楼主: 汪新良

山东沂南 清光绪十九年汪氏族谱

[复制链接]

26

主题

319

回帖

7313

积分

认证会员

维木有本,维水有源,人之本源,实维祖先;念我汪氏,徽歙婺源。

积分
7313
QQ
 楼主| 发表于 2013-9-13 07:41:23 | 显示全部楼层
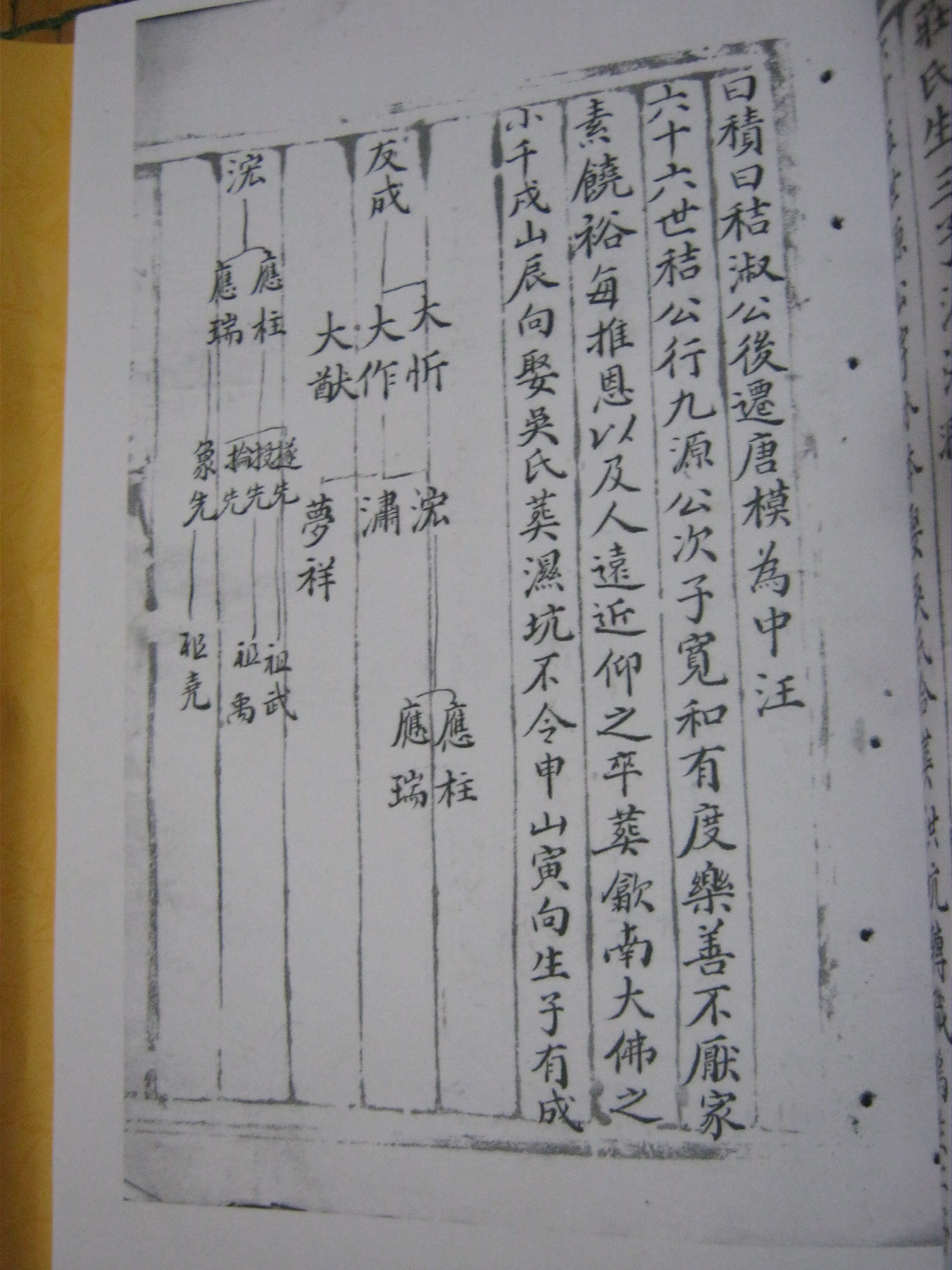
山东沂南 清光绪十九年汪氏族谱

