管理行政事务,便设立十一个“行中书省”,四川行省即其中之一,其官员设置、品级与中书省相同。“行中书省事”即行中书省平章政事,从一品。

     五、安西王相:至元十年(1273年),封皇子忙哥刺为“安西王”,镇四川、陕西两行省,特置王相府处理军政大事,王相为正二品。汪良臣于至元十七年任安西王相一职。

     六、死后的封赠全称中,与汪世显相同或相类的不再说明。不同的是:“驸马都尉”是“勋官”,并表示夫人是皇室公主。“柱国”也是勋官,地位次于上柱国。梁国公是封爵,次于郡王,正二品。

     汪寿昌是汪世显曾孙,汪德臣之孙,汪惟正之子。生前曾任过的重要职务有:巩昌等二十四处便宜都总帅兼巩昌府尹,陕西诸道行御史台侍御史,西台中丞,南台中丞,陕西、四川行中书省参知政事,甘肃、陕西、云南行中书省左丞,云南诸路廉访使,同知宣政院事,中正院使,陕西、四川行省平章政事等。生前特授银青荣禄大夫、大司徒。以上职务有朝庭的,有地方的,除“便宜都总帅”同上外,择其要说明如下:

     一、行中书省参知政事、行中书省左丞、行中书省平章政事:参知政事为行省重要官员,从二品,左丞、平章政事参同汪良臣例。

     二、陕西诸道行御史台侍御史,西台及南台中丞,云南诸路廉访使:以上都是监察官员。元代中央监察机关为御史台,以下分设两个“行御史台”,陕西诸道行御史台即其中之一,简称“西台”,监察西北及西南地区各行省官员。江南行御史台简称“南台”,负责监察东南各行省官员。行御史台设御史中丞二名,正二品;御史二十名,从二品,侍御史若干名,正三品。汪寿昌作为监察官员任职于两个行御史台,由三品升二品。云南诸路廉访使,属御史台菅辖,是“肃政廉访司”的主官,负责监察官员的廉政情况,正三品。

     三、同知宣政院事:宣政院是元朝为专门管理宗教及西藏事务而设立的机关,同知宣政院事为其副长官,从二品。

     四、中正院使:元朝设中正院专管宫庭财赋收支、营造、物资供应等事务,主官为中正院使,正二品。

     五、银青荣禄大夫、大司徒:银青荣禄大夫是“阶官”(也称散官),表示官员品级地位,正一品。大司徒是“三司”之一,为“赠官”,也是正一品。

     从以上情况看,汪寿昌是他们家族中唯一在生前就获得正一品官阶的人,死后的封赠如何,是否也是“国公”,暂不详。

   

     作者:漳县城关镇人,现任漳县政协副主席

   

   

     

   


--------------------------------------------------------------------------------

    悟以往之不谏,知来者之可追



     发贴时间:2005-12-21 1:36:28



大风
级别 总站长
财富 ******
文章 232
注册 2005-12-16

   § § § § § § § 第6楼  

有关《陇右王汪氏世家勋德录》的几个问题
    有关《陇右王汪氏世家勋德录》的几个问题

     

     汪 楷

     

   

     元代典籍《陇右王汪氏世家勋德录》,现今有虞集的一篇序文保留世间,至于本著则仅见明清目录学载录,从不见刻本或抄本流传。此书的名称,钱大昕与倪灿的记载颇不一致。钱氏甚至把该书析为两部,分别编入《补元史艺文志》,一作传记看待,一作谱牒认同。他们二人可能都没有见到该书的面目,本著在清代以前即已失传。

     先看书名。钱大昕《补元史艺文志》载:《陇右王汪氏世家勋德录》御史中丞汪寿昌撰1。又,同书《谱牒类》载:“《汪氏勋德录》汪嗣昌撰”。倪灿撰《补辽金元艺文志》:“汪寿昌《陇右王汪氏世系勋德录》。御史中丞”2。

     就汪寿昌撰《勋德录》书名而言,钱大昕与倪灿的记录并不十分吻合。倪氏作“世系勋德录”,冠以“陇右”;钱氏作“世家勋德录”,冠以“陇右王”。两相比照,必有一误。“世系”与“世家”其旨意不同,前者指世代相承的血缘关系,一般指世系图或世系表;后者指世代为高官显宦的大家族。“陇右”是地理概念;“陇右王”是爵位名称,为政治性概念。寻名责实,“世家勋德录”自然比“世系勋德录”更为贴题而符合内在的逻辑关系。如果参以旁证,更能说明这一看法。元代勋臣世族多有令典,载录一家数代的显行盛德,往往以“家传”、“世家”命名,如《太师国王木华黎世家》、《史公家传》、《廉氏家传》、《董氏家传》等,没有以“世系”命名的。“世系”为家谱的主体结构,通常只反映传承及辈份关系,不能体现“勋德”。

     所以,汪寿昌编撰的《勋德录》,其确切而完整的名称应是《陇右王汪氏世家勋德录》,钱大昕的记载是正确的,倪灿的著录有疏误,经笔者推敲,钱氏在“谱牒类”开列的汪嗣昌撰《汪氏勋德录》,显然据虞序而来,系省略的称谓,与署名汪寿昌撰《陇右王汪氏世家勋德录》实为一书。

