查看: 39140|回复: 54

山东沂南 清光绪十九年汪氏族谱

[复制链接]

26

主题

319

回帖

7313

积分

认证会员

维木有本,维水有源,人之本源,实维祖先;念我汪氏,徽歙婺源。

积分
7313
QQ
发表于 2013-9-12 19:03:36 | 显示全部楼层 |阅读模式
清光绪十九年汪氏族谱 汪定一修

清光绪十九年汪氏族谱

清光绪十九年汪氏族谱

26

主题

319

回帖

7313

积分

认证会员

维木有本,维水有源,人之本源,实维祖先;念我汪氏,徽歙婺源。

积分
7313
QQ
 楼主| 发表于 2013-9-12 19:14:36 | 显示全部楼层

回 楼主(汪新良) 的帖子

清光绪十九年汪氏族谱
IMG_2399.JPG

26

主题

319

回帖

7313

积分

认证会员

维木有本,维水有源,人之本源,实维祖先;念我汪氏,徽歙婺源。

积分
7313
QQ
 楼主| 发表于 2013-9-12 19:16:58 | 显示全部楼层

回 1楼(汪新良) 的帖子

清光绪十九年汪氏族谱

26

主题

319

回帖

7313

积分

认证会员

维木有本,维水有源,人之本源,实维祖先;念我汪氏,徽歙婺源。

积分
7313
QQ
 楼主| 发表于 2013-9-12 19:21:13 | 显示全部楼层

回 1楼(汪新良) 的帖子

清光绪十九年汪氏族谱
IMG_2400.JPG

26

主题

319

回帖

7313

积分

认证会员

维木有本,维水有源,人之本源,实维祖先;念我汪氏,徽歙婺源。

积分
7313
QQ
 楼主| 发表于 2013-9-12 19:30:10 | 显示全部楼层

回 3楼(汪新良) 的帖子

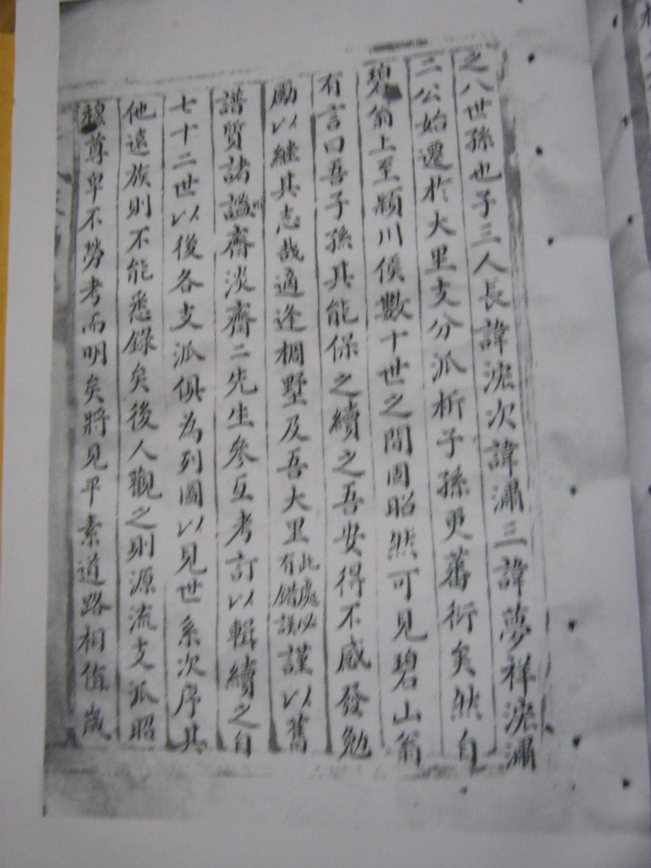
清光绪十九年汪氏族谱

清光绪十九年汪氏族谱

清光绪十九年汪氏族谱

清光绪十九年汪氏族谱

清光绪十九年汪氏族谱

26

主题

319

回帖

7313

积分

认证会员

维木有本,维水有源,人之本源,实维祖先;念我汪氏,徽歙婺源。

积分
7313
QQ
 楼主| 发表于 2013-9-12 19:32:08 | 显示全部楼层

回 4楼(汪新良) 的帖子