山东沂南 清光绪十九年汪氏族谱

山东沂南 清光绪十九年汪氏族谱

山东沂南 清光绪十九年汪氏族谱

山东沂南 清光绪十九年汪氏族谱

26

主题

319

回帖

7313

积分

认证会员

维木有本,维水有源,人之本源,实维祖先;念我汪氏,徽歙婺源。

积分
7313
QQ
 楼主| 发表于 2013-9-13 08:36:18 | 显示全部楼层
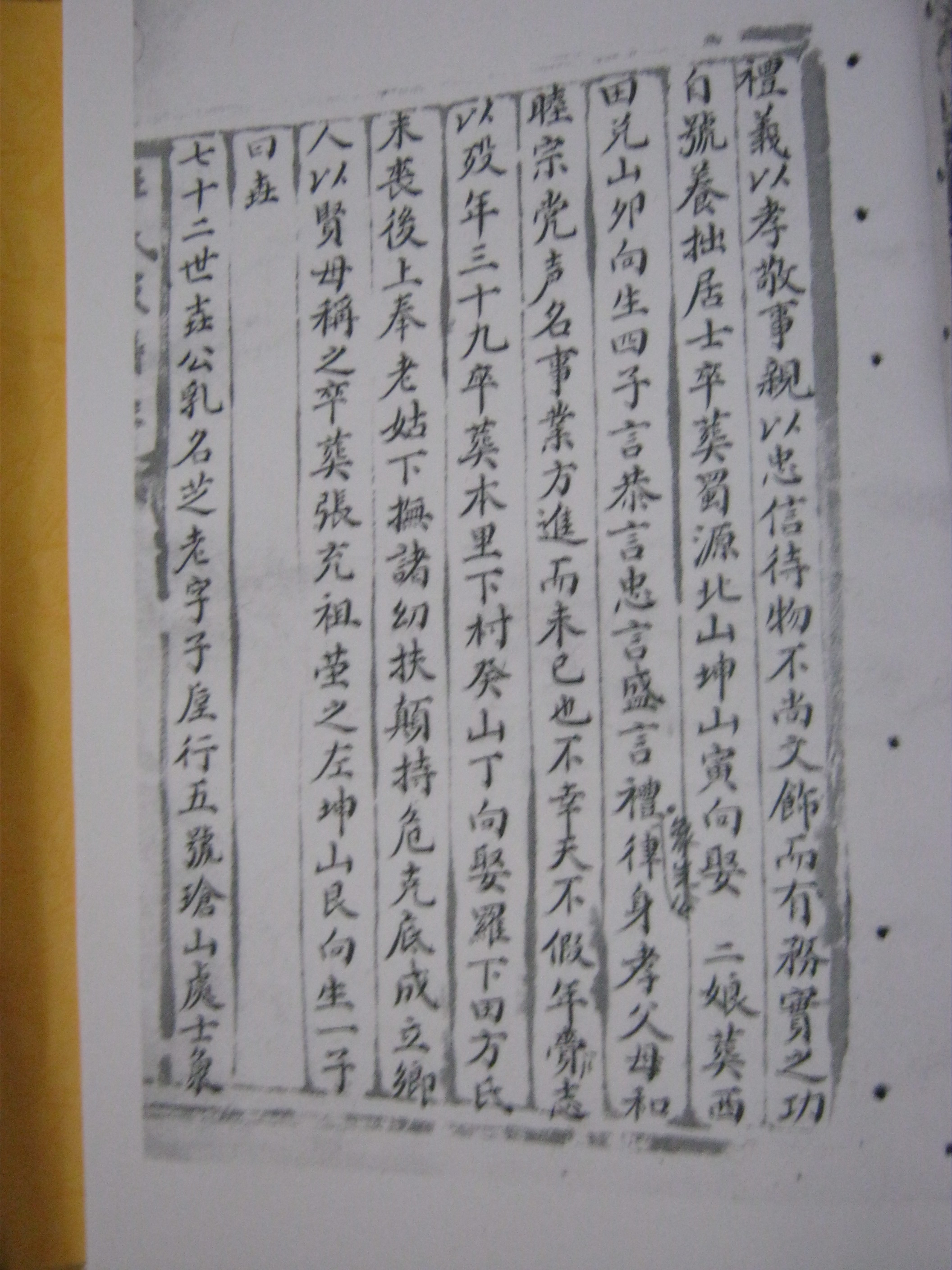
山东沂南 清光绪十九年汪氏族谱