    再谈作者和成书时间。汪嗣昌与汪寿昌系昆仲关系,二人是汪惟正之子、汪世显的四世孙。嗣昌居长,官至武略将军、成都路万户府万户。寿昌历任都总帅、陕西及四川平章,又任过西台、南台、内台御史中丞,最后以大司徒荣衔致仕。此人功业显赫,有才学,善书法,对巩昌地方文化教育等事业多有建树3。

     虞集《汪氏勋德录序》载:“总军巩昌者,既世其职,余多大官。尤显者,今御史中丞寿昌也。其兄成都万户嗣昌曰:‘世菏国恩,……请辑录刻摹以传与世,谂诸太史’”。4这段文字隐约关涉到《勋德录》编纂的一些情况。序文表明,巩昌汪氏出于感颂皇恩、彰显祖德、保存史实、激励后人的目的,编纂了这部典籍,脱稿后,由兄长嗣昌出面向太史公虞集请求审订并做序言。这就是说,该书的主持人首先是汪嗣昌,而不是汪寿昌。否则,便会是寿昌出面陈情请序,而不是嗣昌。至于寿昌在其中起了什么作用,虞序并没有透露。当然,做为昌字辈顶梁柱的汪寿昌,对家族的这桩大事肯定不会袖手旁观,他至少参予了该书的擘划、校阅及请序等工作。“谂诸太史”一段话,使人感觉到兄弟二人对编书一事是经过商议的。据此,该书的作者应是二人,嗣昌、寿昌理当并列。钱大昕、倪灿在著录《勋德录》一书时,只拣了官位显赫的汪寿昌署了名。却忽视了虞序已充分表明的第一主编汪嗣昌,似有主次倒置之嫌。

     虞集做序时的身份为“太史”、即国史院编修官。考《元史.虞集传》:延祐“六年,除翰林待制、兼国史院编修官”。至“泰定初,除国子司业,迁秘书少监”。前后任太史职务六年。据此《汪氏勋德录》成书的时间,大致在仁宗延祐六年(公元1319年)至泰定帝元年(公元1324年)之间。

    最后讨论一下此书的归类。 虞集在序文中载:“其兄成都万户嗣昌曰:‘世荷国恩,功业在盟府,褒恤有制诏,世次具谱牒,行事岁月则有先茔、家庙之碑文在,请辑录刻摹以传于世,谂诸太史’。……”“辑录”是把分散的文字搜罗在一起编排成书之意。这说明此书实出于编录,而非纯粹的撰著。编辑的内容,有皇帝颁发的诏诰,载于家谱的世系图,还有立于祖坟、家庙的碑文等。“世次具谱牒”一句,可以证明汪氏已另有家谱存在,《勋德录》显然就不等于家谱;又因为其中包容了诏诰、世系图等,《勋德录》也就不等于传记。

     综上所述,《陇右王汪氏世家勋德录》是一部有关巩昌汪氏家族各类史料的总汇编,既不是谱牒,也不属传记,在旧书目中,究竟应归入哪一类别,还有待商榷。

    附:虞集《汪氏世家勋德录》。

     国家龙兴朔漠,威行万方,金源日蹙。吏士守者,或降或死且尽,不能成军。山东、西之间豪杰并起,据保城壁,大抵非金署之旧。陇右巩昌汪氏,据高制远,统郡县数十,胜兵数万,号曰便宜都总帅,栅石门为金守者三世。及我兵攻巩昌,则金亡已三岁矣。汪氏犹不忍降,其士大夫皆曰:“君死国亡,民将安归?”乃缟素为金发丧,登陴哭三日,因皇子阔端以自归。太宗皇帝察其诚,仍以为便宜都总帅,镇故地。取蜀之役,资粮甲兵之赋,终始毕给,功多之纪,他将鲜俪焉。此讳世显者所以封陇右王也。王有子八人,孙十有九人,多居将相官,封公者九人。传五世,兄弟子孙百八十余人,总军巩昌者,既世其职,余多大官。尤显者,今御史中丞寿昌也。其兄成都万户嗣昌曰:“世荷国恩,功业在盟府,褒恤有制诏:世次具谱牒:行事岁月则有先茔、家庙之碑文在,请辑录刻摹以传于世,谂诸太史。”太史虞集曰:予观于功臣之家,以世业显荣者固多,得统其军,世守其地者,惟汪氏。或曰道家忌三世为将,汪氏之德,必有大过人者,其言信与欠!予故以为汪氏先人事故主无憾,见信国家,非他人所得而及也与欠。

    注释:

     1、2见(二十五史补编),中华书局出版。

     3漳县博物馆藏《汪寿昌墓志》。

     4王文儒编《宋元明文评注读本》,上海文明书局出版。

     

     作者:陇西人。现任陇西县博物馆馆长。

     

[此文章已被张贴人于2005-12-21 1:37:41编辑过]



--------------------------------------------------------------------------------

    悟以往之不谏,知来者之可追



     发贴时间:2005-12-21 1:37:14



大风
级别 总站长
财富 ******
文章 232
注册 2005-12-16

   § § § § § § § 第7楼  

汪氏家族在元代的政治地位和政治势力及其发展变化
    汪氏家族在元代的政治地位和政治势力及其发展变化

   