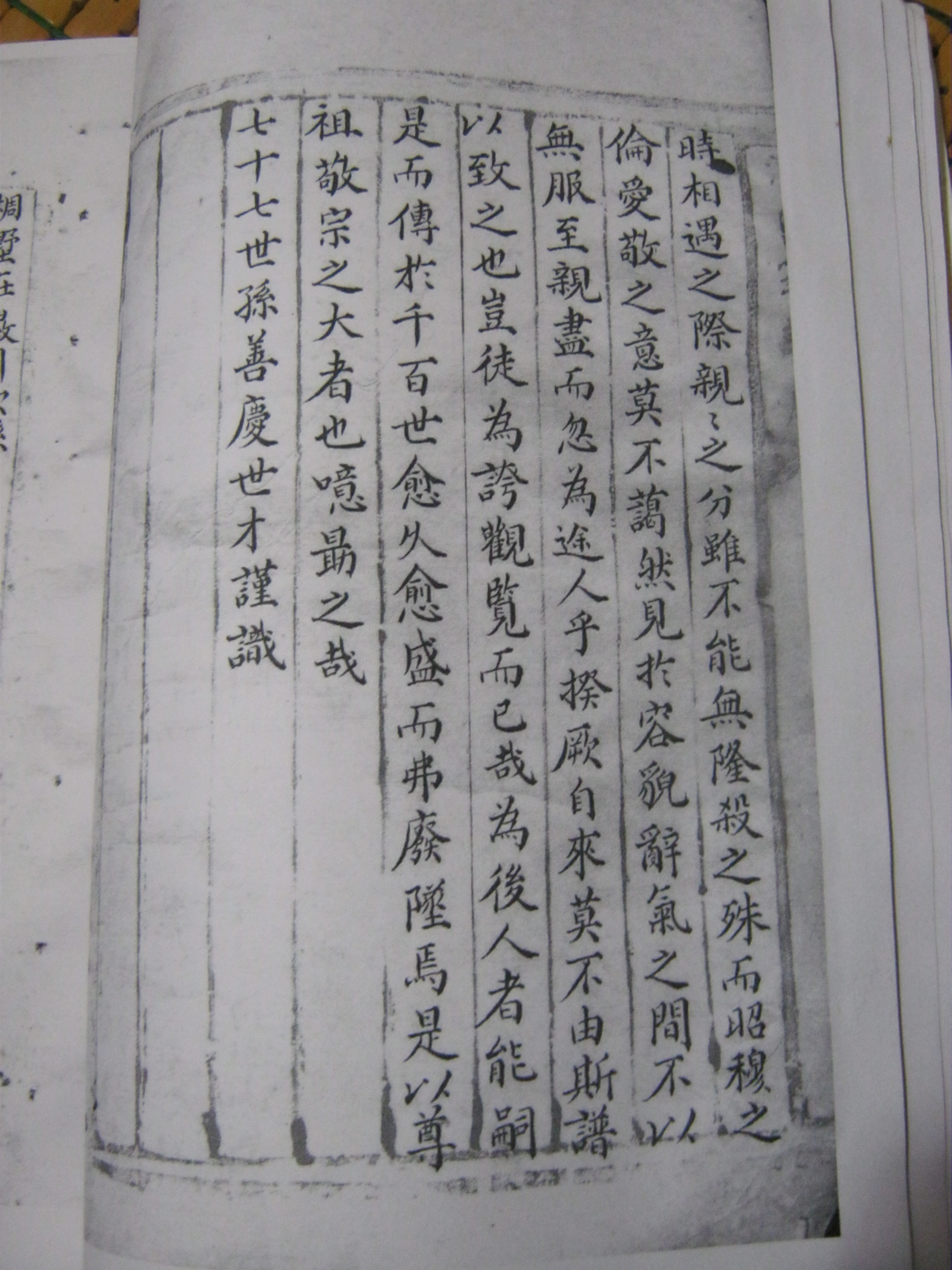
清光绪十九年汪氏族谱

清光绪十九年汪氏族谱

清光绪十九年汪氏族谱
IMG_2404.JPG

26

主题

319

回帖

7313

积分

认证会员

维木有本,维水有源,人之本源,实维祖先;念我汪氏,徽歙婺源。

积分
7313
QQ
 楼主| 发表于 2013-9-12 19:37:44 | 显示全部楼层

回 5楼(汪新良) 的帖子

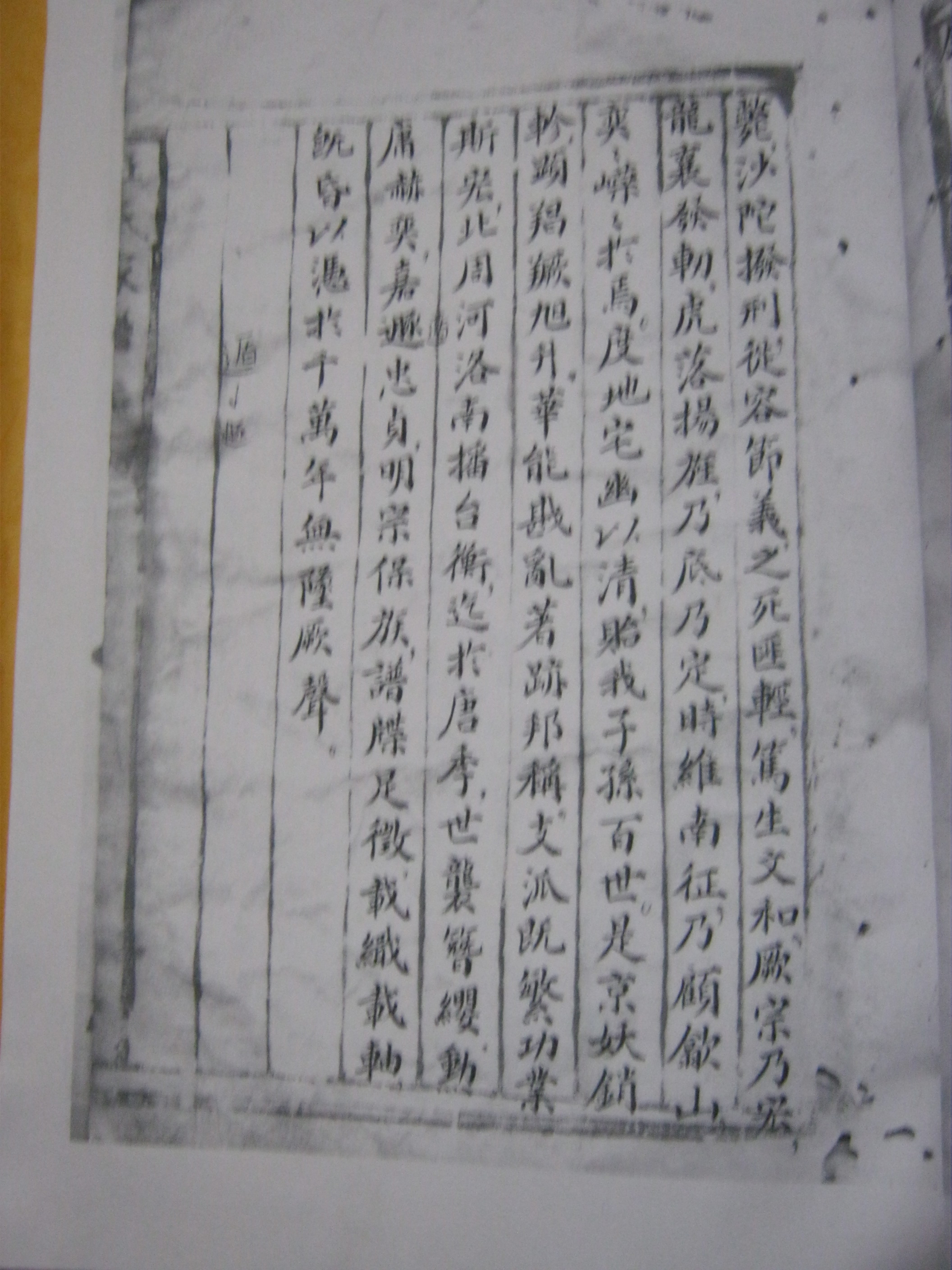
清光绪十九年汪氏族谱

清光绪十九年汪氏族谱

清光绪十九年汪氏族谱

26

主题

319

回帖

7313

积分

认证会员

维木有本,维水有源,人之本源,实维祖先;念我汪氏,徽歙婺源。

积分
7313
QQ
 楼主| 发表于 2013-9-12 19:45:20 | 显示全部楼层

回 6楼(汪新良) 的帖子

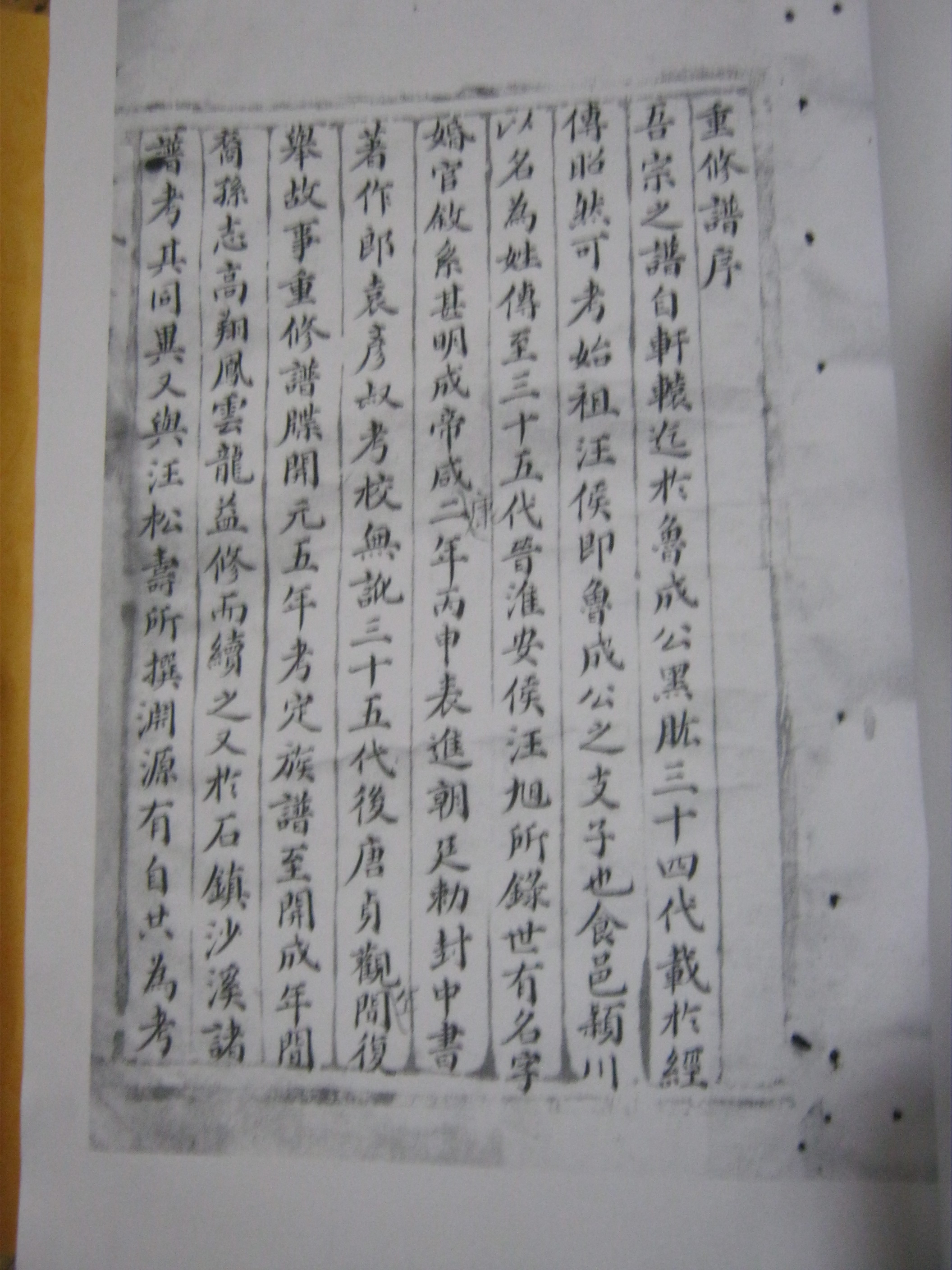
清光绪十九年汪氏族谱

清光绪十九年汪氏族谱

清光绪十九年汪氏族谱

26

主题

319

回帖

7313

积分

认证会员

维木有本,维水有源,人之本源,实维祖先;念我汪氏,徽歙婺源。

积分
7313
QQ
 楼主| 发表于 2013-9-12 19:46:38 | 显示全部楼层

回 7楼(汪新良) 的帖子

清光绪十九年汪氏族谱

清光绪十九年汪氏族谱

清光绪十九年汪氏族谱

26

主题

319

回帖

7313

积分

认证会员

维木有本,维水有源,人之本源,实维祖先;念我汪氏,徽歙婺源。

积分
7313
QQ
 楼主| 发表于 2013-9-12 19:48:40 | 显示全部楼层

回 8楼(汪新良) 的帖子

清光绪十九年汪氏族谱

清光绪十九年汪氏族谱

清光绪十九年汪氏族谱
您需要登录后才可以回帖 登录 | 立即注册

本版积分规则

QQ| Archiver|手机版|小黑屋| 汪氏宗亲网

Copyright © 2001-2013 Comsenz Inc.   All Rights Reserved.

Powered by Discuz! X3.5( 皖ICP备2025101776号-1 )

快速回复 返回顶部 返回列表

 34100202000237