山东沂南 清光绪十九年汪氏族谱

山东沂南 清光绪十九年汪氏族谱

山东沂南 清光绪十九年汪氏族谱

山东沂南 清光绪十九年汪氏族谱

26

主题

319

回帖

7313

积分

认证会员

维木有本,维水有源,人之本源,实维祖先;念我汪氏,徽歙婺源。

积分
7313
QQ
 楼主| 发表于 2013-9-13 08:38:31 | 显示全部楼层
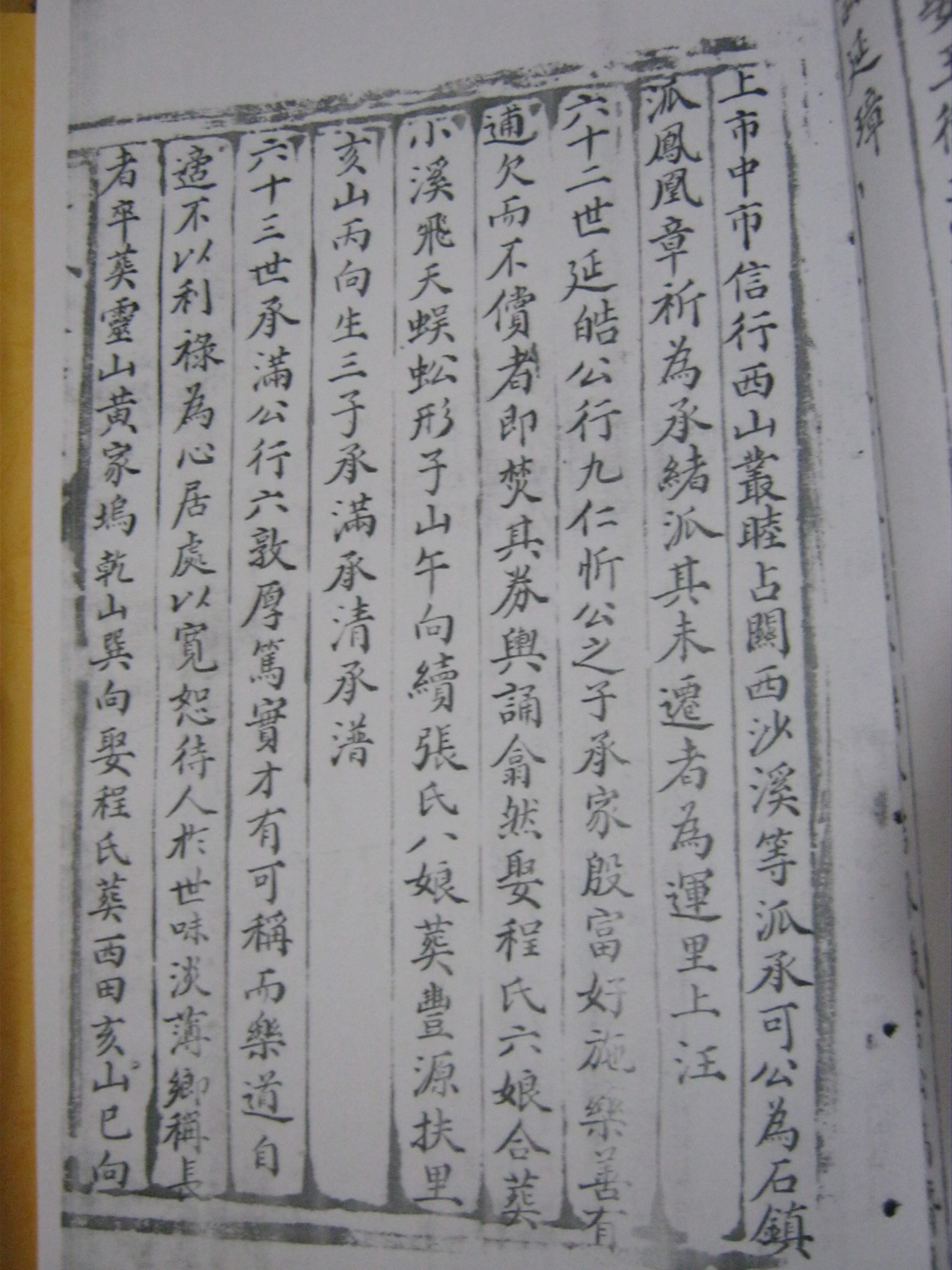
山东沂南 清光绪十九年汪氏族谱