     赵一兵

     

     作为一个汉人世家,汪氏家族在元代政治地位和政治势力的显赫及其历久不衰,在元代汉人官僚中可以说是独无仅有的,这一点早在元代即为人们所常常论及和称羡。姚燧在其撰于元成宗元贞二年(1296)的《便宜副都总帅汪公神道碑》中说:“公卒以至元丙寅(1266)四月五日,受谥于元贞二年丙申,推至义武卒年癸卯,实五十四年,祖孙一门,三世五公,又许连姻王室,自余将相使牧为质犹十八人,此吾元有国而来所无有也者,呜呼,不曰世臣之家谓之何哉!”1、时隔十三年,他在元武宗至大三年(1310年)应时任怀远大将军、庄浪路总管的汪忠臣孙汪安昌之请,为其所作乔木堂撰写的《乔木堂记》中又说,汪氏“三世五公”“自外将相使牧、二十有余人,名以世臣通侯而岂惭焉。中统之末,诏夺强诸侯之世其土者,俾不得而有,转使牧州。独是一门父死而子以继,兄终而弟可及,旄铖相后先。圭衮相焜煌,自乙未(1235年)至庚戌(1310年)七十有六年,龚守其土而不变,…校今名臣,无亚匹者。”2、虞集在其撰于仁宗延祐七年以后的《汪氏勋德录序》中说:“王(指汪世显)有子七人,孙十有九人,多居将相,官封公者九人,传五世,兄弟子孙有八十余人,总巩昌者既世其职。余多大官,……予观于功臣之家,以世业显融者固多,得统其郡军,世守其地者,惟汪氏”3、这些不同时期的议论,主要都从仕宦的角度来说明汪氏家族在元代政治地位的隆宠和政治势力的显赫,同时为我们勾画出一个汪氏家族在元代仕宦情况的大概轮廓和线索。从前面所列汪氏家族仕宦表和这些议论,我们大致可以对汪氏家族在元代的政治地位和政治势力及其发展变化作出以下的分析和判断:

     第一、汪氏家族在元代的政治地位,基本属于地方封疆大吏世家,在中央政府中则几乎没有什么政治势力可言。就我们目前所知,如《汪氏家族仕宦表》中所列的仕宦情况可考的51人中,曾任行省级长官,如行省平章,右、左丞,参知政事,行枢密使、副使的有9人,任宣慰使司或相当于宣慰使司级长官,包括宣慰使、副使,巩昌都总帅府便宜都总帅、副都总帅,权便宜都总帅、同知便宜都总帅,万户、副万户等的有23人。此外任过路达鲁花赤、总管,州达鲁花赤、知州、县尹等10余人,而曾任职朝廷者只有8人,较显者为汪寿昌,中政院使、御史中丞,惟贤、吏部尚书,惟和,太常院使。也均未入宰执之列。

     第二、汪氏家族在元代的政治势力是以巩昌便宜都总帅府为其最基本的势力范围,同时达于陕西全省和四川行省。

     从汪氏家族仕宦表我们可以看到,尽管汪氏家族成员中有任职于陕西、四川行省之外的其他省份者,如汪惟勤曾任云南行省平章,汪寿昌曾任云南诸路廉访使、云南行省左丞、甘肃行省左丞、南台中丞,汪惟贤曾任江淮行省右丞,汪元昌曾以中书右丞任淮东西道宣慰使,但绝大部分都任职于四川和陕西行省,在陕西行省者,又集中在巩昌便宜都总帅府。

     汪氏家族由于在蒙元时期经营四川的四十余年中建立的特殊“功业”,在四川地区一直维持着较大的势力。元世祖至元十五年(1278)三月攻克重庆,四川基本平定之后不久,汪良臣便被授为资善大夫,中书左丞,行四川中书省事,十六年秋七月,罢四川行省、改良臣为安西王相,十七年立陕西四川行中书省,又以汪惟正为左丞,分省四川,至二十二年改陕西行省左丞,在蜀五年。在此期间,据汪惟正于至元二十一年上言,“汪氏二人在西川典兵者,亦择一人为万户,余依例迁转。”4、则知汪氏家族在此时还有二人在西川统兵。同时期汪氏家族另一重要成员汪惟孝在至元十六年到二十七年间,曾先后担任过四川四道宣慰使司中的东、南、西三道宣慰使,至元二十七年,更升龙虎卫上将军,尚书右丞行四川省事到至元三十年。大德三年汪惟简任保宁等处万户府万户,大德十年时,汪惟能为四川右丞,元文宗至顺元年(1330)汪寿昌又出任四川平章。此外任职四川的还有:汪清臣,四川行院副使,行省参政;汪惟纯,至元二十二年任西道同知宣慰使;汪棣昌,天历三年(1330)任四川诸道民匠总管府总管;汪嗣昌,成都等路管军副万户、万户。汪氏家族成员在四川任过职者当不止此,惜资料有限,不能具知。仅就上列者而言,虽然四川地区在元代尚不能说是汪氏家族的势力范围,但至少可以说汪氏家族在四川的势力是连绵不绝,根深蒂固的。

     汪氏家族在陕西行省任职者,除巩昌都总帅外,目前所知的有,汪惟正,至元十七年任陕西四川行省左丞分省四川,二十二年改陕西行省左丞,不久即死。汪惟贤,元贞年间任陕西行省平章政事。汪惟勤,大德六年时为陕西行省参政,汪寿昌,天历三年任陕西平章,汪安昌、武宗至大三年时为庄浪路总管,汪义昌,天历三年时为乾丝锦散慢总管府达鲁花赤。

     巩昌便宜都总帅府是汪氏家族的根据地。在仕宦表中我们所列的仕宦情况可考的51人中,仕宦或曾仕宦于巩昌便宜都总帅府及其所属府州者有26人,占半数以上。其中担任过便宜都总帅、宣慰使都总帅、同知便宜都总帅、便宜副都 总帅、权便宜都总帅者有16人。汪氏家族在巩昌便宜都总帅府确是父死子继,兄终弟及,统其郡军,世守其地,终元一世,未曾间断。

     第三、汪氏家族在元代的政治地位和政治势力的发展变化,从汪氏家族的仕宦情况来考察,大体可以分为四个时期:

     第一个时期,大致从元太宗七年(1235)汪世显降蒙到元世祖至元十八(1281)年汪良臣去世。大略相当于蒙元经营四川的时期。这一时期汪氏家族仕宦任职的主要是第一、第二代和第三代的个别人如汪惟益、惟正、惟孝。这一时期汪氏家族作为蒙古贵族进攻四川的一支主力,全力经营四川,祖孙三代父死子继,“勤劳四十年”。5、汪氏家族的第一代汪世显因进攻四川有功,在蒙古乃马真后称制二年(1243)被正式任命为统辖秦、巩、定西、金、兰、洮、会、环、陇、庆阳、平凉、德顺、镇戎、原、阶、成、岷、叠、西和等二十余州的便宜都总帅,这是日后巩昌便宜都总帅府辖区的雏形,也是蒙古贵族首次对汪氏家族在这些地区的统治权的确认。而汪世显、汪忠臣、汪德臣、汪清臣、汪良臣、汪惟正等的先后统兵或任职于四川,则奠定了汪氏家族日后在四川的政治势力的基础。因此我们可以说,这一时期是汪氏家族在元代政治地区和政治势力的形成和确立时期。

     第二个时期,大致从元世祖至元十七年(1280)汪惟正任陕西四川行省左丞分省四川到元成宗大德十年(1306)汪惟贤去世。这一时期汪氏家族仕宦任职者以第三代为主,第四代也为数不少。我们在仕宦表中所列的第三代惟字辈十七人中,先后任行省宰执者有5人;汪惟正,陕西四川左丞;惟贤,江淮右丞,陕西平章;惟能,四川右丞;惟孝,尚书右丞行四川省事;惟勤,陕西参政,云南平章。万户3人:惟孝、巩昌、平凉等二十四处万户;惟简、保宁等处万户;惟允、屯田万户。此外,惟正、惟和、惟孝、惟纯、惟简还担任过巩昌便宜都总帅府便宜都总帅、权便宜都总帅或巩昌宣慰使便宜都总帅。惟正、惟孝、惟纯分别担任过开城路、四川东、南、西三道宣慰使,惟和任过太常院使,惟贤任过吏部尚书,惟某、同知屯田总管府,惟仁、人匠总管府达鲁花赤,惟新、惟弼、汉军上千户,惟敬、惟恭、知阶州、西和州,惟能、惟允、征西都元帅。第四代汪寿昌、安昌任过便宜都总帅,元昌、中书右丞、淮东、淮西道宣慰使,朝昌、副万户,必昌、为质永昌王。这是我们目前所知的汪氏家族仕宦人数最多,且地位都较高的一个时期,因此我们可以说,这一时期是汪氏家族在元代政治势力的鼎盛时期。

     第三个时期,大致从武宗至大元年(1308)到元顺帝至正七年(1347)汪寿昌去世。这一时期可以说是汪氏家族政治地位和政治势力相对稳定而渐趋下降的时期。这一时期汪氏家族仕宦任职者主要以第四代昌字辈为主。虽然仕宦人数仍然为数不少(恐怕实际上仕宦人数更多),但从整体上看,地位已远不如上一时期。这一时期汪氏家族中地位最为显赫的是汪德臣孙汪惟正次子汪寿昌,从仕宦表中我们也以看到,汪寿昌是我们目前所知的汪氏家族中生前任职时间最长,任职最多,任职地区最广,品爵最高的一人。其次有汪惟正长子汪嗣昌、任成都等处管军万户。汪延昌、巩昌二十四处便宜都总帅兼府尹。

     第四个时期,大致从元顺帝至七年到明洪武二年(1269)四月汪灵真保投降明朝。6、这一时期,随着元朝统治在农民起义的打击下风雨飘摇,汪氏家族的政治势力也每况愈下。就我们目前所知,这一时期除汪寿昌次子汪长生奴和汪安昌孙汪灵真保先后任巩昌便宜都总帅兼巩昌府尹、汪寿昌长子普达识理任嘉议大夫侍仪使较显外,别无显仕者,而且从仕宦地区上看,汪氏家族的势力这时似乎仅仅局处于巩昌便宜都总帅府一隅了。