山东沂南 清光绪十九年汪氏族谱

山东沂南 清光绪十九年汪氏族谱

山东沂南 清光绪十九年汪氏族谱

山东沂南 清光绪十九年汪氏族谱

26

主题

319

回帖

7313

积分

认证会员

维木有本,维水有源,人之本源,实维祖先;念我汪氏,徽歙婺源。

积分
7313
QQ
 楼主| 发表于 2013-9-13 08:45:09 | 显示全部楼层

山东沂南 清光绪十九年汪氏族谱

山东沂南 清光绪十九年汪氏族谱

山东沂南 清光绪十九年汪氏族谱

山东沂南 清光绪十九年汪氏族谱

山东沂南 清光绪十九年汪氏族谱

山东沂南 清光绪十九年汪氏族谱

146

主题

3851

回帖

8万

积分

天使

你我是音符,相逢一首歌

积分
85373
发表于 2013-9-13 09:54:29 | 显示全部楼层
不错,比较符合大里汪十六族的迁徙事实。有些拍的不怎么清晰也还能认出来。

26

主题

319

回帖

7313

积分

认证会员

维木有本,维水有源,人之本源,实维祖先;念我汪氏,徽歙婺源。

积分
7313
QQ
 楼主| 发表于 2013-9-13 16:55:39 | 显示全部楼层

回 43楼(汪志林) 的帖子

当时灯光不太好,有的不太清楚,上传很费力,一次只能传一张到两张,还没有传完!

191

主题

3290

回帖

9万

积分

版主

崇尚自然 珍爱生命

积分
91974
发表于 2013-9-13 18:08:28 | 显示全部楼层
字写的太漂亮了

38

主题

683

回帖

1万

积分

新手上路

http://www.iwangs.com/bbs/read

积分
19515
QQ
发表于 2013-9-13 18:17:00 | 显示全部楼层

回 44楼(汪新良) 的帖子

其实一次可以传八张的。

26

主题

319

回帖

7313

积分

认证会员

维木有本,维水有源,人之本源,实维祖先;念我汪氏,徽歙婺源。

积分
7313
QQ
 楼主| 发表于 2013-9-13 19:34:00 | 显示全部楼层

回 45楼(汪封林) 的帖子

是位未及第的读书人用毛笔写的,因考取功名未中,后行医为生。

26

主题

319

回帖

7313

积分

认证会员

维木有本,维水有源,人之本源,实维祖先;念我汪氏,徽歙婺源。

积分
7313
QQ
 楼主| 发表于 2013-9-13 19:35:50 | 显示全部楼层

回 46楼(汪福文) 的帖子

试过,传三张就出现错误,有时两张也会出现错误。
您需要登录后才可以回帖 登录 | 立即注册

本版积分规则

QQ| Archiver|手机版|小黑屋| 汪氏宗亲网

Copyright © 2001-2013 Comsenz Inc.   All Rights Reserved.

Powered by Discuz! X3.5( 皖ICP备2025101776号-1 )

快速回复 返回顶部 返回列表

 34100202000237