    注释:1、姚燧《牧庵集》卷16。

     2、《牧庵集》卷8。

     3、《道园学古录》卷6。

     4、《元史》卷13《世祖纪十》。

     5、《元史》卷10《世祖纪十七》。

     6、《明史纪事本末》卷9,《国榷》卷3。

     

     作者:内蒙人,1990年北京大学历史系毕业。本文是其硕士毕业论文中的一节。


--------------------------------------------------------------------------------

    悟以往之不谏,知来者之可追



     发贴时间:2005-12-21 1:38:36



大风
级别 总站长
财富 ******
文章 232
注册 2005-12-16

   § § § § § § § 第8楼  

汪 陵 丰 碑
    汪 陵 丰 碑

   

    成大猷

   

   

    丰碑郊外认微茫, 义武空留衣锦乡。

   

    日炙雨淋多没字, 单词片语讵成章。

   

    陇山可比摩崖寿, 渭水何如坠泪长!

   

    欲问有元兴废事, 无言翁仲卧斜阳。

   

   

    作者:成大猷(1803—1868),字仲经,号逸园,漳县新寺镇 人,清代贡生。
悟以往之不谏,知来者之可追

1652

主题

7021

回帖

18万

积分

管理员

宏扬汪华文化 共建和谐家园

积分
187475
QQ
 楼主| 发表于 2006-3-1 13:33:45 | 显示全部楼层
wang100
级别 总站长
财富 ******
文章 41
注册 2005-12-19

   § § § § § § § 第9楼  

汪世显为汪达公后代毋容置疑
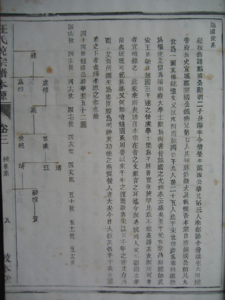
    我族谱按:

    达字德远,王三子也,以征高昌勋,袭封上柱国、越国公,卒年五十七岁,葬白渠府二十里,娶葛氏生三子,处哲、处惠、处澄。

   

    甘肃省陇西县人民政府政务网按:

    据考古资料记载,上古时,陇西气候温暖湿润,河流湖泊广布,森林草木茂密,野生动物遍地.旧石器时代,陇西就有先民活动.新石器时代,陇西大部被森林覆盖,人们以畜牧狩猎为主要生产方式,并不断扩大活动区域,走出山地,活动在渭河、西河、科羊河两岸和南北浅山区。当时的诗歌也描写"车马回狩"事。1974年出土的石石奔、石等文物表明,远在距今5000-6000年的仰韶文化时期,我先民就开始了原始的农业,进入母系氏族社会,生产、生活工具逐渐增多,陶器细致、石器磨光、鼎器精细。1978年发掘的堡子坪遗址大量的陶器进一步证明,马家窑、齐家文化时期,陇西先民已进入父系氏族社会,进入定居农业的梨耕期,农业成为主要生产活动,人们不仅沿渭河及其主要支流居住,而且逐渐扩大了活动区域,在远离渭河及其支流的山区,旱川区建筑村落,家畜的饲养和谷物质种植都有一定的发展,创造了灿烂的粟作农业文化。商周秦汉,是陇西经济、政治发展的重要奠基时代,周秦部族的早期发展,促进了民族的进一步融合,在陇西各族先民的共同努力下,西周先秦时代发展了渭河流域的农业,进而使陇西成为沟通中原关中与西域的重要通衢。1963年西河滩西周遗址发展的房屋、窑穴、窑址、墓葬和井,雄辩地证明了西周时期陇西已是典型的农业经济社会,并已进入奴隶制社会。郡县制之创立与长城的修筑当是我国政治经济及社会文化中有着极其深远的两个重大事件。秦昭王二十七年,西起临洮,经甘肃东部修筑长城,史称战国秦长城,途经我县。今福星乡秦长城遗址即建于当时。秦昭王三十五年,秦“宣太后诱杀义渠王于甘泉宫,因起兵杀之”,始置陇西郡。近1000年今陇西境先后置襄武、首阳、兰干、中陶等县,分属陇西、天水、南安郡辖,并移陇西、金城二郡治于襄武。唐太宗贞观十四年(公元640年)上柱国越国公镇守陇右驻襄武,顺山川地势,以四隅为四正,始筑今县城,为全国城池之特例。仁寿山十方禅院亦建于唐代。丝绸之路开通,僧侣商贾络绎不绝。张骞出使西域、炀帝西巡、文成公主入藏联姻皆途经陇西。宋元明清时期,为陇西历史发展的鼎盛时期,一度成为甘肃政治、经济、军事、文化的中心和西陲重镇。

     甘肃省陇西县人民政府信息中心

   

    《全唐文》按:○讨高昌诏

   

    明罚敕法,圣人垂惩恶之道;命将出军,王者成定乱之德。故三苗负固,虞帝所以兴师;鬼方不恭,殷宗所以薄伐。朕嗣膺景命,君临区夏,宏大道於四海,推至诚於万类。凭宗社之灵,藉股肱之力,亿兆获乂,尉候无虞。建木棘林,山经靡纪之域;幽都大夏,王会不书之君。莫不革面内款,屈膝请吏,袭冠带於魏阙,均征赋於华壤。而高昌曲文泰,犹为不轨,敢兴异图,事上无忠款之节,御下逞残忍之志。往经朝谒,备加恩礼,谿壑难满,曾无报效,禽兽为心,遽怀凶狡。诏命之严。禀承之诚既阙;王人之重,祗敬之礼亦亏。.......

   

    天山网按:

    公元640年,唐派吏部尚书候君集为交河道行军大总管率师伐高昌。平定高昌后,设西昌州,改为西州,实行县(乡)、里制,下辖五县。高昌县、柳中县、交河县、天山县(今托克逊县境内)、蒲昌县(今鄯善县境内)。

   

   

    我族谱摘登:
5.jpg
悟以往之不谏,知来者之可追

4

主题

28

回帖

1万

积分

版主

积分
10301
发表于 2006-3-22 13:11:51 | 显示全部楼层
推荐此篇为精华帖

8

主题

133

回帖

1万

积分

认证会员

积分
11818
发表于 2006-4-2 16:14:54 | 显示全部楼层
这篇文章同样漏洞百出,不足为信
--------读漆永祥<我看到的汪世显家族史>有感

      这篇将作者标为"北京大学博士研究生毕业,现任北京大学中文系副教授"的漆永祥的文章---<我看到的汪世显家族史>在网上挂了长久了,但我一直未抽出时间来看.今天得闲,拜读了.然而,尽管文章的作者是北大副教授(中文系的),我却一直是个不迷信所谓学术权威的人.而且就这篇文章来说,算不上一篇论文,只能算是一篇随笔.文章把汪世显批判了一通,最后又肯定了一通.总的宗旨是告诉我们,汪世显的家谱不可信,是胡乱攀附的结果,尤其是与周公不可能搭介.
        但是,做学问有做学问的规矩.既然要推翻汪世显的家谱,还得拿出充分的证据来,要不然也是瞎推测一番,不足为信.在我读了漆文后,我觉得这篇文章交代了一大堆现象,但论据不足,推测太多,难以立足.
          文章说--------"《重修漳县志》所载与《元史》却大大不同,说汪氏之先为周武王时周公子伯禽的后裔,因生下来时左右手有“水”、“王”之纹,因名为“汪”,是为“姬汪”,后来子孙相继,66传而至汪世显,遂一跃而起,说的有板有眼,挺象回事儿。"
     推翻的依据是历史上存在许多胡乱攀附祖宗的事例,论述上的证人一为作者的学兄胡小鹏,但胡认为汪氏乃“明显带有蕃化特征”的汉人,{“系出南京徽郡之颖川”既为关于汪氏家族来源的第一种说法,其中的迁徙次序亦较为清晰可信。胡兄认为汪氏是出于“心理问题,即为了靠近蒙古统治集团而作假”,所以才故意以汪古族的身份出现。但究竟是否真与歙州的汪氏同宗,胡兄也不敢完全肯定,只是说汪氏子孙曾与婺源汪氏通谱,“两地汪氏或是同宗”。}
        依据之二是钱大昕的一通批评,说汪世显是叛臣云云.但究竟汪世显祖先从何而来,作者未作论证,未作交代,从头至尾都是一番猜测.
    最后,作者从朱元璋做家谱时一心想找一位历史上的名士攀附,但找不到,便心一横,说自己祖先是"淮西布衣"(但作者要知道,朱元璋最终并未胡乱攀附,他还是很严肃对待家谱大事的),由此推断历史上做谱的人都想攀附.作者说,{^^皇帝如此,更不用说凡夫百姓,更需要一个有名的大姓给自己壮胆撑面子,我们的乡先贤老汪家,便正是出于这样的原因,把自己的祖先说成是周公的后代,又因为周公姓姬,他姓汪,就又瞎编他们的祖先生下来时左右手有“水”、“王”之纹,而且还具体明白地说是66传才到了汪世显,《重修漳县志》正是上了老汪家谱牒书的当。}
        至此,我觉得作者的论述是很不严肃的,论据是很不充分的.这篇文章像是学中文的老师写的随笔,不像是历史系出身的硕士所写的论文.我认为,其中的重要原因,就是作者掌握的材料太少,正如我们宗亲网讨论的许多事情一样,苦于得不到更多的资料,而这位漆先生的论述也是材料不多,或者没有用心找材料所造成的.
      比如,最后部分作者说汪家胡编祖先,说因为周公姓姬,自家姓汪,就瞎编他们的祖先生下来时左右手有水和王之纹.这点,更证明了漆文的不严谨.因为,左水右王之说,绝非元宋之后的汪世显家人所能够胡编的,这一说法上了大多数汪氏的家谱.如果说有编造,那只能说是从越国公开始的.因为李唐天子要越国公汪华报家谱,汪华报了颖川侯姬汪的出处,并且有左水右王之说.到现在,由于我们找不到更多的史料证实,不能肯定越国公汪华编报的家谱真实性占有几成.但就本人所掌握的知识来推测,如果有假,那是从越国公开始就假了,我们后辈已无能为力.姬汪后代修谱,最早从龙骧将军汪文和开始,但规模不大.到了越国公,开始大规模修谱.我们可以肯定,姬汪作为周公后代,作为鲁公后代,血统高贵,家里造有家谱也是可以理解的.但是到了汪文和,乃至越国公的份上,中间自然有过断代,因此,断了之后补上的科学性如何,是否有胡乱嫁接,我们就不能胡乱推测了.因此,就我们这支汪氏来说,我可以肯定的是,只要越国公报的谱没有假,我们后面都是基本可信的.
        至于汪世显自己乱编周公之后,自编左水右王的祖先来,那纯粹是北大中文系副教授漆先生没有掌握到更多汪氏家谱所致,是他在看了钱大昕批判汪世显为人的资料后,满腔怒火所下的结论,实在过于武断.他以为发现了重大秘密,其实不过是历史上的一段资料,而且也未必完全属实.至于下的结论,漏洞大了.
        那么,再说到汪世显的家族,我觉得漆先生的学兄胡小鹏确是有所研究的,但胡先生所作的第一个结论是汪世显祖籍为"颖川",即颖川侯姬汪,那么,汪世显是左水右王的姬汪后人并非编造,而是事实.胡先生又说汪世显与安徽汪氏通过谱,是否同宗不得而知.其实,胡先生的文章已经证实,汪世显后人,正是因为与安徽汪氏通谱后,才将有关材料补上.很可能,左水右汪之说就是这次修谱时抄上去的.但只要是颖川之后,抄写也无妨.关键是家谱上的重大事实能否接上,祖先的题派能否接上.我想如果题派能够接上,抄写这次资料也是可以的.
        当然,左水右王之说是有些附会,但好在附会并不在当代,而在唐或唐之前,前人喜欢神化祖先,对祖先名字的来历,乃至母亲受孕时得到详梦等等,都有些附会,无非是想让我们后人知道祖先的伟大.我想,重要的不在这里,关键在于其他资料是否真实,一代一代的祖先名字能否接上,这才是最重要的.至于左水右王,可以保留传说,也可以去掉以维护史实的严肃性,这都是可以的.
        总之,对于历史问题,我们要重事实,不能迷信,不能迷信某一派的说法,也不能迷信权威.

1

主题

13

回帖

9980

积分

认证会员

积分
9980
发表于 2006-4-2 17:06:49 | 显示全部楼层
杂志可公开发行?如何订阅?

1652

主题

7021

回帖

18万

积分

管理员

宏扬汪华文化 共建和谐家园

积分
187475
QQ
 楼主| 发表于 2006-4-2 21:07:09 | 显示全部楼层
这也是转载的,上面有网址。。
悟以往之不谏,知来者之可追

251

主题

3515

回帖

114751万

积分

超级版主

探究汪氏源流,学习汪氏文化。

积分
1147514344
发表于 2006-4-9 12:38:14 | 显示全部楼层
三楼“到现在,由于我们找不到更多的史料证实,不能肯定越国公汪华编报的家谱真实性占有几成.”现有东晋汪旭上谱表(并附汪华上谱表)如下:

晋淮安侯汪旭上谱表
东晋成帝咸康二年丙申(3 3 6年)三月,诏天下索谱。淮安侯汪旭,颍初陈郡阳夏县(今河南太康县)西乡靖仁里《汪氏大宗血脉谱》
臣旭谨言:臣等千载有幸,奉诏品量,分别姓氏。臣承黄帝之后,元嚣之苗裔,周武王弟周公旦,鲁公伯禽之后。至成公黑肱次子汪侯,食邑颍川。臣四世祖文和,汉建安二年为会稽令,因官渡江而家焉。子孙遍布诸郡,靡不簪绂。不以臣无功,蒙恩擢用护军司马、丹阳太守、淮安侯,食邑三千户。索臣由来,谨治旧谱婚室职状,诣阙拜表以闻。臣诚惶诚恐,坐罪谨言。

敕付尚书佐著作郎、知谱 袁彦叔

袁彦叔曰:臣读汪氏家谱,云承周公之苗裔,鲁周公之允,成公黑肱之次子汪侯之后也。谥令族氏观经传子义,实实不虚。汪錡、汪量,名包周秦之朝;汪胜、汪晃,德照汉室显著。风烈品流,可谓刚宗胄族者矣。

唐白渠府统军汪华上谱表
臣上奉明诏,责臣家状姓谱,齐贵贱之由来,品源流之优劣,德懋懋功,功懋懋赏。伏阅旧谱,公封创于姬旦,得姓始于汪侯,枝叶相承,代膺簪绂,或腾芳周室,或著义秦朝,冠冕蝉联,悉称良最。暨汉建安之岁,臣三十一代祖文和荣膺墨绶,治任会稽,遂居江左,牧守建抚之荣,令书握兰之望,源流不惑,代次无疑。如臣得功,再锡信圭,授左卫翌白渠府统军,以备宿卫。臣今谨缮写一通,具婚姻、职状,进奉以闻。臣诚惶诚恐,稽首顿首,谨言。

敕御史高士廉宣诏

注:1.白渠:即白公渠,今陕西泾阳县。唐时置五十五统军,白渠其一也。
2.高士廉:唐太宗时,山东士人尊门第,后虽衰,但嫁女必多取资,时人谓之卖婚。由是召士廉、令孤德棻等,责天下谱牒,参考史传,校正真伪,合二百九十三姓,千六百五十一家,为九等,号曰《氏族志》。太宗曰:“今谋士劳臣,以忠孝学艺从我定天下者,何容纳货旧门向声背实,买婚为荣耶?”所以华公上谱表,敕御史高士廉宣诏。
摘自《三安汪氏宗谱》 上谱表

从以上两上谱表可知,汪氏自始迁祖汪文和修谱后,其四代孙汪旭于东晋成帝时第二次修谱,至汪华是第三次修谱,其间衔接是可信的。从知谱官袁彦叔的评价“谥令族氏观经传子义,实实不虚”、“汪錡、汪量,名包周秦之朝;汪胜、汪晃,德照汉室显著”可知,当时修谱是经过官方严格审核的,汪錡、汪量、汪胜、汪晃在当时的历史书籍上是“有案可查”的,由于古文献的散失,现在的历史上只看到汪锜的名字了。
七律·喜看女孙 屯蒙辑别步尘阶,双眸晶明神度谐。
一气混元观世界,万般依赖就娘怀。
饥啼不解人间苦,梦笑惟呈弱体乖。
年老莫愁无乐趣,含饴笑弄女孙崽。

251

主题

3515

回帖

114751万

积分

超级版主

探究汪氏源流,学习汪氏文化。

积分
1147514344
发表于 2006-4-9 13:35:39 | 显示全部楼层
据《汪氏通宗世谱》记载,以及徽州、桐城(源于徽州、江西)等地汪氏宗谱载:鲁国姬姓汪氏传至31代有汪文和迁居徽州,再传至45世汪华,唐初封越国公,其三子名汪达,“字德远,以征贺鲁、龟兹、高昌功袭封上柱国、越国公,享年五十有七,卒葬白渠府北二十里,陕西巩昌派,宋元追封忠应侯,历封崇善衍佑王。”支系第46代的处惠,排行第二,镇陕西巩昌,遂家于盐川(今漳县),历宋至金,相传为汪古族,迨元至汪世显以武功拜巩昌便宜都总帅,卒赠太师、上柱国,谥义武,追封陇佑王。参考如下资料:
①范镛撰汪钊墓志:其先徽州府歙县人。始祖有曰华者,子达袭爵,移镇陕西巩昌,遂家于盐川,即今漳县是也。历宋暨金,相传为汪古族都总管。
??②汪忠让公神道碑:公王姓,由大父彦忠世汪古族,故汪姓。
??③王鹗《忠烈神道碑》以为迁本姬姓,世掌汪骨族,因以为氏,即鲁后之说也。
??④漳、陇两志:惟汪氏之先,漳、陇两志均谓出于鲁成公子黑肱之后,唐越国公达之胤。
??⑤杨奂《义武神道碑》以为系出徽州,即越公之说也。
第一条明确指出是汪华三子达之后;第二条所说“王姓”无据,因不知其先祖历史而想当然而来;第三条因果倒置;第四、五条同第一条说法一致。由此可知,汪世显家族确实是汪华第三子汪达之后。还有一点可以间接说明这个问题,黟、歙多为汪华长子建和八子俊之后,七子爽之后多居婺源、休宁、祁门,绩溪为汪华九子献之后,汪华的三子达之后呢?在南方数省很难有踪迹,而桐城《三安汪氏宗谱》记载得非常明确,汪达公衍“陕西巩昌派”,南方各省的家谱几乎都有这样的记载,而许多学者不去查看汪氏家谱资料,却热衷于推测、想像,以上五条资料的说法基本一致,有人偏说相互矛盾,实则是对汪氏家族史的一无所知。
[s:1]
七律·喜看女孙 屯蒙辑别步尘阶,双眸晶明神度谐。
一气混元观世界,万般依赖就娘怀。
饥啼不解人间苦,梦笑惟呈弱体乖。
年老莫愁无乐趣,含饴笑弄女孙崽。

122

主题

1243

回帖

2万

积分

版主

积分
29250
发表于 2006-4-9 15:13:55 | 显示全部楼层
[s:1] 有理啊  本家好生厉害

902

主题

4154

回帖

8万

积分

管理员

积分
86429
QQ
发表于 2006-4-9 16:36:02 | 显示全部楼层
兴吾本家提供的两个谱表非常好。
分析的有道理,我一直是这种看法,但资料不足。 [s:1]
河南-汪聚贵
您需要登录后才可以回帖 登录 | 立即注册

本版积分规则

QQ| Archiver|手机版|小黑屋| 汪氏宗亲网

Copyright © 2001-2013 Comsenz Inc.   All Rights Reserved.

Powered by Discuz! X3.5( 皖ICP备2025101776号-1 )

快速回复 返回顶部 返回列表

 34100202000237